Logo Passei Direto
Buscar

Questionário U1 U2 CALCULOS

User badge image
Gil K. S.

em

Ferramentas de estudo

Questões resolvidas

Sempre que estudamos as relações entre duas quantidades variáveis, as taxas de variação desempenham seu papel. Um exemplo conhecido é o da velocidade (a taxa de variação da posição em relação ao tempo). Fonte: E-book da disciplina, p. 38 B) A velocidade média ao longo de um intervalo de tempo muito pequeno está muito próxima da velocidade instantânea.


A) Verdadeiro.
B) Falso.

Algumas leis básicas de limites usadas para calcular os limites de funções podem ser construídas como somas, múltiplos, produtos ou quocientes de outras funções. Utilizando algumas dessas leis, assinale a alternativa que contém o valor de


A) 1/2
B) 1/3
C) 1/4
D) 1/5

Embora estejamos mais acostumados com expoentes naturais, quando definimos as regras de derivação, a regra da potência é válida para qualquer expoente.


A) Verdadeiro.
B) Falso.

Funções exponenciais podem ser usadas para modelar fenômenos, tais como o decaimento radioativo, o crescimento populacional, as taxas de juros, entre outros. Daí a importância do estudo de suas derivadas. Considere os itens a seguir:

I. A derivada da função exponencial f(x) = a^x é f'(x) = a^x * ln(a).
II. A derivada da função exponencial f(x) = e^x é f'(x) = e^x.
III. A derivada da função exponencial f(x) = log_a(x) é f'(x) = 1 / (x * ln(a)).
A) I e II, apenas.
B) I e III, apenas.
C) II e III, apenas.
D) III, apenas.
E) I, II e III.

As derivadas das funções seno e cosseno podem ser definidas usando o limite da razão incremental. As derivadas das demais funções trigonométricas padrão podem ser calculadas usando a regra do quociente.


A) f'(x) = -sin(x)
B) f'(x) = cos(x)
C) f'(x) = -cos(x)
D) f'(x) = sen(x)

Considere as regras do produto e do quociente e os itens a seguir.

I. A derivada da função f(x) = x^2 * sen(x) é f'(x) = 2x * sen(x) + x^2 * cos(x).
II. A derivada da função f(x) = (x^2 + 1) / x é f'(x) = (2x - x^2 - 1) / x^2.
III. A derivada da função f(x) = (sen(x) / x) é f'(x) = (x * cos(x) - sen(x)) / x^2.
A) I, apenas.
B) II, apenas.
C) III, apenas.
D) II e III, apenas.
E) I, II e III.

Material
páginas com resultados encontrados.
páginas com resultados encontrados.
left-side-bubbles-backgroundright-side-bubbles-background

Experimente o Premium!star struck emoji

Acesse conteúdos dessa e de diversas outras disciplinas.

Libere conteúdos
sem pagar

Ajude estudantes e ganhe conteúdos liberados!

left-side-bubbles-backgroundright-side-bubbles-background

Experimente o Premium!star struck emoji

Acesse conteúdos dessa e de diversas outras disciplinas.

Libere conteúdos
sem pagar

Ajude estudantes e ganhe conteúdos liberados!

Questões resolvidas

Sempre que estudamos as relações entre duas quantidades variáveis, as taxas de variação desempenham seu papel. Um exemplo conhecido é o da velocidade (a taxa de variação da posição em relação ao tempo). Fonte: E-book da disciplina, p. 38 B) A velocidade média ao longo de um intervalo de tempo muito pequeno está muito próxima da velocidade instantânea.


A) Verdadeiro.
B) Falso.

Algumas leis básicas de limites usadas para calcular os limites de funções podem ser construídas como somas, múltiplos, produtos ou quocientes de outras funções. Utilizando algumas dessas leis, assinale a alternativa que contém o valor de


A) 1/2
B) 1/3
C) 1/4
D) 1/5

Embora estejamos mais acostumados com expoentes naturais, quando definimos as regras de derivação, a regra da potência é válida para qualquer expoente.


A) Verdadeiro.
B) Falso.

Funções exponenciais podem ser usadas para modelar fenômenos, tais como o decaimento radioativo, o crescimento populacional, as taxas de juros, entre outros. Daí a importância do estudo de suas derivadas. Considere os itens a seguir:

I. A derivada da função exponencial f(x) = a^x é f'(x) = a^x * ln(a).
II. A derivada da função exponencial f(x) = e^x é f'(x) = e^x.
III. A derivada da função exponencial f(x) = log_a(x) é f'(x) = 1 / (x * ln(a)).
A) I e II, apenas.
B) I e III, apenas.
C) II e III, apenas.
D) III, apenas.
E) I, II e III.

As derivadas das funções seno e cosseno podem ser definidas usando o limite da razão incremental. As derivadas das demais funções trigonométricas padrão podem ser calculadas usando a regra do quociente.


A) f'(x) = -sin(x)
B) f'(x) = cos(x)
C) f'(x) = -cos(x)
D) f'(x) = sen(x)

Considere as regras do produto e do quociente e os itens a seguir.

I. A derivada da função f(x) = x^2 * sen(x) é f'(x) = 2x * sen(x) + x^2 * cos(x).
II. A derivada da função f(x) = (x^2 + 1) / x é f'(x) = (2x - x^2 - 1) / x^2.
III. A derivada da função f(x) = (sen(x) / x) é f'(x) = (x * cos(x) - sen(x)) / x^2.
A) I, apenas.
B) II, apenas.
C) III, apenas.
D) II e III, apenas.
E) I, II e III.

Prévia do material em texto

Questionário U1-U2 G-23200180 - Cálculo - Limites e Derivadas + Cálculo I 
 
Total de pontos10/10 
 
1. Sempre que estudamos as relações entre duas quantidades variáveis, as taxas de 
variação desempenham seu papel. Um exemplo conhecido é o da velocidade (a taxa de 
variação da posição em relação ao tempo). 
Fonte: E-book da disciplina, p. 38 
 
B) A velocidade média ao longo de um intervalo de tempo muito pequeno está 
muito próxima da velocidade instantânea. 
 
 
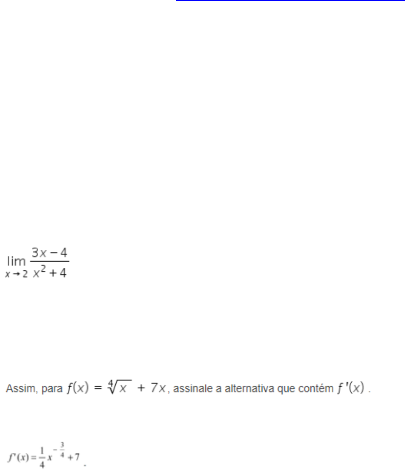
2. Algumas leis básicas de limites usadas para calcular os limites de funções podem ser 
construídas como somas, múltiplos, produtos ou quocientes de outras funções. 
Utilizando algumas dessas leis, assinale a alternativa que contém o valor de 
 
 
C) 1/4 
 
 
3. Embora estejamos mais acostumados com expoentes naturais, quando definimos as 
regras de derivação, a regra da potência é válida para qualquer expoente. 
 
 
 
Resposta C 
 
 
 
 
4. Funções exponenciais podem ser usadas para modelar fenômenos, tais como o 
decaimento radioativo, o crescimento populacional, as taxas de juros, entre outros. Daí a 
importância do estudo de suas derivadas. Considere os itens a seguir: 
https://lex2.unilasalle.edu.br/lex_web_application/handlers/call_acddisciplina_ocorrencia.php?function=listarAulas&params=%7B%22slugt%22%3A%2203bc7e3a6f4a41dd3ed79c5adbb6ed92%22%7D
 
B) III, apenas. 
 
 
5. As derivadas das funções seno e cosseno podem ser definidas usando o limite da 
razão incremental. As derivadas das demais funções trigonométricas padrão podem ser 
calculadas usando a regra do quociente. 
 
B) f'(x) = cos (x) 
 
 
6. Considere as regras do produto e do quociente e os itens a seguir. 
 
 
D) II e III, apenas.

Mais conteúdos dessa disciplina