Logo Passei Direto
Buscar
Material
páginas com resultados encontrados.
páginas com resultados encontrados.
left-side-bubbles-backgroundright-side-bubbles-background

Crie sua conta grátis para liberar esse material. 🤩

Já tem uma conta?

Ao continuar, você aceita os Termos de Uso e Política de Privacidade

Prévia do material em texto

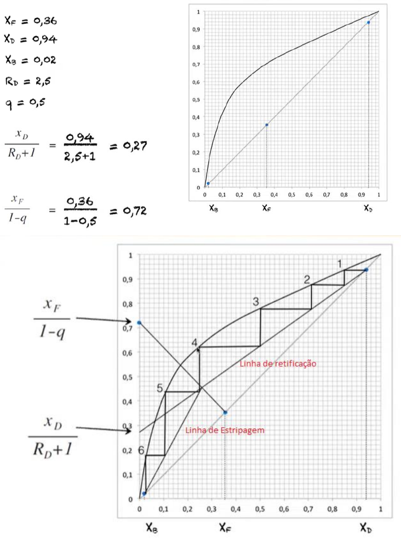
Determinar o número de estágios de uma coluna que deve destilar uma mistura metanol-água 36%. O 
produto deve ter o teor de metanol de 94% e no produto de fundo apenas 2%. A razão de refluxo é 2,5 
e para cada mol de alimentação 0,5 mol permanece na fase líquida dentro da coluna. 
 
 
Prato ideal de alimentação: 4 (Pois passa pelo ponto de intesecção das linhas)

Mais conteúdos dessa disciplina