Logo Passei Direto
Buscar

Ferramentas de estudo

Questões resolvidas

O gás liquefeito de petróleo é formado por uma mistura de quais hidrocarbonetos?
a) metano e etano.
b) metano e isooctano.
c) propano e butano.
d) heptano e octano.
e) undecano e dodecano.

(Unesp) O nonano é um dos principais constituintes da gasolina comum, que é uma mistura de hidrocarbonetos. A fórmula molecular do nonano é:
a) C9H18
b) C9H20
c) C9H22
d) C9H16
e) C18H38

Hidrocarbonetos são compostos formados exclusivamente por carbono e hidrogênio. Muitos destes compostos são combustíveis, outros servem de matéria-prima para produção de polímeros (plásticos, tecidos, borracha...), cosméticos, etc. Considerando que os hidrocarbonetos formam um vasto grupo, e, por isso, é necessário dividi-lo em subgrupos, faça à associação da coluna A (hidrocarbonetos) com a coluna B (subgrupos).
Coluna A: 1. Benzeno, 2. Butano, 3. Pent-2-ino, 4. Ciclohexano, 5. buta-1,3-dieno, 6. eteno. Coluna B: ( ) alcenos, ( ) alcadienos, ( ) alcanos, ( ) alcinos, ( ) aromáticos.

Dê o nome para os hidrocarbonetos de cadeia fechada.

Dados os compostos abaixo, assinale a afirmação INCORRETA:
a) I pode ser denominado para-dimetilbenzeno
b) II é o 1,3-dimetilbenzeno
c) III é o 1,2-dimetilbenzeno
d) São denominados, respectivamente, orto-dimetil benzeno, meta-dimetilbenzeno e para-dimetilbenzeno.
e) A fórmula molecular dos três compostos é C8H10

Relativamente ao composto de fórmula estrutural abaixo, considere as afirmacoes: CH3 - CH2 - CH = CH - CH2 - CH3. São corretas somente:
I. é um alceno.
II. apresenta somente carbonos de hibridização sp3 em sua estrutura.
III. seu nome é pent-2-eno.
IV. apresenta cadeia carbônica insaturada e ramificada.
V. é uma cadeia homogênia.
a) I e II
b) II, III e IV
c) I e V
d) I, III e V
e) I, III, IV e V

Sabe-se que isômeros são compostos que apresentam diferentes fórmulas estruturais, no entanto, apresentam mesma fórmula molecular. Dos hidrocarbonetos abaixo, circule os que forem isômeros entre si? Justifique sua resposta, para isso, escreva a fórmula estrutural e a molecular de cada composto.

Qual dos seguintes hidrocarbonetos possui a temperatura de ebulição mais alta? Justifique sua resposta:
a) metano
b) octano
c) etano
d) butano
e) hexano

(Fatec) O gás liquefeito de petróleo, GLP, é uma mistura de propano, C3H8, e butano, C4H10. Logo, esse gás é uma mistura de hidrocarbonetos da classe dos:
a) alcanos.
b) alcenos.
c) alcinos.
d) cicloalcanos.
e) cicloalcenos

O que é craqueamento de petróleo?

Segundo o documentário - os segredos do petróleo – encontrado em Maravilhas Modernas, quais são o nome e a fórmula estrutural do gás combustível utilizado para aquecimento de cerca de 17 milhões de residências e que movimenta cerca de 11 milhões de carros nos EUA?

(Uem-2012) O grande dilema da utilização indiscriminada de petróleo hoje em dia como fonte de energia é que ele também é fonte primordial de matérias primas industriais, ou seja, reagentes que, submetidos a diferentes reações químicas, geram milhares de novas substâncias importantíssimas para a sociedade. A esse respeito, assinale o que for CORRETO.
01) O craqueamento do petróleo visa a transformar moléculas gasosas de pequena massa molar em compostos mais complexos e pesados a serem utilizados nas indústrias químicas.
02) A destilação fracionada do petróleo separa grupos de compostos em faixas de temperatura de ebulição extremamente diferentes.
04) A gasolina é o nome dado à uma mistura de hidrocarbonetos (heptanos, octanos, nonanos e decanos), obtida na destilação fracionada do petróleo.
08) O resíduo do processo de destilação fracionada do petróleo apresenta-se como um material altamente viscoso usado como asfalto.
16) Grande parte dos plásticos utilizados hoje em dia tem como matéria prima o petróleo.

(UFRJ) O isooctano e outras moléculas de hidrocarbonetos ramificados são mais desejáveis, nas gasolinas comerciais, do que moléculas de cadeia linear uma vez que estas sofrem ignição de forma explosiva, causando até perda de potência. Assinale a opção que apresenta a nomenclatura correta do isooctano.
a) 2,2,3 – trimetil-pentano
b) 2,2,4 – trimetil-pentano
c) 2,2,4 – trimetil-butano
d) 2,2,3 – dimetil-pentano
e) 2,2,4 – trimetil-hexano

Com relação ao petróleo e seus derivados obtidos por meio de destilação, assinale o que for INCORRETO.
a) O gás metano, CH4, o principal componente do gás natural veicular (GNV), corresponde a uma fração da destilação do petróleo.
b) O craqueamento do petróleo consiste na decomposição sob altas temperaturas de moléculas de hidrocarbonetos de alto peso molecular em moléculas de hidrocarbonetos de menor peso molecular.
c) A octanagem da gasolina se refere à porcentagem em sua composição de hidrocarbonetos com cadeias de oito átomos de carbono, saturadas e ramificadas.
d) O gás de cozinha, também denominado gás liquefeito de petróleo (GLP), é formado principalmente por propano.
e) Na destilação do petróleo, as frações obtidas nas partes mais altas das torres de fracionamentos, apresentam cadeias maiores e de maiores pontos de ebulição.

Sobre o tema, considere as seguintes afirmacoes:
I. Os hidrocarbonetos aromáticos são aqueles que possuem pelo menos um anel ou núcleo aromático, isto é, um ciclo com seis átomos de carbono que estabelecem entre si ligações conjugadas.
II. Devido à ressonância das ligações duplas, os aromáticos não são compostos estáveis e só reagem em condições enérgicas.
III. O metilbenzeno, conhecido comercialmente por tolueno, é um composto aromático derivado do benzeno e possui fórmula molecular C7H14.
IV. O benzeno é um composto aromático bastante estável devido à ressonância das ligações duplas.
a) I, II e IV.
b) II, III e IV.
c) I, II e III.
d) I, III e IV.
e) I e IV.

No rótulo de um solvente comercial há indicação de que contém apenas hidrocarbonetos alifáticos.
A partir dessa informação conclui-se que esse solvente não deverá conter, como um de seus componentes principais, o:
a) tolueno.
b) n-hexano.
c) heptano.
d) ciclohexano.
e) pentano.

O nome segundo a IUPAC do hidrocarboneto insaturado, representado pela fórmula estrutural abaixo, é:
a) 2-metil - butano
b) pent-1-eno metil
c) but-1-eno - metil
d) 2-metil - but-1-eno
e) 3-metil - but-3-eno

Quantos átomos de hidrogênio há molécula do ciclobuteno? Escreva a fórmula estrutural para comprovar sua resposta.
a) 4.
b) 5.
c) 6.
d) 7.
e) 8.

Qual dos hidrocarbonetos abaixo apresenta o menor ponto de ebulição? Justifique.
a) pentano
b) 2,3-dimetil-butano
c) hexano
d) 2,2-dimetil-pentano
e) propano

Considerando que a temperatura ambiente é de 20 °C, assinale a alternativa INCORRETA:
a) O hexano é líquido à temperatura ambiente.
b) O butano é um gás à temperatura ambiente, sob pressão de 1atm.
c) Pode-se afirmar com certeza que o ponto de ebulição (PE) dos alcanos aumenta com o aumento de suas massas molares, mantendo-se constante a pressão.
d) O ponto de ebulição do decano fica em torno de 200 oC, quando a pressão é de 1atm.
e) hidrocarbonetos com números pares de átomos de carbono são gases à temperatura ambiente.

Material
páginas com resultados encontrados.
páginas com resultados encontrados.
left-side-bubbles-backgroundright-side-bubbles-background

Crie sua conta grátis para liberar esse material. 🤩

Já tem uma conta?

Ao continuar, você aceita os Termos de Uso e Política de Privacidade

left-side-bubbles-backgroundright-side-bubbles-background

Crie sua conta grátis para liberar esse material. 🤩

Já tem uma conta?

Ao continuar, você aceita os Termos de Uso e Política de Privacidade

left-side-bubbles-backgroundright-side-bubbles-background

Crie sua conta grátis para liberar esse material. 🤩

Já tem uma conta?

Ao continuar, você aceita os Termos de Uso e Política de Privacidade

left-side-bubbles-backgroundright-side-bubbles-background

Crie sua conta grátis para liberar esse material. 🤩

Já tem uma conta?

Ao continuar, você aceita os Termos de Uso e Política de Privacidade

left-side-bubbles-backgroundright-side-bubbles-background

Crie sua conta grátis para liberar esse material. 🤩

Já tem uma conta?

Ao continuar, você aceita os Termos de Uso e Política de Privacidade

left-side-bubbles-backgroundright-side-bubbles-background

Crie sua conta grátis para liberar esse material. 🤩

Já tem uma conta?

Ao continuar, você aceita os Termos de Uso e Política de Privacidade

Questões resolvidas

O gás liquefeito de petróleo é formado por uma mistura de quais hidrocarbonetos?
a) metano e etano.
b) metano e isooctano.
c) propano e butano.
d) heptano e octano.
e) undecano e dodecano.

(Unesp) O nonano é um dos principais constituintes da gasolina comum, que é uma mistura de hidrocarbonetos. A fórmula molecular do nonano é:
a) C9H18
b) C9H20
c) C9H22
d) C9H16
e) C18H38

Hidrocarbonetos são compostos formados exclusivamente por carbono e hidrogênio. Muitos destes compostos são combustíveis, outros servem de matéria-prima para produção de polímeros (plásticos, tecidos, borracha...), cosméticos, etc. Considerando que os hidrocarbonetos formam um vasto grupo, e, por isso, é necessário dividi-lo em subgrupos, faça à associação da coluna A (hidrocarbonetos) com a coluna B (subgrupos).
Coluna A: 1. Benzeno, 2. Butano, 3. Pent-2-ino, 4. Ciclohexano, 5. buta-1,3-dieno, 6. eteno. Coluna B: ( ) alcenos, ( ) alcadienos, ( ) alcanos, ( ) alcinos, ( ) aromáticos.

Dê o nome para os hidrocarbonetos de cadeia fechada.

Dados os compostos abaixo, assinale a afirmação INCORRETA:
a) I pode ser denominado para-dimetilbenzeno
b) II é o 1,3-dimetilbenzeno
c) III é o 1,2-dimetilbenzeno
d) São denominados, respectivamente, orto-dimetil benzeno, meta-dimetilbenzeno e para-dimetilbenzeno.
e) A fórmula molecular dos três compostos é C8H10

Relativamente ao composto de fórmula estrutural abaixo, considere as afirmacoes: CH3 - CH2 - CH = CH - CH2 - CH3. São corretas somente:
I. é um alceno.
II. apresenta somente carbonos de hibridização sp3 em sua estrutura.
III. seu nome é pent-2-eno.
IV. apresenta cadeia carbônica insaturada e ramificada.
V. é uma cadeia homogênia.
a) I e II
b) II, III e IV
c) I e V
d) I, III e V
e) I, III, IV e V

Sabe-se que isômeros são compostos que apresentam diferentes fórmulas estruturais, no entanto, apresentam mesma fórmula molecular. Dos hidrocarbonetos abaixo, circule os que forem isômeros entre si? Justifique sua resposta, para isso, escreva a fórmula estrutural e a molecular de cada composto.

Qual dos seguintes hidrocarbonetos possui a temperatura de ebulição mais alta? Justifique sua resposta:
a) metano
b) octano
c) etano
d) butano
e) hexano

(Fatec) O gás liquefeito de petróleo, GLP, é uma mistura de propano, C3H8, e butano, C4H10. Logo, esse gás é uma mistura de hidrocarbonetos da classe dos:
a) alcanos.
b) alcenos.
c) alcinos.
d) cicloalcanos.
e) cicloalcenos

O que é craqueamento de petróleo?

Segundo o documentário - os segredos do petróleo – encontrado em Maravilhas Modernas, quais são o nome e a fórmula estrutural do gás combustível utilizado para aquecimento de cerca de 17 milhões de residências e que movimenta cerca de 11 milhões de carros nos EUA?

(Uem-2012) O grande dilema da utilização indiscriminada de petróleo hoje em dia como fonte de energia é que ele também é fonte primordial de matérias primas industriais, ou seja, reagentes que, submetidos a diferentes reações químicas, geram milhares de novas substâncias importantíssimas para a sociedade. A esse respeito, assinale o que for CORRETO.
01) O craqueamento do petróleo visa a transformar moléculas gasosas de pequena massa molar em compostos mais complexos e pesados a serem utilizados nas indústrias químicas.
02) A destilação fracionada do petróleo separa grupos de compostos em faixas de temperatura de ebulição extremamente diferentes.
04) A gasolina é o nome dado à uma mistura de hidrocarbonetos (heptanos, octanos, nonanos e decanos), obtida na destilação fracionada do petróleo.
08) O resíduo do processo de destilação fracionada do petróleo apresenta-se como um material altamente viscoso usado como asfalto.
16) Grande parte dos plásticos utilizados hoje em dia tem como matéria prima o petróleo.

(UFRJ) O isooctano e outras moléculas de hidrocarbonetos ramificados são mais desejáveis, nas gasolinas comerciais, do que moléculas de cadeia linear uma vez que estas sofrem ignição de forma explosiva, causando até perda de potência. Assinale a opção que apresenta a nomenclatura correta do isooctano.
a) 2,2,3 – trimetil-pentano
b) 2,2,4 – trimetil-pentano
c) 2,2,4 – trimetil-butano
d) 2,2,3 – dimetil-pentano
e) 2,2,4 – trimetil-hexano

Com relação ao petróleo e seus derivados obtidos por meio de destilação, assinale o que for INCORRETO.
a) O gás metano, CH4, o principal componente do gás natural veicular (GNV), corresponde a uma fração da destilação do petróleo.
b) O craqueamento do petróleo consiste na decomposição sob altas temperaturas de moléculas de hidrocarbonetos de alto peso molecular em moléculas de hidrocarbonetos de menor peso molecular.
c) A octanagem da gasolina se refere à porcentagem em sua composição de hidrocarbonetos com cadeias de oito átomos de carbono, saturadas e ramificadas.
d) O gás de cozinha, também denominado gás liquefeito de petróleo (GLP), é formado principalmente por propano.
e) Na destilação do petróleo, as frações obtidas nas partes mais altas das torres de fracionamentos, apresentam cadeias maiores e de maiores pontos de ebulição.

Sobre o tema, considere as seguintes afirmacoes:
I. Os hidrocarbonetos aromáticos são aqueles que possuem pelo menos um anel ou núcleo aromático, isto é, um ciclo com seis átomos de carbono que estabelecem entre si ligações conjugadas.
II. Devido à ressonância das ligações duplas, os aromáticos não são compostos estáveis e só reagem em condições enérgicas.
III. O metilbenzeno, conhecido comercialmente por tolueno, é um composto aromático derivado do benzeno e possui fórmula molecular C7H14.
IV. O benzeno é um composto aromático bastante estável devido à ressonância das ligações duplas.
a) I, II e IV.
b) II, III e IV.
c) I, II e III.
d) I, III e IV.
e) I e IV.

No rótulo de um solvente comercial há indicação de que contém apenas hidrocarbonetos alifáticos.
A partir dessa informação conclui-se que esse solvente não deverá conter, como um de seus componentes principais, o:
a) tolueno.
b) n-hexano.
c) heptano.
d) ciclohexano.
e) pentano.

O nome segundo a IUPAC do hidrocarboneto insaturado, representado pela fórmula estrutural abaixo, é:
a) 2-metil - butano
b) pent-1-eno metil
c) but-1-eno - metil
d) 2-metil - but-1-eno
e) 3-metil - but-3-eno

Quantos átomos de hidrogênio há molécula do ciclobuteno? Escreva a fórmula estrutural para comprovar sua resposta.
a) 4.
b) 5.
c) 6.
d) 7.
e) 8.

Qual dos hidrocarbonetos abaixo apresenta o menor ponto de ebulição? Justifique.
a) pentano
b) 2,3-dimetil-butano
c) hexano
d) 2,2-dimetil-pentano
e) propano

Considerando que a temperatura ambiente é de 20 °C, assinale a alternativa INCORRETA:
a) O hexano é líquido à temperatura ambiente.
b) O butano é um gás à temperatura ambiente, sob pressão de 1atm.
c) Pode-se afirmar com certeza que o ponto de ebulição (PE) dos alcanos aumenta com o aumento de suas massas molares, mantendo-se constante a pressão.
d) O ponto de ebulição do decano fica em torno de 200 oC, quando a pressão é de 1atm.
e) hidrocarbonetos com números pares de átomos de carbono são gases à temperatura ambiente.

Prévia do material em texto

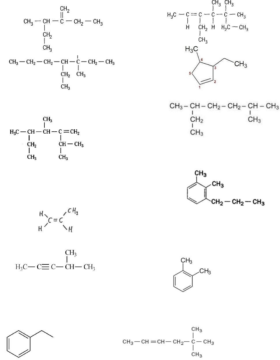
01. Considere as fórmulas estruturais que estão representadas abaixo. Dê o nome de cada hidrocarboneto correspondente, seguindo as regras da IUPAC.
 
 a) g) 
 
 
 
 b) h) 
 
 
	 i)
c) 
 
 
 
 
d) 
 j)
 
 
e) K) 
 
 
 
 
 f) 
	
Nome(s)__________________________________________________________________3° ANO turma_____ Data__________
02. Dê o nome (IUPAC) para os compostos abaixo:
 I II 
03. O gás liquefeito de petróleo é formado por uma mistura de quais hidrocarbonetos?
a) metano e etano.
b) metano e isooctano.
c) propano e butano.
d) heptano e octano.
e) undecano e dodecano.
04. (Unesp) O nonano é um dos principais constituintes da gasolina comum, que é uma mistura de hidrocarbonetos. A fórmula molecular do nonano é: 
a) C9H18
b) C9H20 
c) C9H22 
d) C9H16
e) C18H38
05. (Mack-2005) A octanagem é uma medida da resistência à compressão da gasolina à compressão da gasolina. 
 O isooctano é utilizado como padrão de índice de octanagem por ser o composto que mais resiste à compressão sem explodir. 
A respeito do isoctano, é INCORRETO afirmar que:
a) seu nome oficial é 2,2,4-trimetil-pentano.
b) apresenta cadeia carbônica acíclica e ramificada. 
c) é um alcano de cadeia saturada.
d) todos os carbonos apresentam hibridização sp3.
e) é um hidrocarboneto insaturado.
06. Dê a fórmula estrutural dos seguintes hidrocarbonetos.
a) 2-metil-propano
b) 3-etil-2,2-dimetil-hexano;
c) 4-isopropil-2,2,3,6-tetrametil-octano.
d) 3-etil-2-metil-hex-2-eno;
e) 5-tercbutil-7-metil-dec-2-ino;
f) β-etil-naftaleno
g) hex-2-ino	
07. Hidrocarbonetos são compostos formados exclusivamente por carbono e hidrogênio. Muitos destes compostos são combustíveis, outros servem de matéria-prima para produção de polímeros (plásticos, tecidos, borracha...), cosméticos, etc. 
Considerando que os hidrocarbonetos formam um vasto grupo, e, por isso, é necessário dividi-lo em subgrupos, faça à associação da coluna A (hidrocarbonetos) com a coluna B (subgrupos).
 Coluna A Coluna B
1. Benzeno ( ) alcenos
2. Butano ( ) alcadienos
3. Pent-2-ino ( ) alcanos
4. Ciclohexano ( ) alcinos 
5. buta-1,3-dieno ( ) aromáticos
6. eteno 
Nome(s)__________________________________________________________________3° ANO turma_____ Data__________
08. Dê o nome para os hidrocarbonetos de cadeia fechada. 
 
 I II III IV V VI
09. Dados os compostos abaixo, assinale a afirmação INCORRETA:
a) I pode ser denominado para-dimetilbenzeno 
b) II é o 1,3-dimetilbenzeno 
c) III é o 1,2-dimetilbenzeno
d) São denominados, respectivamente, orto-dimetil benzeno, meta-dimetilbenzeno e para-dimetilbenzeno. 
e) A fórmula molecular dos três compostos é C8H10
10. Relativamente ao composto de fórmula estrutural abaixo, considere as afirmações: 
 CH3 - CH2 - CH = CH - CH2 - CH3
I. é um alceno.
II. apresenta somente carbonos de hibridização sp3 em sua estrutura.
III. seu nome é pent-2-eno.
IV. apresenta cadeia carbônica insaturada e ramificada.
V. é uma cadeia homogênia. 
São corretas somente:
a) I e II
b) II, III e IV 
c) I e V 
d) I, III e V 
e) I , III, IV e V
11. Sabe-se que isômeros são compostos que apresentam diferentes fórmulas estruturais, no entanto, apresentam mesma fórmula molecular. Dos hidrocarbonetos abaixo, circule os que forem isômeros entre si? Justifique sua resposta , para isso, escreva a fórmula estrutural e a molecular de cada composto.
I. 2,2,3-trimetil-pentano II. 3-metil-hexano III. 3-metil-heptano IV. 4-metil-hept-2-eno
12. Qual dos seguintes hidrocarbonetos possui a temperatura de ebulição mais alta? Justifique sua resposta:
a) metano
b) octano
c) etano
d) butano
e) hexano
13. (Fatec) O gás liquefeito de petróleo, GLP, é uma mistura de propano, C3H8, e butano, C4H10. Logo, esse gás é uma mistura de hidrocarbonetos da classe dos:
 a) alcanos.
 b) alcenos. 
c) alcinos. 
d) cicloalcanos. 
e) cicloalcenos
Nome(s)__________________________________________________________________3° ANO turma_____ Data__________
14. Segundo o documentário – os segredos do petróleo – quais são as três matérias primas básicas utilizadas para produzir praticamente todos os plásticos do mundo? 
15. O que é craqueamento de petróleo?
16. Pesquise e escreva a fórmula estrutural do estireno e, baseado no documentário encontrado em Maravilhas Modernas - os segredos do petróleo - cite no mínimo 5 utilizações para este composto químico.	
17. Segundo o documentário - os segredos do petróleo – encontrado em Maravilhas Modernas, quais são o nome e a fórmula estrutural do gás combustível utilizado para aquecimento de cerca de 17 milhões de residências e que movimenta cerca de 11 milhões de carros nos EUA?
18. (Uem-2012) O grande dilema da utilização indiscriminada de petróleo hoje em dia como fonte de energia é que ele também é fonte primordial de matérias primas industriais, ou seja, reagentes que, submetidos a diferentes reações químicas, geram milhares de novas substâncias importantíssimas para a sociedade. 
A esse respeito, assinale o que for CORRETO. 
01) O craqueamento do petróleo visa a transformar moléculas gasosas de pequena massa molar em compostos mais complexos e pesados a serem utilizados nas indústrias químicas. 
02)A destilação fracionada do petróleo separa grupos de compostos em faixas de temperatura de ebulição extremamente diferentes. 
04) A gasolina é o nome dado à uma mistura de hidrocarbonetos (heptanos,octanos, nonanos e decanos), obtida na destilação fracionada do petróleo. 
08) O resíduo do processo de destilação fracionada do petróleo apresenta-se como um material altamente viscoso usado como asfalto. 
16) Grande parte dos plásticos utilizados hoje em dia tem como matéria prima o petróleo.
19. (UFRJ) O isooctano e outras moléculas de hidrocarbonetos ramificados são mais desejáveis, nas gasolinas comerciais, do que moléculas de cadeia linear uma vez que estas sofrem ignição de forma explosiva, causando até perda de potência. Assinale a opção que apresenta a nomenclatura correta do isooctano 
a) 2,2,3 – trimetil-pentano 
b) 2,2,4 – trimetil-pentano 
c) 2,2,4 – trimetil-butano 
d) 2,2,3 – dimetil-pentano 
e) 2,2,4 – trimetil-hexano
20. (Uepg 2013) Com relação ao petróleo e seus derivados obtidos por meio de destilação, assinale o que for INCORRETO. 
a) O gás metano, CH4, o principal componente do gás natural veicular (GNV), corresponde a uma fração da destilação do petróleo. 
b) O craqueamento do petróleo consiste na decomposição sob altas temperaturas de moléculas de hidrocarbonetos de alto peso molecular em moléculas de hidrocarbonetos de menor peso molecular. 
c) A octanagem da gasolina se refere à porcentagem em sua composição de hidrocarbonetos com cadeias de oito átomos de carbono, saturadas e ramificadas. 
d) O gás de cozinha, também denominado gás liquefeito de petróleo (GLP), é formado principalmente por propano. 
e) Na destilação do petróleo, as frações obtidas nas partes mais altas das torres de fracionamentos, apresentam cadeias maiores e de maiores pontos de ebulição.
Nome(s)__________________________________________________________________3° ANO turma_____ Data__________
21. (Upf 2013) O alcatrão de hulha é um líquido escuro e viscoso que apresenta em sua composição o benzeno, o tolueno, os dimetilbenzenos, o naftaleno e o fenantreno. Sobre o tema, considere as seguintes afirmações: 
I. Os hidrocarbonetos aromáticos são aqueles que possuem pelo menos um anel ou núcleo aromático, isto é, um ciclo com seis átomos de carbono que estabelecem entre si ligações conjugadas.
 II. Devido à ressonância das ligações duplas, os aromáticos não são compostos estáveis e só reagem em condições enérgicas.
 III. O metilbenzeno, conhecido comercialmente por tolueno, é um composto aromático derivado do benzeno e possui fórmula molecular C7H14. 
IV. O benzeno é um composto aromático bastante estável devido à ressonância das ligações duplas. 
Está correto apenas o que se afirma em: 
a) I, II e IV. 
b) II, III e IV. 
c) I, II e III. 
d) I, III e IV. 
e) I e IV.
22. (Fatec) No rótulo de um solvente comercial há indicação de que contém apenas hidrocarbonetos alifáticos. A partir dessa informação conclui-se que esse solvente não deverá conter, como um de seus componentes principais, o:
 a) tolueno.
 b) n-hexano. 
c) heptano. 
d) ciclohexano. 
e) pentano.
23. O nome segundo a IUPAC do hidrocarboneto insaturado, representado pela fórmula estrutural abaixo, é:
a) 2-metil - butano 
b) pent-1-eno metil 
 c) but-1-eno - metil 
d) 2-metil - but-1-eno 
e) 3-metil - but-3-eno
24. (Uel) Quantos átomos de hidrogênio há molécula do ciclobuteno? Escreva a fórmula estrutural para comprovar sua resposta. 
a) 4.
b) 5.
c) 6.
d) 7. 
e) 8.
25. Qual dos hidrocarbonetos abaixo apresenta o menor ponto de ebulição? Justifique.
a) pentano 
b) 2,3-dimetil-butano 
c) hexano 
d) 2,2-dimetil-pentano 
e) propano
Nome(s)__________________________________________________________________3° ANO turma_____ Data__________
26. (UNB) Analise o seguinte gráfico a seguir.
Considerando que a temperatura ambiente é de 20 °C, assinale a alternativa INCORRETA:
a) O hexano é líquido à temperatura ambiente.
b) O butano é um gás à temperatura ambiente, sob pressão de 1atm.
c) Pode-se afirmar com certeza que o ponto de ebulição (PE) dos alcanos aumenta com o aumento de suas massas molares, mantendo-se constante a pressão. 
d) O ponto de ebulição do decano fica em torno de 200 oC, quando a pressão é de 1atm.
e) hidrocarbonetos com números pares de átomos de carbono são gases à temperatura ambiente.
27. (UFAM) A fórmula geral CnHn-2, pode ser aplicada corretamente a quais hidrocarbonetos? Justifique sua resposta .
a) alcadienos e ciclenos 
b) alcadienos, ciclenos e alcinos 
c) alcinos e ciclenos 
d) somente aos alcinos 
e) alcadienos e alcanos
28. A octanagem é uma medida do grau da capacidade de a gasolina queimar nos motores, sem explodir. O grau de octanagem 100 é atribuído ao composto representado pela fórmula estrutural
Com base nessa estrutura, dê o nome oficial do composto:
29. Escreva a fórmula estrutural e o nome do composto formado pela “união” dos radicais etil e sec-butil.
30. A borracha natural é um líquido branco e leitoso, extraído da seringueira, conhecido como látex. O monômero que origina a borracha natural é o isopreno, do qual podemos afirmar que:
 
a) É um hidrocarboneto de cadeia saturada e ramificada; 
b) É um hidrocarboneto aromático; 
c) é o 2-metil-buta-1,3-dieno de fórmula molecular C4H8; 
d) Apresenta quatro carbonos com hibridização sp2 e um carbono com hibridização sp3; 
e) É um hidrocarboneto saturado de fórmula molecular C5H8.

Mais conteúdos dessa disciplina