Logo Passei Direto
Subir material
Iniciar sesión
Pruébalo gratis
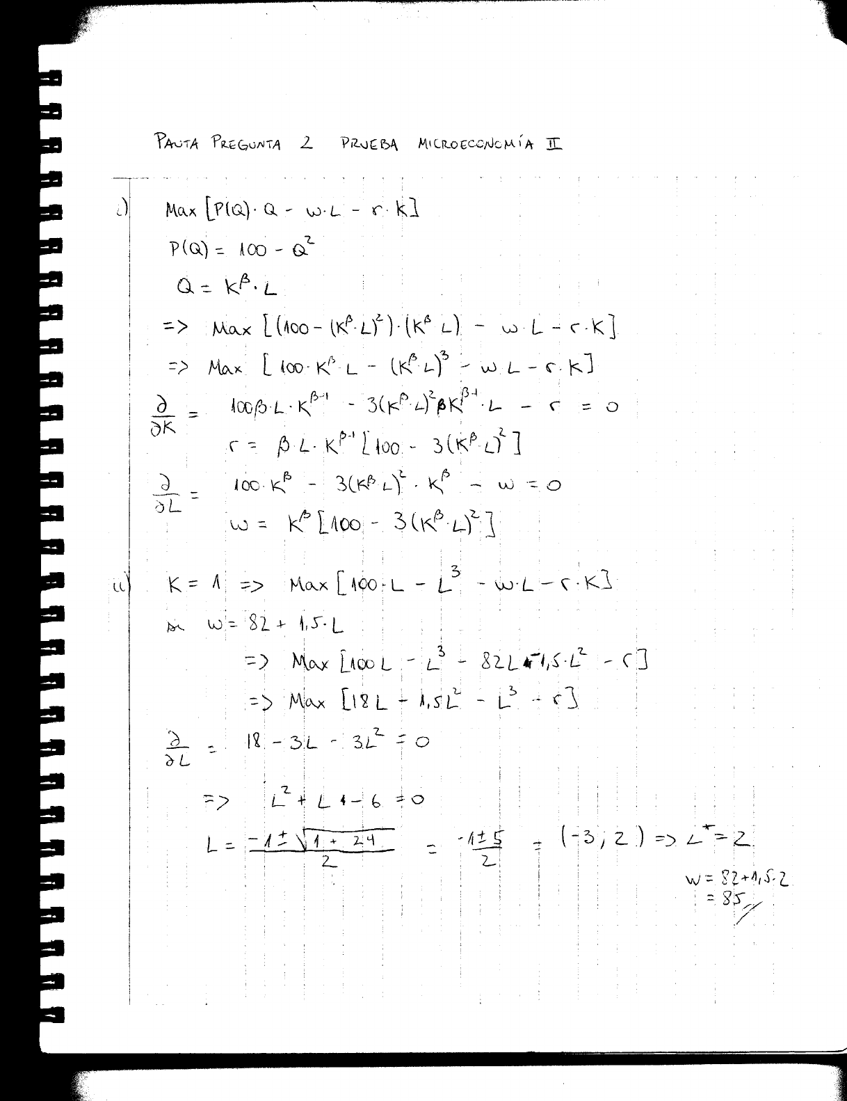
Pregunta005
Ingeniería Civil
Outros
Ignacio Sandoval
en
9/4/2025
0
Reportar
Reportar
Clave de respuestas
Ejercicios
Mapa mental
Resumen
Más opciones
Herramientas de estudio
Clave de respuestas
Ejercicios
Mapa mental
Resumen
Mostrar todo
Material
¡Estudia con miles de materiales!
Iniciar sesión
Más contenidos de este tema
Manual de costos y presupuestos para obras viales tomo I - Resumo
Diseno de Maquinas - Hall, Holowenco, Laughlin - 1ed
bosch_sistemas_de_encendido_el2_el2s