Logo Passei Direto
Buscar
Material
páginas com resultados encontrados.
páginas com resultados encontrados.
details

Libere esse material sem enrolação!

Craque NetoCraque Neto

Ao continuar, você aceita os Termos de Uso e Política de Privacidade

details

Libere esse material sem enrolação!

Craque NetoCraque Neto

Ao continuar, você aceita os Termos de Uso e Política de Privacidade

details

Libere esse material sem enrolação!

Craque NetoCraque Neto

Ao continuar, você aceita os Termos de Uso e Política de Privacidade

details

Libere esse material sem enrolação!

Craque NetoCraque Neto

Ao continuar, você aceita os Termos de Uso e Política de Privacidade

details

Libere esse material sem enrolação!

Craque NetoCraque Neto

Ao continuar, você aceita os Termos de Uso e Política de Privacidade

details

Libere esse material sem enrolação!

Craque NetoCraque Neto

Ao continuar, você aceita os Termos de Uso e Política de Privacidade

details

Libere esse material sem enrolação!

Craque NetoCraque Neto

Ao continuar, você aceita os Termos de Uso e Política de Privacidade

Prévia do material em texto

1 Introdução
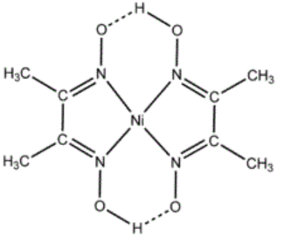
Durante a determinação do níquel pela gravimetria, ocorre a precipitação dos íons de níquel II com o composto orgânico dimetilglioxina (1), em que o pH fica em um intervalo de 5 a 9.
Ni2++ 2C4H6(NOH)2 Ni[C4H6(NOH)(NO)]2 + 2H+	(1)
	Em cada molécula de dimetilglioxina, o níquel desloca um próton de um grupo 
(-NOH), porém é complexado não pelos elétrons do oxigênio e sim através dos pares de elétrons de cada nitrogênio.
 
Fonte:https://www.google.com/search?q=niquel+com+dmg&source=lnms&tbm=isch&sa=X&ved=0ahUKEwjZv56K4PTaAhWGkJAKHdsbAG8Q_AUICigB&biw=1536&bih=759#imgrc=VQa2RVN8m0oqdM:
	
Esse precipitado deve ser formado lentamente para que não ocorra precipitados coloides, para isso é necessário ajustar a temperatura, concentração e pH. Assim, o complexo fica fácil de ser lavado e filtrado.
1
2 Materiais e Reagentes
- Ácido clorídrico 1:1 (v/v)
- Água destilada gelada
- Pisseta com álcool etílico
- Balança analítica (0,0001 g)
- Banho termostatizado a 80 oC
- 2 Béqueres de 25 mL
- 2 Bomba de vácuo
- 2 pipetas conta-gotas de plástico
- Papel indicador Universal
- Papel Tornassol azul e vermelho
- Pipeta volumétrica de 10 mL
- Pipetador
- Proveta de 10 mL
 - Bastão de vidro
- 2 Béqueres de 250 mL
- Dessecador / dessecante (sílica gel)
- Dimetilglioxima (H2DMG) 1% (m/v) em etanol
- Estufa a 120 oC
- 02 Filtros no. 4 com placa de vidro sinterizado
- Frasco Kitassato 500 mL
- Nitrato de níquel(II) - amostra
- Solução de hidróxido de amônio 1:2 (v/v)
- Solução de hidróxido de sódio 2,0 mol L-1
 
- Solução de nitrato de prata 0,2 mol L-1
- 2 Vidros de relógio
3 Objetivos
	Determinar a concentração de níquel em uma amostra de concentração desconhecida pelo método gravimétrico, aprendendo a controlar as condições experimentais para uma precipitação quantitativa.
4 Parte experimental
	Pipetou-se 5mL de uma solução de nitrato de níquel II de concentração desconhecida no béquer de 250mL (previamente limpo) e adicionou-se água destilada até aproximadamente 100mL. Em seguida, adicionou-se uma solução de HCl 1:1 (v/v) até que o pH da solução estivesse na faixa de 2 a 3. Aqueceu-se a mistura em banho termostatizado (80ºC) e adicionou-se cerca de 10 mL de solução de dimetilglioxina (H2DMG) a 1%(m/v) em etanol. Adicionou-se, gota a gota, da solução aquosa de NH4OH 1:2 (v/v) sob agitação constante até ocorrer a precipitação. Em seguida, adicionou-se um ligeiro excesso da solução de NH4OH. Cobriu-se o béquer com vidro de relógio e deixou-se sob aquecimento por 60 minutos (80ºC).
	Durante a espera de 60 minutos, lavou-se o funil de vidro com água corrente, água destilada e etanol. Secou-se em uma estufa a 120ºC por 20 minutos e deixou-se o filtro resfriando em um dessecador para depois pesar. Secou-se o filtro por mais 10 minutos em estufa, esperou-se secar e verificou-se a massa (repetiu-se esse procedimento até obtenção de massa constante).
5 Discussão
	Massa do filtro (g)
	Massa do filtro com precipitado (g)
	Massa do precipitado (g)
	44,2303
	44,1143
	0,1160
	43,7512
	43,6356
	0,1156
	43,3120
	43,1956
	0,1164
Tabela 1: Dados encontrados experimentalmente.
Sabendo-se que a concentração do nitrato de níquel hexahidratado [Ni(NO2)2 6H2O] utilizada no experimento foi de 1,1767g/0,05L e que a massa molar dele é 258,7g/mol, sendo dessa massa 58,7g/mol de níquel, portanto foi possível calcular a massa teórica de níquel que deveria ser encontrada.
258,7g -------- 58,7g de Ni2+
1,1767g -------- x
X = 0,267 g
0,267g -------- 50mL
 Z ------------- 5mL 
Z = 0,0267g de Ni2+ teórico
Através dos dados da tabela 1 e sabendo que a massa molar do complexo é de 
288,9 g/mol 
foi possível calcular a massa experimental do níquel encontrada, a média das medidas e o desvio padrão dos dois grupos.
Grupo 1: Laís, Eduarda, Rafaela
288,9 g do complexo --------58,7 g de Ni2+
0,116g ---------------------- x
 x = 0,0235 g de Ni2+
288,9 g do complexo ---------58,7 g de Ni2+
0,1156g -------------- y
Y= 0,0235g de Ni2+
288,9 g do complexo-------58,7 g de Ni2+
0,1164 g -------------------------- z
Z= 0,0235 g de Ni2+
 = 0,0235 g/ 5ml = 2,35 mg/ 5ml S= 0,000058 g/5mL = 0,058 mg/ 5mL
23,5 mg -------- 5 mL
X --------------- 100 mL
X = 470 mg de Ni2+ 
[Ni2+] = (470,00±0,06)mg/ 100mL
Grupo 2: Kátia, Evelly, Ellen
288,9 g do complexo --------58,7 g de Ni2+
0,1164g ---------------------- x
 x = 0,0241g de Ni2+
288,9 g do complexo ---------58,7 g de Ni2+
0,1164 g -------------- y
Y= 0,0241g de Ni2+
288,9 g do complexo-------58,7 g de Ni2+
0,1158 g -------------------------- z
Z= 0,0235 g de Ni2+
 = 0,0239 g/ 5ml = 23,9mg/ 5ml S= 0,00035 g/5mL = 0,35 mg/ 5mL
23,9 mg -------- 5 mL
x------------------ 100mL
X = 478,00 mg de Ni2+ 
[Ni2+] = (478,00±0,06)mg/ 100mL
Observando os valores encontrados experimentalmente do níquel nos dois grupos e comparando com o valor teórico, percebeu-se que o valor experimental é menor do que o valor teórico, provavelmente isso aconteceu por causa de erros aleatórios e/ou por reagente pode estar impuro.
6 Anexos
a) A equação 1 representa a reação envolvida nesse procedimento e o complexo formada foi 
Fonte:https://www.google.com/search?q=niquel+com+dmg&source=lnms&tbm=isch&sa=X&ved=0ahUKEwjZv56K4PTaAhWGkJAKHdsbAG8Q_AUICigB&biw=1536&bih=759#imgrc=VQa2RVN8m0oqdM:
c) Resposta no item 5 (discussão)
d) Resposta no item 5 (discussão)
e) Os ions cloretos devem estar ausentes na água de lavagem porque a ausência deles indica que não existe mais nem cloreto e nenhum tipo de constituinte da água mãe presente mais.
f) Deve se acidificar a solução antes da adição de agente precipitante, pois assim o precipitado não irá ficar fino, o que dificultaria a lavagem e filtração, já que a precipitação não ocorrerá de rapidamente.
Referências
BACCAN, N; ANDRADE, J. C.; GODINHO, O.E.S.; BARONE, J.S. Química analítica quantitativa elementar. 3. ed. São Paulo: BLUCHER, 2001. p. 209 – 211.