Logo Passei Direto
Buscar

QUESTAO_Questao_meio_ambiente_2014

Ferramentas de estudo

Questões resolvidas

A Organização das Nações Unidas (ONU) declarou 2013 como o “Ano Internacional da Cooperação pela Água” com a finalidade de uma reflexão mundial sobre os desafios da gestão, acesso, distribuição e serviços relacionados a este recurso cada vez mais escasso no planeta.
Um dos grandes problemas ambientais que envolve águas é o uso indiscriminado de agrotóxicos, sendo considerado a segunda fonte de contaminação. A degradação destes compostos pode se dar por alguns processos, dentre os quais hidrólise, oxidação, isomerização, fotólise. Qual das alternativas abaixo apresenta o conceito adequado para um dos processos apresentados acima?
a) Hidrólise é a quebra da estrutura química de um composto por meio da absorção de uma hidroxila.
b) Fotólise é a quebra da estrutura química de um composto por meio de absorção de radiação eletromagnética.
c) Oxidação é o processo de degradação térmica de um composto químico.
d) Isomerização é o processo de tornar iguais dois compostos.
e) Oxidação é o processo de transformar qualquer composto em um óxido.

Material
páginas com resultados encontrados.
páginas com resultados encontrados.
left-side-bubbles-backgroundright-side-bubbles-background

Experimente o Premium!star struck emoji

Acesse conteúdos dessa e de diversas outras disciplinas.

Libere conteúdos
sem pagar

Ajude estudantes e ganhe conteúdos liberados!

left-side-bubbles-backgroundright-side-bubbles-background

Experimente o Premium!star struck emoji

Acesse conteúdos dessa e de diversas outras disciplinas.

Libere conteúdos
sem pagar

Ajude estudantes e ganhe conteúdos liberados!

left-side-bubbles-backgroundright-side-bubbles-background

Experimente o Premium!star struck emoji

Acesse conteúdos dessa e de diversas outras disciplinas.

Libere conteúdos
sem pagar

Ajude estudantes e ganhe conteúdos liberados!

left-side-bubbles-backgroundright-side-bubbles-background

Experimente o Premium!star struck emoji

Acesse conteúdos dessa e de diversas outras disciplinas.

Libere conteúdos
sem pagar

Ajude estudantes e ganhe conteúdos liberados!

Questões resolvidas

A Organização das Nações Unidas (ONU) declarou 2013 como o “Ano Internacional da Cooperação pela Água” com a finalidade de uma reflexão mundial sobre os desafios da gestão, acesso, distribuição e serviços relacionados a este recurso cada vez mais escasso no planeta.
Um dos grandes problemas ambientais que envolve águas é o uso indiscriminado de agrotóxicos, sendo considerado a segunda fonte de contaminação. A degradação destes compostos pode se dar por alguns processos, dentre os quais hidrólise, oxidação, isomerização, fotólise. Qual das alternativas abaixo apresenta o conceito adequado para um dos processos apresentados acima?
a) Hidrólise é a quebra da estrutura química de um composto por meio da absorção de uma hidroxila.
b) Fotólise é a quebra da estrutura química de um composto por meio de absorção de radiação eletromagnética.
c) Oxidação é o processo de degradação térmica de um composto químico.
d) Isomerização é o processo de tornar iguais dois compostos.
e) Oxidação é o processo de transformar qualquer composto em um óxido.

Prévia do material em texto

Interbits – SuperPro ® Web 
Página 1 de 1
TEXTO PARA A PRÓXIMA QUESTÃO: 
Ano Internacional da Cooperação pela Água 
A Organização das Nações Unidas (ONU) declarou 2013 como o “Ano Internacional da Cooperação pela Água” com a finalidade de uma reflexão mundial sobre os desafios da gestão, acesso, distribuição e serviços relacionados a este recurso cada vez mais escasso no planeta. 
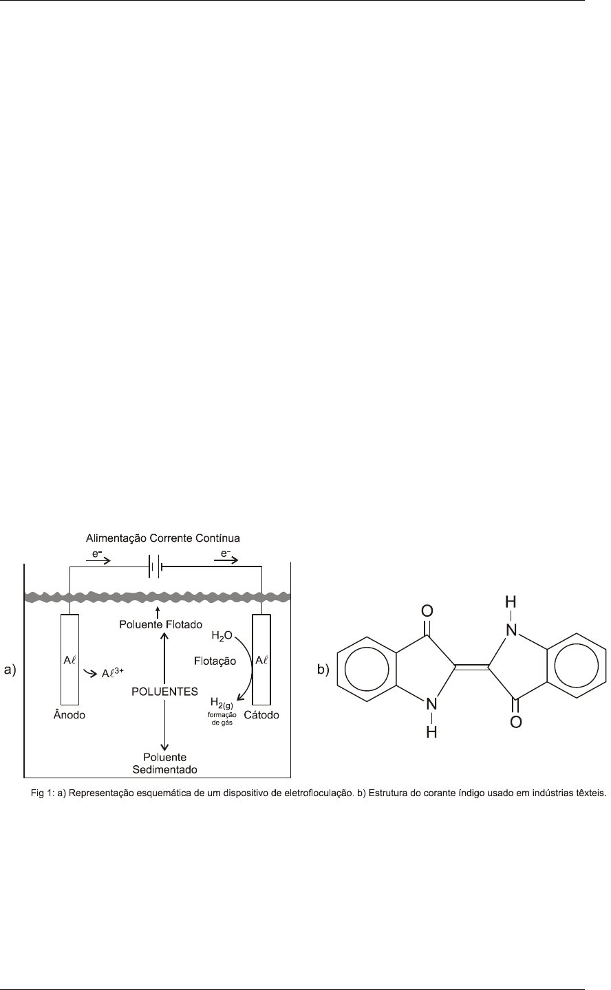
Tratamento de Águas 
Entres os grandes exploradores de fontes aquáticas estão as indústrias têxteis. Estas requerem grandes quantidades de água, corantes, entre outros produtos. O processamento têxtil é um grande gerador de dejetos poluidores de recursos hídricos. Urna técnica promissora para a minimização desse problema é a eletrofloculação, que tem se mostrado eficiente tanto no processo de reciclagem da água quanto do corante. A Fig. 1 mostra uma representação esquemática de um dispositivo dc eletrofloculação e a estrutura química do corante índigo, bastante usado nas indústrias têxteis 
(extraído do artigo “Tratamento da água de purificação do biodiesel utilizando eletrofloculação”. Química Nova. vol.35. n.4. 2012) 
 
1. (Uepb 2014) Um dos grandes problemas ambientais que envolve águas é o uso indiscriminado de agrotóxicos, sendo considerado a segunda fonte de contam inação. A degradação destes compostos pode se dar por alguns processos, dentre os quais hidrólise, oxidação, isomerização, fotólise. Qual das alternativas abaixo apresenta o conceito adequado para um dos processos apresentados acima? 
a) Hidrólise é a quebra da estrutura química de um composto por meio da absorção de uma hidroxila. 
b) Fotólise é a quebra da estrutura química de um composto por meio de absorção de radiação eletromagnética. 
c) Oxidação é o processo de degradação térmica de um composto químico. 
d) Isomerização é o processo de tornar iguais dois compostos. 
e) Oxidação é o processo de transformar qualquer composto em um óxido. 
 
Gabarito: 
Resposta da questão 1:
 [B]
A fotólise é um processo alternativo para tanto para desinfecção quanto para degradação de compostos orgânicos, como os agrotóxicos. Esse processo utiliza a radiação ultravioleta (UV) que possui uma interação irreversível com a molécula, causando sua destruição total ao parcial. 
Resumo das questões selecionadas nesta atividade
Data de elaboração:	19/09/2017 às 21:28
Nome do arquivo:	Questão meio ambiente 2014
Legenda:
Q/Prova = número da questão na prova
Q/DB = número da questão no banco de dados do SuperPro®
Q/prova	Q/DB	Grau/Dif.	Matéria	Fonte	Tipo
 
1	132222	Elevada	Química	Uepb/2014	Múltipla escolha