Logo Passei Direto
Buscar

Ferramentas de estudo

Questões resolvidas

A figura ao lado representa parte da tabela periódica. As posições sombreadas estão ocupadas pelos elementos químicos do conjunto I = {A, E, M, Q, X, Z}, não necessariamente nesta ordem. Sobre esses elementos são fornecidas as informações descritas a seguir.
Sobre os elementos do conjunto I e com base nas informações acima, é correto afirmar:
V- Os elementos desse conjunto pertencem ao mesmo grupo ou família da classificação periódica; devem, portanto, apresentar propriedades químicas semelhantes.
V- A configuração eletrônica da camada de valência dos elementos desse conjunto pode ser representada genericamente por ns2.
V- Os elementos desse conjunto combinam -se com o oxigênio para formar óxidos, na proporção de um átomo do elemento para cada átomo de oxigênio.
V- O número atômico do elemento A é 88.
F- O raio atômico dos elementos A, M e Z cresce na mesma ordem.
F- A ordem dos elementos desse conjunto segundo o valor crescente de seus números atômicos é Z, Q, M, X, E e A.

Considere as experiências descritas a seguir, efetuadas na mesma temperatura.
Sobre as experiências acima e levando em conta os conhecimentos sobre o processo da solubilidade, é correto afirmar:
V- Em I e II a massa de sal dissolvida é a mesma.
F- Apenas em I forma-se uma solução saturada sobre a fase sólida.
F- A massa de sal dissolvida nas experiências não depende da temperatura.
F- Em II a mistura resultante é homogênea.
V- Em I e II resulta um estado de equilíbrio entre uma fase sólida e uma fase líquida.
V- A massa inicial de sal pode ser recuperada, nas duas experiências, por meio de um processo de destilação.

Em ambientes fechados, tais como submarinos e espaçonaves, há necessidade de eliminar o gás carbônico produzido pela respiração e restaurar o gás oxigênio.
Para a solução desse problema, um dos procedimentos adotados consiste em reagir o gás carbônico, CO2, com o superóxido de potássio, KO2(s), resultando em carbonato de potássio, K2CO3(s), e gás oxigênio, O2. O projetista de um submarino pretende calcular a massa de superóxido de potássio necessária para reagir com 100 L de gás carbônico, a 25 ºC e 1,00 atm de pressão. Para isso, o projetista deverá obrigatoriamente:
V- Considerar a equação química balanceada da reação descrita acima.
V- Conhecer as massas molares dos elementos potássio e oxigênio.
V- Conhecer o volume molar de gás carbônico a 25 ºC e 1,00 atm de pressão.
F- Calcular a massa molar do CO2.
V- Calcular a massa molar do KO2.
F- Calcular a massa molar do K2CO3.

Considere o esquema abaixo, construído segundo a classificação dos compostos do conjunto A.
Sobre a classificação dos compostos do conjunto A, segundo o esquema acima, é correto afirmar:
V- Os compostos do conjunto D são isômeros entre si.
V- Todo o composto do conjunto E é isômero de qualquer composto do conjunto F.
F- O(s) composto(s) do conjunto F apresenta(m) caráter ácido mais acentuado que o(s) do conjunto G.
V- Na primeira etapa de oxidação, o(s) composto(s) do conjunto F produz(em) substância(s) com a mesma função química do(s) composto(s) do conjunto I.
F- Os compostos do conjunto C pertencem à mesma função química.
F- O conjunto H é um conjunto vazio.

Considere as soluções I, II e III, descritas a seguir.
Sobre as soluções I, II e III, é correto afirmar:
F- A concentração de ácido sulfúrico na solução I é igual a 0,100 mol L−1.
V- A solução II contém 8,0 g de soluto.
F- A concentração de hidróxido de sódio na solução II é igual a 1,0x10−13 mol L−1.
V- A mistura de I e II produz uma solução neutra.
V- A mistura de I e II é uma solução eletrolítica.
F- A concentração de íons sódio na solução resultante da mistura de I e II é igual à da solução III.

As questões 26 e 27 estão relacionadas com as informações a seguir. Os haletos de alquila são compostos orgânicos importantes porque a partir deles é possível obter outros compostos de várias funções orgânicas.
Assumindo que o diagrama acima deve ser lido da esquerda para a direita, sobre a reação nele representada é correto afirmar:
V- É uma reação de substituição.
F- Nela ocorre a produção de um álcool terciário.
V- A reação é exotérmica.
V- A energia de ativação para a reação é igual a ΔH2 − ΔH1.
V- O nome do composto orgânico produzido na reação é 2-butanol.
F- A entalpia da reação é igual a ΔH1 − ΔH3.

Com base em todas as informações dadas nesta página sobre a reação dos haletos de alquila, é correto afirmar:
V- Durante a reação, a hibridação do carbono ao qual o haleto estava ligado muda de sp3 para sp2 e retorna a sp3.
V- A reação entre o íon OH− e a espécie química intermediária é do tipo ácido-base de Lewis.
F- Independentemente do lado pelo qual o íon hidróxido se liga à espécie intermediária, o produto formado é o mesmo.
V- O produto da reação é uma mistura racêmica, porque ocorre a produção de enantiomorfos em proporções iguais.
V- A presença do íon OH− indica que a reação se processa preferencialmente em meio alcalino.

O elemento químico alumínio é o terceiro mais abundante na Terra, depois do oxigênio e do silício. A fonte comercial do alumínio é a bauxita, um minério que, por desidratação, produz a alumina, Al2O3.
Com base nas informações acima, é correto afirmar:
V- A fusão dos minérios é necessária para permitir o deslocamento dos íons para os respectivos eletrodos.
F- A reação II indica que o catodo é consumido durante o processo.
V- A redução do alumínio ocorre no eletrodo de aço.
V- O processo de obtenção do alumínio metálico é uma eletrólise.
V- A soma dos menores coeficientes estequiométricos inteiros na reação total de obtenção do alumínio é 20.
F- A produção de uma lata de refrigerante (13,5 g de alumínio) absorve 0,500 mol de elétrons.

Considere as informações abaixo sobre a composição de algumas espécies químicas presentes na água do mar.
Com base nas informações, é correto afirmar:
F- A espécie química de menor massa por quilograma de água do mar é o íon Br−(aq).
V- De um quilograma de água do mar pode ser extraído no máximo 0,010 mol de sulfato de cálcio.
F- A evaporação de 1000 g de água do mar produz um resíduo sólido que contém 0,535 mol de cloreto de sódio.
F- O único sal presente na água do mar é o cloreto de sódio.
V- 100 g de água do mar contêm 6,0x10^20 íons K+.

Material
páginas com resultados encontrados.
páginas com resultados encontrados.
left-side-bubbles-backgroundright-side-bubbles-background

Crie sua conta grátis para liberar esse material. 🤩

Já tem uma conta?

Ao continuar, você aceita os Termos de Uso e Política de Privacidade

left-side-bubbles-backgroundright-side-bubbles-background

Crie sua conta grátis para liberar esse material. 🤩

Já tem uma conta?

Ao continuar, você aceita os Termos de Uso e Política de Privacidade

left-side-bubbles-backgroundright-side-bubbles-background

Crie sua conta grátis para liberar esse material. 🤩

Já tem uma conta?

Ao continuar, você aceita os Termos de Uso e Política de Privacidade

left-side-bubbles-backgroundright-side-bubbles-background

Crie sua conta grátis para liberar esse material. 🤩

Já tem uma conta?

Ao continuar, você aceita os Termos de Uso e Política de Privacidade

Questões resolvidas

A figura ao lado representa parte da tabela periódica. As posições sombreadas estão ocupadas pelos elementos químicos do conjunto I = {A, E, M, Q, X, Z}, não necessariamente nesta ordem. Sobre esses elementos são fornecidas as informações descritas a seguir.
Sobre os elementos do conjunto I e com base nas informações acima, é correto afirmar:
V- Os elementos desse conjunto pertencem ao mesmo grupo ou família da classificação periódica; devem, portanto, apresentar propriedades químicas semelhantes.
V- A configuração eletrônica da camada de valência dos elementos desse conjunto pode ser representada genericamente por ns2.
V- Os elementos desse conjunto combinam -se com o oxigênio para formar óxidos, na proporção de um átomo do elemento para cada átomo de oxigênio.
V- O número atômico do elemento A é 88.
F- O raio atômico dos elementos A, M e Z cresce na mesma ordem.
F- A ordem dos elementos desse conjunto segundo o valor crescente de seus números atômicos é Z, Q, M, X, E e A.

Considere as experiências descritas a seguir, efetuadas na mesma temperatura.
Sobre as experiências acima e levando em conta os conhecimentos sobre o processo da solubilidade, é correto afirmar:
V- Em I e II a massa de sal dissolvida é a mesma.
F- Apenas em I forma-se uma solução saturada sobre a fase sólida.
F- A massa de sal dissolvida nas experiências não depende da temperatura.
F- Em II a mistura resultante é homogênea.
V- Em I e II resulta um estado de equilíbrio entre uma fase sólida e uma fase líquida.
V- A massa inicial de sal pode ser recuperada, nas duas experiências, por meio de um processo de destilação.

Em ambientes fechados, tais como submarinos e espaçonaves, há necessidade de eliminar o gás carbônico produzido pela respiração e restaurar o gás oxigênio.
Para a solução desse problema, um dos procedimentos adotados consiste em reagir o gás carbônico, CO2, com o superóxido de potássio, KO2(s), resultando em carbonato de potássio, K2CO3(s), e gás oxigênio, O2. O projetista de um submarino pretende calcular a massa de superóxido de potássio necessária para reagir com 100 L de gás carbônico, a 25 ºC e 1,00 atm de pressão. Para isso, o projetista deverá obrigatoriamente:
V- Considerar a equação química balanceada da reação descrita acima.
V- Conhecer as massas molares dos elementos potássio e oxigênio.
V- Conhecer o volume molar de gás carbônico a 25 ºC e 1,00 atm de pressão.
F- Calcular a massa molar do CO2.
V- Calcular a massa molar do KO2.
F- Calcular a massa molar do K2CO3.

Considere o esquema abaixo, construído segundo a classificação dos compostos do conjunto A.
Sobre a classificação dos compostos do conjunto A, segundo o esquema acima, é correto afirmar:
V- Os compostos do conjunto D são isômeros entre si.
V- Todo o composto do conjunto E é isômero de qualquer composto do conjunto F.
F- O(s) composto(s) do conjunto F apresenta(m) caráter ácido mais acentuado que o(s) do conjunto G.
V- Na primeira etapa de oxidação, o(s) composto(s) do conjunto F produz(em) substância(s) com a mesma função química do(s) composto(s) do conjunto I.
F- Os compostos do conjunto C pertencem à mesma função química.
F- O conjunto H é um conjunto vazio.

Considere as soluções I, II e III, descritas a seguir.
Sobre as soluções I, II e III, é correto afirmar:
F- A concentração de ácido sulfúrico na solução I é igual a 0,100 mol L−1.
V- A solução II contém 8,0 g de soluto.
F- A concentração de hidróxido de sódio na solução II é igual a 1,0x10−13 mol L−1.
V- A mistura de I e II produz uma solução neutra.
V- A mistura de I e II é uma solução eletrolítica.
F- A concentração de íons sódio na solução resultante da mistura de I e II é igual à da solução III.

As questões 26 e 27 estão relacionadas com as informações a seguir. Os haletos de alquila são compostos orgânicos importantes porque a partir deles é possível obter outros compostos de várias funções orgânicas.
Assumindo que o diagrama acima deve ser lido da esquerda para a direita, sobre a reação nele representada é correto afirmar:
V- É uma reação de substituição.
F- Nela ocorre a produção de um álcool terciário.
V- A reação é exotérmica.
V- A energia de ativação para a reação é igual a ΔH2 − ΔH1.
V- O nome do composto orgânico produzido na reação é 2-butanol.
F- A entalpia da reação é igual a ΔH1 − ΔH3.

Com base em todas as informações dadas nesta página sobre a reação dos haletos de alquila, é correto afirmar:
V- Durante a reação, a hibridação do carbono ao qual o haleto estava ligado muda de sp3 para sp2 e retorna a sp3.
V- A reação entre o íon OH− e a espécie química intermediária é do tipo ácido-base de Lewis.
F- Independentemente do lado pelo qual o íon hidróxido se liga à espécie intermediária, o produto formado é o mesmo.
V- O produto da reação é uma mistura racêmica, porque ocorre a produção de enantiomorfos em proporções iguais.
V- A presença do íon OH− indica que a reação se processa preferencialmente em meio alcalino.

O elemento químico alumínio é o terceiro mais abundante na Terra, depois do oxigênio e do silício. A fonte comercial do alumínio é a bauxita, um minério que, por desidratação, produz a alumina, Al2O3.
Com base nas informações acima, é correto afirmar:
V- A fusão dos minérios é necessária para permitir o deslocamento dos íons para os respectivos eletrodos.
F- A reação II indica que o catodo é consumido durante o processo.
V- A redução do alumínio ocorre no eletrodo de aço.
V- O processo de obtenção do alumínio metálico é uma eletrólise.
V- A soma dos menores coeficientes estequiométricos inteiros na reação total de obtenção do alumínio é 20.
F- A produção de uma lata de refrigerante (13,5 g de alumínio) absorve 0,500 mol de elétrons.

Considere as informações abaixo sobre a composição de algumas espécies químicas presentes na água do mar.
Com base nas informações, é correto afirmar:
F- A espécie química de menor massa por quilograma de água do mar é o íon Br−(aq).
V- De um quilograma de água do mar pode ser extraído no máximo 0,010 mol de sulfato de cálcio.
F- A evaporação de 1000 g de água do mar produz um resíduo sólido que contém 0,535 mol de cloreto de sódio.
F- O único sal presente na água do mar é o cloreto de sódio.
V- 100 g de água do mar contêm 6,0x10^20 íons K+.

Prévia do material em texto

Vestibular1 – A melhor ajuda ao vestibulando na Internet
Acesse Agora ! � HYPERLINK "http://www.vestibular1.com.br" ��www.vestibular1.com.br�
�PAGE �1�
�PAGE �4�
Exercícios resolvidos de Química
Respostas com V (verdadeiro) F (falso), já respondidas.
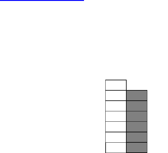
Q -	A figura ao lado representa parte da tabela periódica. As posições sombreadas estão ocupadas pelos elementos químicos do conjunto I = {A, E, M, Q, X, Z}, não necessariamente nesta ordem. Sobre esses elementos são fornecidas as informações descritas a seguir.
-	Dentre os elementos químicos do conjunto I, o elemento Z é o mais eletronegativo.
-	O núcleo de A contém 1 próton a mais que o núcleo do frâncio.
-	O elemento químico situado imediatamente à direita de M na tabela periódica é um elemento de transição do 4º período. 
-	Rb+ e X2+ são isoeletrônicos. 
-	A primeira energia de ionização de E é maior que a de Q. 
Sobre os elementos do conjunto I e com base nas informações acima, é correto afirmar:
V-	Os elementos desse conjunto pertencem ao mesmo grupo ou família da classificação periódica; devem, portanto, apresentar propriedades químicas semelhantes.
V-	A configuração eletrônica da camada de valência dos elementos desse conjunto pode ser representada genericamente por ns2.
V-	Os elementos desse conjunto combinam-se com o oxigênio para formar óxidos, na proporção de um átomo do elemento para cada átomo de oxigênio.
V-	O número atômico do elemento A é 88.
F-	O raio atômico dos elementos A, M e Z cresce na mesma ordem.
F-	A ordem dos elementos desse conjunto segundo o valor crescente de seus números atômicos é Z, Q, M, X, E e A.
Q -	Considere as experiências descritas a seguir, efetuadas na mesma temperatura.
	
I -	Um litro de água é adicionado lentamente, sob agitação, a 500 g de sal de cozinha. Apenas parte do sal é dissolvido.
II -	500 g de sal de cozinha são adicionados aos poucos, sob agitação, a um litro de água.
Sobre as experiências acima e levando em conta os conhecimentos sobre o processo da solubilidade, é correto afirmar: 
V-	Em I e II a massa de sal dissolvida é a mesma.
F-	Apenas em I forma-se uma solução saturada sobre a fase sólida.
F-	A massa de sal dissolvida nas experiências não depende da temperatura.
F-	Em II a mistura resultante é homogênea.
V-	Em I e II resulta um estado de equilíbrio entre uma fase sólida e uma fase líquida.
V-	A massa inicial de sal pode ser recuperada, nas duas experiências, por meio de um processo de destilação.
Q -	Em ambientes fechados, tais como submarinos e espaçonaves, há necessidade de eliminar o gás carbônico produzido pela respiração e restaurar o gás oxigênio. Para a solução desse problema, um dos procedimentos adotados consiste em reagir o gás carbônico, CO2, com o superóxido de potássio, KO2(s), resultando em carbonato de potássio, K2CO3(s), e gás oxigênio, O2. 
	O projetista de um submarino pretende calcular a massa de superóxido de potássio necessária para reagir com 100 L de gás carbônico, a 25 ºC e 1,00 atm de pressão. Para isso, o projetista deverá obrigatoriamente:
	
V-	Considerar a equação química balanceada da reação descrita acima.
V-	Conhecer as massas molares dos elementos potássio e oxigênio.
V-	Conhecer o volume molar de gás carbônico a 25 ºC e 1,00 atm de pressão.
F-	Calcular a massa molar do CO2.
V-	Calcular a massa molar do KO2.
F-	Calcular a massa molar do K2CO3.
�
Q -	Considere o esquema abaixo, construído segundo a classificação dos compostos do conjunto A.
Sobre a classificação dos compostos do conjunto A, segundo o esquema acima, é correto afirmar:
V-	Os compostos do conjunto D são isômeros entre si.
V-	Todo o composto do conjunto E é isômero de qualquer composto do conjunto F.
F-	O(s) composto(s) do conjunto F apresenta(m) caráter ácido mais acentuado que o(s) do conjunto G.
V-	Na primeira etapa de oxidação, o(s) composto(s) do conjunto F produz(em) substância(s) com a mesma função química do(s) composto(s) do conjunto I.
F-	Os compostos do conjunto C pertencem à mesma função química.
F-	O conjunto H é um conjunto vazio.
Q -	Considere as soluções I, II e III, descritas a seguir.
	
I -	Solução obtida pela adição de 9,80 g de H2SO4 (massa molar = 98,0 g) em água suficiente para completar o volume de 500 mL.
II-	2,00 L de solução de NaOH (massa molar = 40,0 g) com pH igual a 13.
III -	100 mL de solução de sulfato de sódio de concentração 0,300 mol L(1.
Sobre as soluções I, II e III, é correto afirmar:
F-	A concentração de ácido sulfúrico na solução I é igual a 0,100 mol L(1.
V-	A solução II contém 8,0 g de soluto.
F-	A concentração de hidróxido de sódio na solução II é igual a 1,0x10(13 mol L(1.
V-	A mistura de I e II produz uma solução neutra.
V-	A mistura de I e II é uma solução eletrolítica. 
F-	A concentração de íons sódio na solução resultante da mistura de I e II é igual à da solução III.
�
As questões 26 e 27 estão relacionadas com as informações a seguir.
Os haletos de alquila são compostos orgânicos importantes porque a partir deles é possível obter outros compostos de várias funções orgânicas. Uma dessas reações está representada no diagrama de entalpia abaixo. Nesse diagrama, pode ser observada uma espécie química intermediária entre os reagentes e os produtos, na qual um dos átomos de carbono compartilha apenas três ligações covalentes, distribuídas trigonalmente num plano.
 
Q - Assumindo que o diagrama acima deve ser lido da esquerda para a direita, sobre a reação nele representada é correto afirmar:
V-	É uma reação de substituição.
F-	Nela ocorre a produção de um álcool terciário.
V-	A reação é exotérmica.							
V-	A energia de ativação para a reação é igual a (H2 ( (H1.
V-	O nome do composto orgânico produzido na reação é 2-butanol.
F-	A entalpia da reação é igual a (H1 ( (H3.
Q - A seguir são dadas informações adicionais sobre parte da reação descrita anteriormente.
	
O íon OH( liga-se ao carbono central do plano trigonal, aproximando-se, com igual probabilidade, por um ou pelo outro lado deste plano.
Dados: 1H, 6C e 8O
	
Com base em todas as informações dadas nesta página sobre a reação dos haletos de alquila, é correto afirmar:
V-	Durante a reação, a hibridação do carbono ao qual o haleto estava ligado muda de sp3 para sp2 e retorna a sp3.
V-	A reação entre o íon OH( e a espécie química intermediária é do tipo ácido-base de Lewis.
F-	Independentemente do lado pelo qual o íon hidróxido se liga à espécie intermediária, o produto formado é o mesmo.
V-	O produto da reação é uma mistura racêmica, porque ocorre a produção de enantiomorfos em proporções iguais.
V-	A presença do íon OH( indica que a reação se processa preferencialmente em meio alcalino.
�
Q -	O elemento químico alumínio é o terceiro mais abundante na Terra, depois do oxigênio e do silício. A fonte comercial do alumínio é a bauxita, um minério que, por desidratação, produz a alumina, Al2O3. O alumínio metálico pode então ser obtido pela passagem de corrente elétrica através da alumina fundida, processo que, devido ao seu elevado ponto de fusão (2050 °C), requer um considerável consumo de energia. Acrescente-se ainda o alto custo envolvido na extração do alumínio de seu óxido e tem-se um processo energeticamente muito dispendioso. Somente a partir de 1886, quando Charles Hall descobriu que a mistura de alumina com criolita (Na3AlF6) fundia a 950 °C, o que tornava o processo de obtenção de alumínio menos dispendioso, foi possível a utilização desse elemento em maior escala.
	
	
A figura ao lado representa o dispositivo empregado para a extração do alumínio pela passagem de corrente elétrica. As semi-reações que ocorrem são:
I - Al3+(fund) + 3 e( (( Al(líq)
II - 2 O2( (fund) +C(s) (( CO2(g) + 4 e(
Massa molar: Al = 27,0 g
	
Com base nas informações acima, é correto afirmar:
V-	A fusão dos minérios é necessária para permitir o deslocamento dos íons para os respectivos eletrodos.
F-	A reação II indica que o catodo é consumido durante o processo.
V-	A redução do alumínio ocorre no eletrodo de aço.
V-	O processo de obtenção do alumínio metálico é uma eletrólise.
V-	A soma dos menores coeficientes estequiométricos inteiros na reação total de obtenção do alumínio é 20.
F-	A produção de uma lata de refrigerante (13,5 g de alumínio) absorve 0,500 mol de elétrons.
Q -	Considere as informações abaixo sobre a composição de algumas espécies químicas presentes na água do mar.
	
	
Número de Avogadro: 6,0x1023
Massa molar: O = 16,0 g
	Elemento
	Massa molar / g
	Espécie
	Mol / kg de água do mar
	
	Cloro
	35,5 
	Cl((aq)
	0,535
	
	Sódio
	23,0 
	Na+(aq)
	0,460
	
	Magnésio
	24,3 
	Mg2+(aq)
	0,052
	
	Enxofre
	32,1 
	SO42((aq)
	0,028
	
	Cálcio
	40,1 
	Ca2+(aq)
	0,010
	
	Potássio
	39,1 
	K+(aq)
	0,010
	
	Bromo
	79,9 
	Br((aq)
	0,008
	Com base nas informações, é correto afirmar:
F-	A espécie química de menor massa por quilograma de água do mar é o íon Br((aq).
V-	De um quilograma de água do mar pode ser extraído no máximo 0,010 mol de sulfato de cálcio.
F-	A evaporação de 1000 g de água do mar produz um resíduo sólido que contém 0,535 mol de cloreto de sódio.
F-	O único sal presente na água do mar é o cloreto de sódio.
V-	100 g de água do mar contêm 6,0x1020 íons K+.
Q -	As células cancerosas são mais sensíveis à radiação ( que as células sadias. Por esse motivo, essa radiação pode ser empregada no tratamento do câncer. Uma das fontes de raios ( é o isótopo 60 do elemento químico cobalto, que também emite partículas (. As equações nucleares a seguir descrevem um processo de obtenção do cobalto-60.
	
 + 
 (( 
�� EMBED Equation.2 
 (( 
 + 
 
 + 
 (( 
	
	Com base nas informações acima, é correto afirmar:
F-	Os isótopos 
 e 
 contêm o mesmo número de prótons.
F-	A partícula 
 é um próton.
V-	O isótopo 60 do cobalto contém 33 nêutrons no núcleo.
V-	A transmutação do isótopo 58 do ferro em cobalto-60 absorve 2 nêutrons.
V-	A emissão de uma partícula ( transforma o cobalto-60 no elemento de número atômico 28. 
V-	y = 27
...
...
...
...
11Na
3Li
1H
19K
37Rb
55Cs
87Fr
Conjunto A 
Conjunto B
Conjunto H
Composto(s) apresenta(m) o grupo OH?
Não
Sim
Não
Composto(s) apresenta(m) cadeia aromática?
Sim
Sim
Não
Composto(s) apresenta(m) átomo de oxigênio como heteroátomo?
Composto(s) apresenta(m) átomo de hidrogênio ligado à carbonila? 
Sim
Não
Conjunto I
Conjunto A
propanona
etoxi-etano
1-butanol
propanal
fenol comum
Conjunto C
Conjunto D
Conjunto E
Conjunto F
Conjunto G
_1062399700.unknown
_1063002251/ole-[42, 4D, 96, FE, 07, 00, 00, 00]
_1066025353.cdx
_1062399715.unknown
_1062399720.unknown
_1062399723.unknown
_1062399704.unknown
_1062399711.unknown
_1062399691.unknown
_1062399696.unknown
_1056195666/ole-[42, 4D, 36, B2, 02, 00, 00, 00]
_1062399506.unknown
_1062399667.unknown
_1062399419.unknown
_1055225204.unknown

Mais conteúdos dessa disciplina