Logo Passei Direto
Buscar

Exercícios de Cinética Química

Ferramentas de estudo

Questões resolvidas

Assinale o fenômeno que apresenta velocidade média maior.
(a) A combustão de um palito de fósforo.
(b) A transformação de rochas em solos.
(c) A corrosão de um automóvel.
(d) O crescimento de um ser humano.
(e) A formação do petróleo a partir de seres vivos.

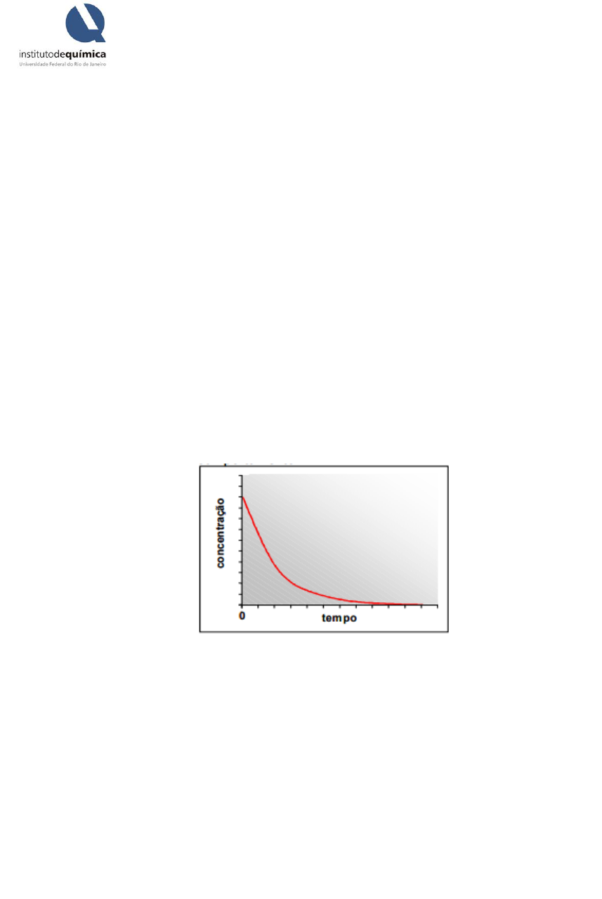
Óxidos de nitrogênio, NOx, são substâncias de interesse ambiental, pois são responsáveis pela destruição de ozônio na atmosfera, e, portanto, suas reações são amplamente estudadas. Num dado experimento, em um recipiente fechado, a concentração de NO2 em função do tempo apresentou o seguinte comportamento:
O papel do NO2 neste sistema reacional é:
a) reagente.
b) intermediário.
c) produto.
d) catalisador.
e) inerte

A água que forma os oceanos gotejou das nuvens, depois que a temperatura elevada no interior da jovem Terra retirou átomos de oxigênio e hidrogênio de rochas constituídas de compostos, como a mica. As moléculas então formadas foram levadas à superfície em rios de lava, depois foram liberadas como vapor d'água, formando grandes nuvens. Desse modo, nossos oceanos já foram um dia nossas rochas. Sendo dados, abaixo, a reação de formação da água e o gráfico representativo do caminho da reação, assinale a alternativa correta.
Assinale a alternativa correta.
(a) A reação de formação da água é endotérmica.
(b) A adição de um catalisador aumenta a velocidade de formação da água, pois diminui a entalpia de reação.
(c) Quanto maior a frequência de colisões efetivas entre as moléculas de H2 e O2 maior a velocidade da reação.
(d) A velocidade de decomposição de H2(g) é metade da velocidade de decomposição de O2(g).
(e) A velocidade de decomposição de O2(g) é o dobro da velocidade de formação de H2O(g).

Observa-se que a velocidade de reação é maior quando um comprimido efervescente, usado no combate à azia, é colocado:
a) inteiro, em água que está à temperatura de 6°C.
b) pulverizado, em água que está à temperatura de 45°C.
c) inteiro, em água que está à temperatura de 45°C.
d) pulverizado, em água que está à temperatura de 6°C.
e) inteiro, em água que está à temperatura de 25°C.

Industrialmente, a produção de amônia é feita pelo processo Haber, cuja reação química é representado pela equação global: N2(g) + 3 H2(g) → 2 NH3(g)
Sobre essa reação, assinale a alternativa correta.
(a) A velocidade de decomposição de N2 é igual à velocidade de decomposição de H2.
(b) A velocidade de formação de NH3 é duas vezes a velocidade de decomposição de H2.
(c) A velocidade de formação de NH3 é duas vezes a velocidade de decomposição de N2.
(d) A velocidade de decomposição de N2 é igual à velocidade de formação de produto.

A hidrazina (N2H4) é líquida e recentemente chamou a atenção como possível combustível para foguetes. Uma reação típica da hidrazina é: N2H4 + 2 I2 → 4 HI + N2. Supondo as velocidades, em módulo, expressas em mol/L:
Podemos afirmar que:
(a) V1 = V2 = V3 = V4.
(b) V1 = V2/2 = V3/4 = V4.
(c) V1 = 2V2 = 4V3 = V4.
(d) V1 = V2/4 = V3/4 = V4/2.
(e) V1 = 4V2 = 4V3 = 2V4.

A velocidade de formação de oxigênio na reação 2 O3(g) → 3 O2(g) é 2,5 x 10-3 mol.L-1.s-1. Qual é a velocidade de decomposição do ozônio?
(a) 2,5 x 10-3 mol / L s
(b) 1,7 x 10-3 mol / L s
(c) 0,8 x 10-3 mol / L s
(d) 5,0 x 10-3 mol / L s

Observe os dados sobre a seguinte reação: 2 ICl(g) + H2(g) → I2(g) + 2 HCl. Experimento [ICl]o (mmol/L) [H2]o (mmol/L) Vo (mol/ L s)
A lei de velocidade dessa reação é dada por: V= K [ICl]m[H2]n. O valor dos coeficientes m e n, referentes ao ICl e H2, respectivamente, são:
(a) 1 e 1
(b) 1 e 2
(c) 2 e 1
(d) 2 e 2

Material
páginas com resultados encontrados.
páginas com resultados encontrados.
left-side-bubbles-backgroundright-side-bubbles-background

Crie sua conta grátis para liberar esse material. 🤩

Já tem uma conta?

Ao continuar, você aceita os Termos de Uso e Política de Privacidade

left-side-bubbles-backgroundright-side-bubbles-background

Crie sua conta grátis para liberar esse material. 🤩

Já tem uma conta?

Ao continuar, você aceita os Termos de Uso e Política de Privacidade

left-side-bubbles-backgroundright-side-bubbles-background

Crie sua conta grátis para liberar esse material. 🤩

Já tem uma conta?

Ao continuar, você aceita os Termos de Uso e Política de Privacidade

left-side-bubbles-backgroundright-side-bubbles-background

Crie sua conta grátis para liberar esse material. 🤩

Já tem uma conta?

Ao continuar, você aceita os Termos de Uso e Política de Privacidade

left-side-bubbles-backgroundright-side-bubbles-background

Crie sua conta grátis para liberar esse material. 🤩

Já tem uma conta?

Ao continuar, você aceita os Termos de Uso e Política de Privacidade

Questões resolvidas

Assinale o fenômeno que apresenta velocidade média maior.
(a) A combustão de um palito de fósforo.
(b) A transformação de rochas em solos.
(c) A corrosão de um automóvel.
(d) O crescimento de um ser humano.
(e) A formação do petróleo a partir de seres vivos.

Óxidos de nitrogênio, NOx, são substâncias de interesse ambiental, pois são responsáveis pela destruição de ozônio na atmosfera, e, portanto, suas reações são amplamente estudadas. Num dado experimento, em um recipiente fechado, a concentração de NO2 em função do tempo apresentou o seguinte comportamento:
O papel do NO2 neste sistema reacional é:
a) reagente.
b) intermediário.
c) produto.
d) catalisador.
e) inerte

A água que forma os oceanos gotejou das nuvens, depois que a temperatura elevada no interior da jovem Terra retirou átomos de oxigênio e hidrogênio de rochas constituídas de compostos, como a mica. As moléculas então formadas foram levadas à superfície em rios de lava, depois foram liberadas como vapor d'água, formando grandes nuvens. Desse modo, nossos oceanos já foram um dia nossas rochas. Sendo dados, abaixo, a reação de formação da água e o gráfico representativo do caminho da reação, assinale a alternativa correta.
Assinale a alternativa correta.
(a) A reação de formação da água é endotérmica.
(b) A adição de um catalisador aumenta a velocidade de formação da água, pois diminui a entalpia de reação.
(c) Quanto maior a frequência de colisões efetivas entre as moléculas de H2 e O2 maior a velocidade da reação.
(d) A velocidade de decomposição de H2(g) é metade da velocidade de decomposição de O2(g).
(e) A velocidade de decomposição de O2(g) é o dobro da velocidade de formação de H2O(g).

Observa-se que a velocidade de reação é maior quando um comprimido efervescente, usado no combate à azia, é colocado:
a) inteiro, em água que está à temperatura de 6°C.
b) pulverizado, em água que está à temperatura de 45°C.
c) inteiro, em água que está à temperatura de 45°C.
d) pulverizado, em água que está à temperatura de 6°C.
e) inteiro, em água que está à temperatura de 25°C.

Industrialmente, a produção de amônia é feita pelo processo Haber, cuja reação química é representado pela equação global: N2(g) + 3 H2(g) → 2 NH3(g)
Sobre essa reação, assinale a alternativa correta.
(a) A velocidade de decomposição de N2 é igual à velocidade de decomposição de H2.
(b) A velocidade de formação de NH3 é duas vezes a velocidade de decomposição de H2.
(c) A velocidade de formação de NH3 é duas vezes a velocidade de decomposição de N2.
(d) A velocidade de decomposição de N2 é igual à velocidade de formação de produto.

A hidrazina (N2H4) é líquida e recentemente chamou a atenção como possível combustível para foguetes. Uma reação típica da hidrazina é: N2H4 + 2 I2 → 4 HI + N2. Supondo as velocidades, em módulo, expressas em mol/L:
Podemos afirmar que:
(a) V1 = V2 = V3 = V4.
(b) V1 = V2/2 = V3/4 = V4.
(c) V1 = 2V2 = 4V3 = V4.
(d) V1 = V2/4 = V3/4 = V4/2.
(e) V1 = 4V2 = 4V3 = 2V4.

A velocidade de formação de oxigênio na reação 2 O3(g) → 3 O2(g) é 2,5 x 10-3 mol.L-1.s-1. Qual é a velocidade de decomposição do ozônio?
(a) 2,5 x 10-3 mol / L s
(b) 1,7 x 10-3 mol / L s
(c) 0,8 x 10-3 mol / L s
(d) 5,0 x 10-3 mol / L s

Observe os dados sobre a seguinte reação: 2 ICl(g) + H2(g) → I2(g) + 2 HCl. Experimento [ICl]o (mmol/L) [H2]o (mmol/L) Vo (mol/ L s)
A lei de velocidade dessa reação é dada por: V= K [ICl]m[H2]n. O valor dos coeficientes m e n, referentes ao ICl e H2, respectivamente, são:
(a) 1 e 1
(b) 1 e 2
(c) 2 e 1
(d) 2 e 2

Prévia do material em texto

Apoio Pedagógico em Química 
Lista de Cinética Química – Lista 06C 
1/5 
 
Exercícios de Cinética Química – Fácil a Médio 
1. Assinale o fenômeno que apresenta velocidade média maior. 
(a) A combustão de um palito de fósforo. 
(b) A transformação de rochas em solos. 
(c) A corrosão de um automóvel. 
(d) O crescimento de um ser humano. 
(e) A formação do petróleo a partir de seres vivos. 
 
2. Óxidos de nitrogênio, NOx, são substâncias de interesse ambiental, pois são 
responsáveis pela destruição de ozônio na atmosfera, e, portanto, suas reações são 
amplamente estudadas. Num dado experimento, em um recipiente fechado, a 
concentração de NO2 em função do tempo apresentou o seguinte comportamento: 
 
O papel do NO2 neste sistema reacional é: 
(a) inerte 
(b) intermediário 
(c) produto 
(d) catalisador 
(e) reagente 
 
3. Das proposições abaixo, relacionadas com cinética química, a única falsa é: 
(a) A velocidade de uma reação pode ser medida pelo consumo dos reagentes na 
unidade do tempo. 
(b) A colisão entre as partículas químicas é necessária para que haja reação. 
 
Apoio Pedagógico em Química 
Lista de Cinética Química – Lista 06C 
2/5 
 
(c) Temperatura e catalisadores são fatores que influenciam na velocidade da 
reação. 
(d) A concentração dos reagentes afeta a velocidade da reação. 
(e) A natureza dos reagentes não exerce influência na velocidade da reação. 
 
4. A água que forma os oceanos gotejou das nuvens, depois que a temperatura elevada 
no interior da jovem Terra retirou átomos de oxigênio e hidrogênio de rochas 
constituídas de compostos, como a mica. As moléculas então formadas foram 
levadas à superfície em rios de lava, depois foram liberadas como vapor d'água, 
formando grandes nuvens. Desse modo, nossos oceanos já foram um dia nossas 
rochas. Sendo dados, abaixo, a reação de formação da água e o gráfico 
representativo do caminho da reação, assinale a alternativa correta. 
 
(a) A reação de formação da água é endotérmica. 
(b) A adição de um catalisador aumenta a velocidade de formação da água, pois 
diminui a entalpia de reação. 
(c) Quanto maior a frequência de colisões efetivas entre as moléculas de H2 e O2 
maior a velocidade da reação. 
(d) A velocidade de decomposição de H2(g) é metade da velocidade de decomposição 
de O2(g). 
(e) A velocidade de decomposição de O2(g) é o dobro da velocidade de formação de 
H2O(g) 
 
Apoio Pedagógico em Química 
Lista de Cinética Química – Lista 06C 
3/5 
 
5. Observa-se que a velocidade de reação é maior quando um comprimido 
efervescente, usado no combate à azia, é colocado: 
(a) inteiro, em água que está à temperatura de 6°C. 
(b) pulverizado, em água que está à temperatura de 45°C. 
(c) inteiro, em água que está à temperatura de 45°C. 
(d) pulverizado, em água que está à temperatura de 6°C. 
(e) inteiro, em água que está à temperatura de 25°C. 
 
6. Industrialmente, a produção de amônia é feita pelo processo Haber, cuja reação 
química é representado pela equação global: 
N2(g)  3 H2(g)  2 NH3(g) 
Sobre essa reação, assinale a alternativa correta. 
(a) A velocidade de decomposição de N2 é igual à velocidade de decomposição de 
H2. 
(b) A velocidade de formação de NH3 é duas vezes a velocidade de decomposição de 
H2. 
(c) A velocidade de formação de NH3 é duas vezes a velocidade de decomposição de 
N2. 
(d) A velocidade de decomposição de N2 é igual à velocidade de formação de 
produto. 
 
7. A hidrazina (N2H4) é líquida e recentemente chamou a atenção como possível 
combustível para foguetes. Uma reação típica da hidrazina é: 
N2H4  2 I2  4 HI  N2 
Supondo as velocidades, em módulo, expressas em mol/L: 
V1 = velocidade de consumo de N2H4 
V2 = velocidade de consumo de I2 
V3 = velocidade de formação de HI 
V4 = velocidade de formação de N2 
Podemos afirmar que: 
 
Apoio Pedagógico em Química 
Lista de Cinética Química – Lista 06C 
4/5 
 
(a) V1 = V2 = V3 = V4. 
(b) V1 = V2/2 = V3/4 = V4. 
(c) V1 = 2V2 = 4V3 = V4. 
(d) V1 = V2/4 = V3/4 = V4/2. 
(e) V1 = 4V2 = 4V3 = 2V4. 
 
8. A seguir estão representadas as etapas da reação: 
 
A velocidade da reação é determinada pela etapa: 
(a) I 
(b) II 
(c) III 
(d) IV 
(e) V 
 
9. A velocidade de formação de oxigênio na reação 2 O3(g)  3 O2(g) é 2,5 x 10-3 
mol.L-1.s-1. Qual é a velocidade de decomposição do ozônio? 
(a) 2,5 x 10-3 mol / L s 
(b) 1,7 x 10-3 mol / L s 
(c) 0,8 x 10-3 mol / L s 
(d) 5,0 x 10-3 mol / L s 
 
 
Apoio Pedagógico em Química 
Lista de Cinética Química – Lista 06C 
5/5 
 
10. Observe os dados sobre a seguinte reação: 
2 ICl(g)  H2(g)  I2(g)  2 HCl 
Experimento [ICl]o (mmol/L) [H2]o (mmol/L) Vo (mol/ L s) 
1 1,5 1,5 3,7 x 10-7 
2 3,0 1,5 7,4 x 10-7 
3 3,0 4,5 22 x 10-7 
4 4,7 2,7 V 
A lei de velocidade dessa reação é dada por: V= K [ICl]m[H2]n. 
O valor dos coeficientes m e n, referentes ao ICl e H2, respectivamente, são: 
(a) 1 e 1 
(b) 1 e 2 
(c) 2 e 1 
(d) 2 e 2 
 
11. O valor da constante de velocidade do experimento da questão 10, em L.s-1.mol-1, 
corresponde a: 
(a) 1,64  10-7 
(b) 0,164 
(c) 3,30  10-7 
(d) 0,330 
 
12. Com base nos dados fornecidos no exercício 10, a velocidade V, em mol. L-1.s-1, do 
experimento 4 é dada por: 
(a) 2,09  10-6 
(b) 3,7  10-7 
(c) 4,18  10-6 
(d) Não é possível determinar esse valor com os dados fornecidos.

Mais conteúdos dessa disciplina