Logo Passei Direto
Buscar

Funções Trigonométricas

Ferramentas de estudo

Material
páginas com resultados encontrados.
páginas com resultados encontrados.

Prévia do material em texto

Objetos de Aprendizagem Funções Trigonométricas————————————————————————————————————————
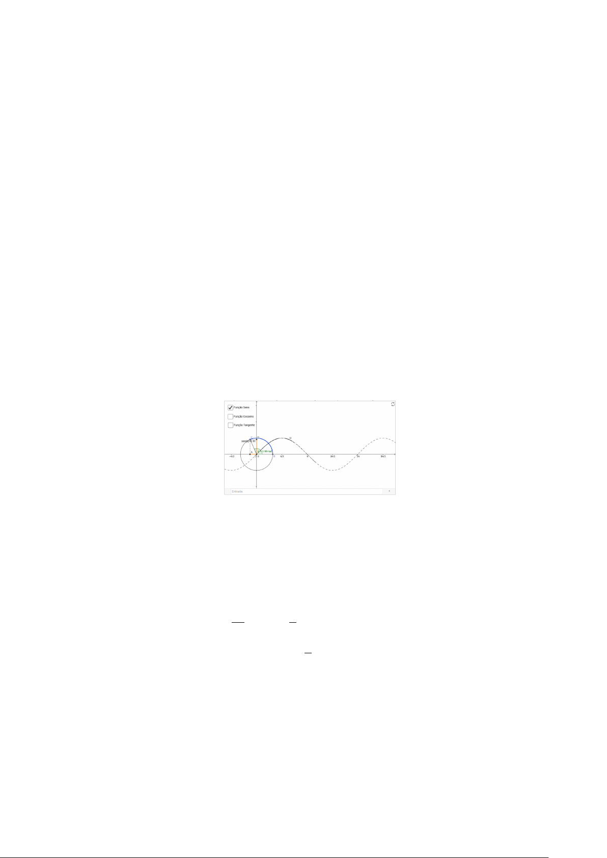
Funções Trigonométricas: gráficos
————————————————————————————————————————
Objetivos.
Apresentar a representação gráfica das funções trigonométricas reais: seno, cosseno e tangente e
estudar o comportamento dessas funções, a partir da manipulação de um ambiente dinâmico.
Descrição Geral.
Esta atividade foi elaborada para ser aplicada na sala de aula (ou laboratório de informática) sob a
orientação do professor, com a duração de uma aula de 50 minutos, podendo ser usada tanto para
apresentar o assunto como para consolidá-lo.
Sugestões de procedimentos ou questionamentos.
Apresentar o ambiente computacional, com a atividade, aos alunos.
Solicitar aos alunos que, usando o mouse, alterem a posição do ponto sobre o circulo trigonométrico
e com isso o gráfico da função vai sendo gerado e que respondam aos questionamentos (Ver caderno
de questões), entre eles:
◦ Qual é o conjunto domínio da função seno? E da função cosseno? E da função tangente?
◦ Observando o gráfico, determine o valor da função seno para alguns valores x de seu domínio,
por exemplo: sen(0); sen(
3π
2
) e sen(−π
2
).
◦ Fixando um valor para x, por exemplo, x=
π
2
, qual o valor de: sen(x); sen(x+2π); sen(x+4π);
cos(x); cos(x+2π) e cos(x+4π).
◦ “Seja f uma função real, se f (x) = f (x+p) dizemos que a função f é periódica com período
p”. Qual o período das funções seno e cosseno?

Mais conteúdos dessa disciplina