Logo Passei Direto
Buscar
Material
páginas com resultados encontrados.
páginas com resultados encontrados.

Prévia do material em texto

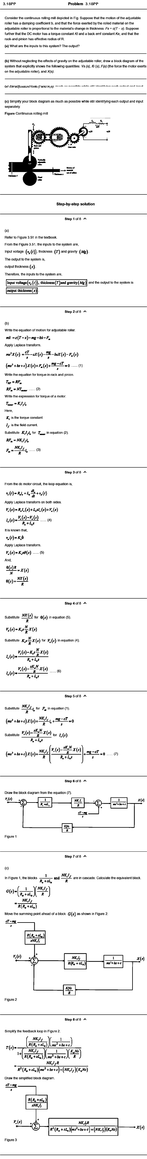
Problem 3.18PP
Consider the continuous rolling mill depicted in Fig. Suppose that the motion of the adjustable 
roller has a damping coefficient b, and that the force exerted by the rolled material on the 
adjustable roller is proportional to the material’s change in thickness: Fs = c (T - x). Suppose 
further that the DC motor has a torque constant Kt and a back emf constant Ke, and that the 
rack-and-pinion has effective radius of R.
(a) What are the inputs to this system? The output?
(b) Without neglecting the effects of gravity on the adjustable roller, draw a block diagram of the 
system that explicitly shows the following quantities: Vs (s). 10 {s ,̂ F(s) (the force the motor exerts 
on the adjustable roller), and X(s).
(c) Simplify your block diagram as much as possible while still identifying each output and input 
separately.
Figure Continuous rolling mill
Step-by-step solution
step 1 of 8
(a)
Refer to Figure 3.51 in the textbook.
From the Figure 3.51, the inputs to the system are.
Input voltage thickness and gravity {M gY
The output to the system is. 
output thickness ^x) •
Therefore, the inputs to the system are.
Input voltage(v, (/)), thickness(r)and gravity(Â ) and the output to the system is
[ouq)ut thickness(x)] ■
Step 2 of 8
(b)
Write the equation of motion for adjustable roller.
na = c {T -x ) -m g -b x -F ^
Apply Laplace transform.
(m$’ + & y + c ) j i r ( s ) + ^ ( s ) + ^ ^ —^ - 0 (1)
Write the equation for torque in rack and pinion.
T ^ = K F .
.........(2)
Write the expression for torque of a motor.
Here,
K, Is the torque constant.
I f is the field current.
Substitute for in equation (2).
N K .If (3)
Step 3 of 8
From the dc motor circuit, the loop equation is. 
Apply Laplace transform on both sides.
(̂ >
It is known that,
v, ( O = a:.0
Apply Laplace transform. 
V ^ { s ) ^ K ^ { s ) (5)
And.
e { s ) R
j r ( i )
e W
NX{s)
Substitute fbr
Step 4 of 8
e W In equation (5).
for in equation (4).
-------------------------------R , * L j s
...
I . {s )~ * ------— 
R .+ L .S
Step 5 of 8
Mir j
Substitute * I j for ^ in equation (1).
( m j * + f o + c ) A ' ( s ) + - ^ ^ ^ ^ i . ^ = 0
sK^N ,
Substitute for
/ * \ / X N K , I f(ms +fo+c)jr(s)+—
R . * L j s
m g-cT (7)
Step 6 of 8
Draw the block diagram from the equation (7).
Figure 1
Step 7 of 8
(c)
1 N K ,I f
In Figure 1, the blocks ------------and---------— are in cascade. Calculate the equivalent block.
*
N K ,If
Move the summing point ahead of a block G(s) as shown In Figure 2.
Figure 2
Step 8 of 8
Simplify the feedback loop in Figure 2.
r(j).
f ] ( __ _̂_ ]
Jv iny^+A y+C /
1 +
( m , l , Y 1 YA T.y.> |
m , i f R
R^ + +As+c)+(Affl:,//)(A:,iVs)
Draw the simplified block diagram.
-

Mais conteúdos dessa disciplina