Logo Passei Direto
Buscar
Material
páginas com resultados encontrados.
páginas com resultados encontrados.

Prévia do material em texto

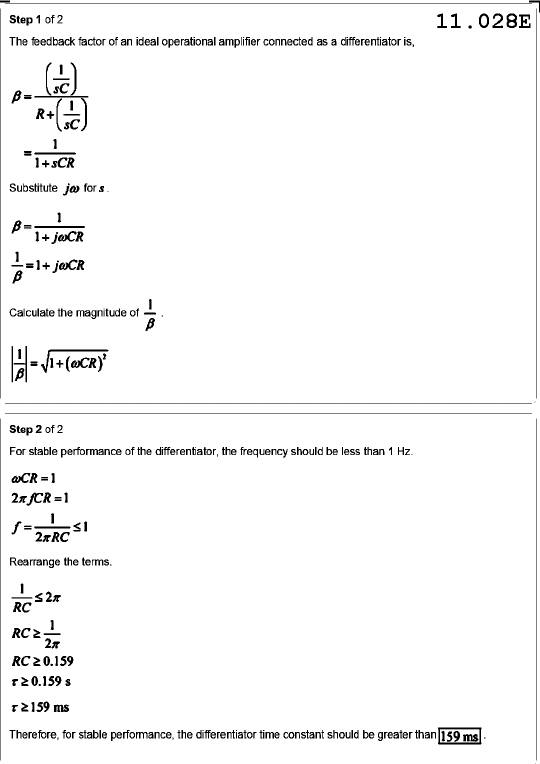
Step 1 of 2 11.028E The feedback factor of an ideal operational amplifier connected as a differentiator is, Substitute for Calculate the magnitude of 1/B Step 2 of 2 For stable performance of the differentiator, the frequency should be less than 1 Hz. 2πfCR=1 Rearrange the terms. ms Therefore, for stable performance, the differentiator time constant should be greater than 159 ms

Mais conteúdos dessa disciplina