Logo Passei Direto
Buscar
Material
páginas com resultados encontrados.
páginas com resultados encontrados.

Prévia do material em texto

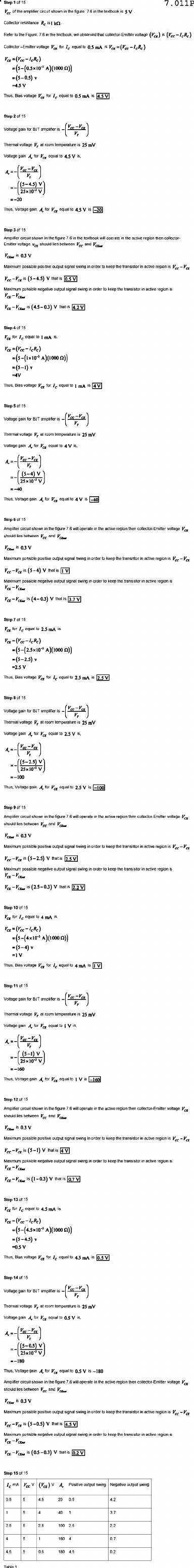
Step 7.011P Collector resistance Refer Collector for =4.5 V Thus Step 2 of 15 25 mV =-20 Thus Voltage operate active collector Maximum keep the transistor =4V for 25 mV gain Thus operate the collector voltage sign keep transisto that Maximum der Step 7 of 15 =2.5 V equal to Thermal voltage V, 25 mV Voltage gain equal to Step 9 of 15 the active collector keep th transistor Maximum negative the transistor in active Step 10 of 15 Step 11 of 15 Thermal 25 mV =-160 Thus, Voltage Step 12 of 15 shown in operate the then collector Emitte voltage between orde keep region Maximum the Step 13 of 15 Thus 0.5 V Step Thermal voltage 25 mV Voltage gain Thus operate the collector voltage Maximum the ansistor region is 0.2 V Step 15 of 15 swing Negative swing 0.5 5 4.5 20 0.5 4.2 - 5 4 40 100 4 5 1 160 0.7 4.5 5 0.2 Table 1

Mais conteúdos dessa disciplina