Logo Passei Direto
Buscar

Ferramentas de estudo

Material
páginas com resultados encontrados.
páginas com resultados encontrados.
left-side-bubbles-backgroundright-side-bubbles-background

Crie sua conta grátis para liberar esse material. 🤩

Já tem uma conta?

Ao continuar, você aceita os Termos de Uso e Política de Privacidade

Prévia do material em texto

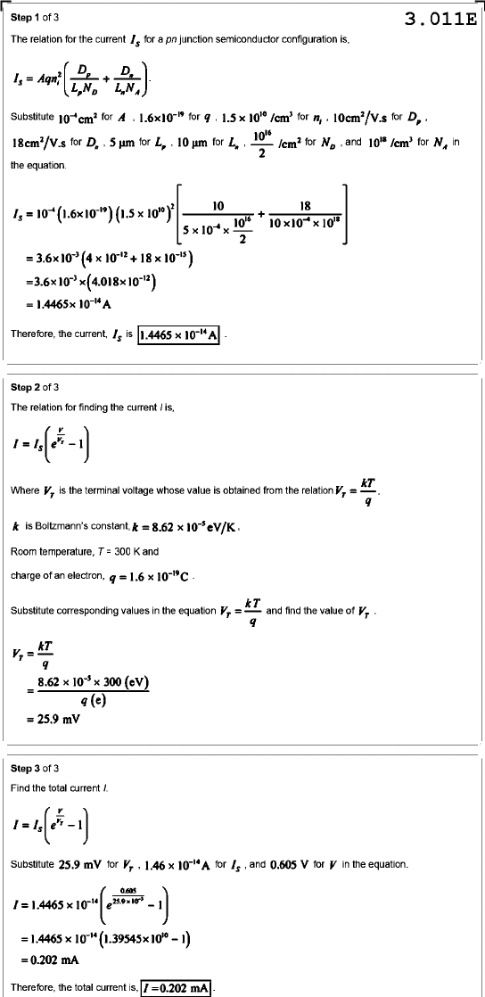
Step 1 of 3 3.011E The relation for the current for a pn junction semiconductor configuration is, Substitute for A 1.6x10⁻¹⁹ for 1.5 for n, , for D, for 1 5 µm for L, , 10 µm for L, 2 for and for N, in the equation. = Therefore, the current, is Step 2 of 3 The relation for finding the current / is, I Where is the terminal voltage whose value is obtained from the relation k is Boltzmann's constant, k = 8.62 Room temperature, T = 300 K and charge of an electron, q = 1.6 Substitute corresponding values in the equation and find the value of = = mV Step 3 of 3 Find the total current I = Substitute 25.9 mV for , 1.46 10⁻¹⁴ A for and 0.605 V for V in the equation. I = 1.4465 10⁻¹⁴ = = 0.202 mA Therefore, the total current is, =0.202

Mais conteúdos dessa disciplina