Logo Passei Direto
Buscar
Material
páginas com resultados encontrados.
páginas com resultados encontrados.

Prévia do material em texto

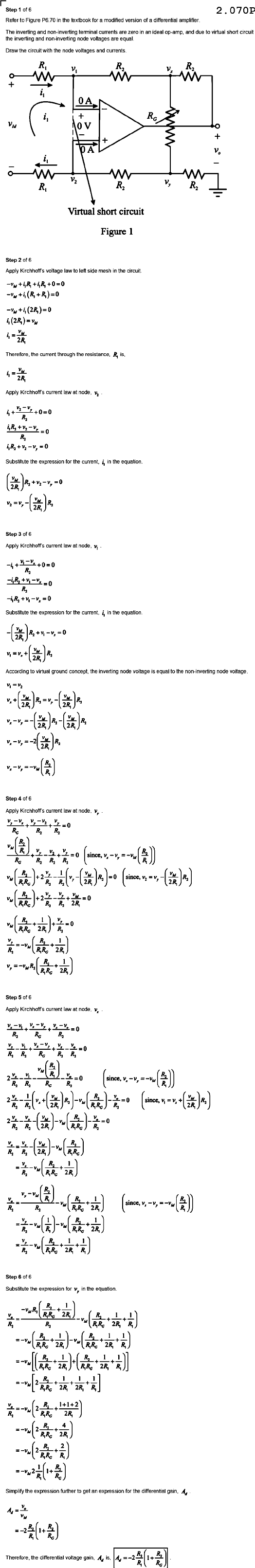
Step 1 of 6 2.070P Refer Figure P6 70 the textbook for modified version differential amplifier The inverting and non inverting terminal currents are zero an ideal and due to virtual short circuit the inverting and non node voltages are equal Draw the circuit with the node voltages and currents R, R, + i, 0A i, + RG 0 V + + i, - - R2 v, R2 Virtual short circuit Figure 1 Step Apply voltage law to left side mesh in the circuit 4 2R, the current through the 4 2R Apply current law R2 Substitute the expression for the current, 4 the equation VM 2R, V2 R2 2R, Step 3 of 6 Apply Kirchhoff's current law at node, R2 Substitute the expression for the 4 equation R, 2R, According to virtual ground concept, the inverting node voltage equal the non inverting node voltage 2R, 2R R2 2R, VM R2 2R, R2 Step Apply Kirchhoff's current law R2 R2 since, R2 R2 R2 R2 VM R2 =0 since, R2 R2 VM R2 R2 2R, 2R, R2 R2 2R, R, 2R, Step Apply current law R2 R2 R2 R2 R2 R2 since, R2 R. 2 R2 since, R, R2 2R, 2R, R2 2R, R2 R2 R2 2R, - R2 2R, R2 v, R2 since, R2 R2 2R, - R, R2 2R, R2 R2 2R, Step Substitute the expression for the 2R, R2 R2 R2 2R, R, R2 = 2R, 2R, 2R, 2R, R, 2R, 2R, R2 R2 2R, R2 2R, R2 R, Simplify the expression further get expression for the differential gain, R2 Therefore the differential voltage gain,

Mais conteúdos dessa disciplina