Logo Passei Direto
Buscar

Ferramentas de estudo

Material
páginas com resultados encontrados.
páginas com resultados encontrados.

Prévia do material em texto

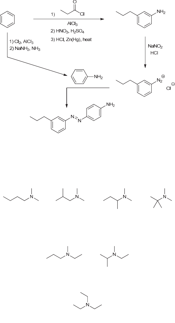
CHAPTER 22 947 
 
followed by conditions that will reduce both the carbonyl group and the nitro group, giving meta-propylaniline. 
Treatment with sodium nitrite and HCl gives a diazonium ion, which is then treated with aniline (in an azo compling 
process) to give the desired azo dye. 
 
 
 
22.69. The molecular formula (C6H15N) indicates no degrees of unsaturation (see Section 14.16), so all of the isomers 
must be saturated, acyclic amines. The IR data indicates that we are looking for structures that lack an N-H bond (i.e., 
tertiary amines). Let’s first consider all tertiary amines in which the nitrogen atom is connected to two methyl groups. 
Since there must be a total of six carbon atoms in each structure (and the two methyl groups only account for two 
carbon atoms), we must consider all of the different ways in which the remaining four carbon atoms can be connected. 
There are four ways, shown here (butyl, isobutyl, sec-butyl, and tert-butyl): 
 
 
 
Now let’s consider all isomers in which the nitrogen atom is connected to one methyl group and one ethyl group. Since 
there must be a total of six carbon atoms in each structure (while one methyl group and one ethyl group only account 
for three carbon atoms), we must consider all of the different ways in which the remaining three carbon atoms can be 
connected. There are only two ways, shown here (propyl and isopropyl): 
 
 
 
And finally, there is only one isomer in which the nitrogen atom has two ethyl groups. In this structure, the third group 
is also an ethyl group, giving triethylamine: 
 
 
 
In total, we have seen seven different tertiary amines with the molecular formula C6H15N. 
 
 
22.70. The compound has two nitrogen atoms. One of the nitrogen atoms (adjacent to the aromatic ring) exhibits a 
delocalized lone pair, while the other nitrogen atom (of the NH2 group) exhibits a localized lone pair. The localized 
www.MyEbookNiche.eCrater.com

Mais conteúdos dessa disciplina