Logo Passei Direto
Buscar
Material
páginas com resultados encontrados.
páginas com resultados encontrados.

Prévia do material em texto

CHAPTER 23 973 
 
iodide must have an E configuration, because that C=C 
unit has the E configuration in the product: 
 
+
(E)
(E)
I
I
 
 
One of these organohalides must be converted into a 
Gilman reagent and then treated with the other 
organohalide. This leads to two possible synthetic 
routes, both of which are viable: 
 
 
 
 
 
 
 
(b) First determine which bond (in the product) will be 
made via a coupling process. The problem statement 
dictates that each organohalide must have no more than 6 
carbon atoms. Since the product has twelve carbon 
atoms, that leaves us with only one choice, indicated 
below with a wavy line: 
 
 
 
Next, draw the two organohalides that are necessary for 
the coupling process. In this case, we need cyclohexyl 
iodide and iodobenzene, as shown: 
 
 
 
One of these organohalides must be converted into a 
Gilman reagent and then treated with the other 
organohalide. This leads to two possible synthetic 
routes, both of which are viable: 
 
 
 
 
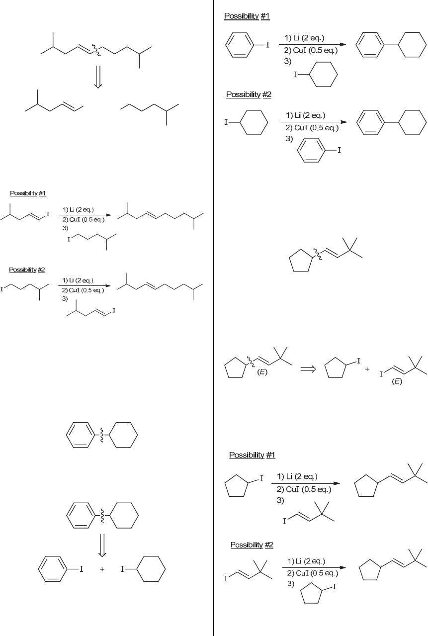
(c) First determine which bond (in the product) will be 
made via a coupling process. The problem statement 
dictates that each organohalide must have no more than 6 
carbon atoms, so we select the following bond (six 
carbon atoms on one side and five on the other): 
 
 
 
Next, draw the two organohalides that are necessary for 
the coupling process. In this case, we need cyclopentyl 
iodide and a vinyl iodide. Note that the vinyl iodide 
must have an E configuration, because that C=C unit has 
the E configuration in the product: 
 
 
One of these organohalides must be converted into a 
Gilman reagent and then treated with the other 
organohalide. This leads to two possible synthetic 
routes, both of which are viable: 
 
 
 
23.9. 
(a) First determine which bond (in the product) will be 
made via a coupling process. The problem statement 
www.MyEbookNiche.eCrater.com

Mais conteúdos dessa disciplina