Logo Passei Direto
Buscar
Material
páginas com resultados encontrados.
páginas com resultados encontrados.

Prévia do material em texto

CHAPTER 19 739 
 
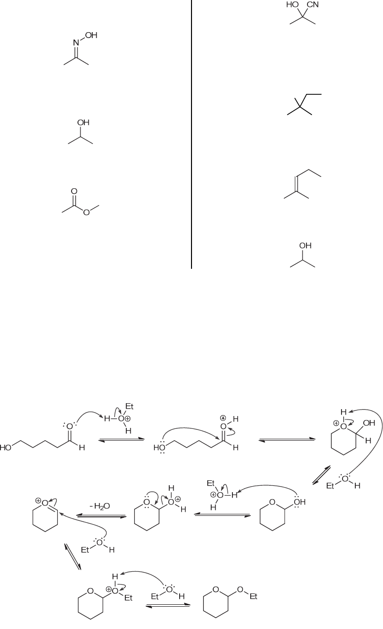
(f) A ketone is converted into an oxime upon treatment 
with hydroxylamine in acid catalyzed conditions (with 
removal of water). 
 
 
(g) A ketone is reduced to a secondary alcohol upon 
treatment with a reducing agent such as NaBH4 
(methanol serves as a proton source during the reaction). 
 
 
 
(h) A ketone is converted into an ester upon treatment 
with a peroxyacid. This process is called a Baeyer-
Villiger oxidation. 
 
 
(i) A ketone is converted into a cyanohydrin upon 
treatment with HCN and KCN. 
 
 
 
(j) Ethyl magnesium bromide is a Grignard reagent (a 
very strong nucleophile) and it will attack a ketone to 
give a tertiary alcohol (with installation of the ethyl 
group at theposition to the OH group): 
 
HO
 
 
(k) A ketone is converted into an alkene when treated 
with a Wittig reagent. This particular Wittig reagent 
installs three carbon atoms, to give the following 
product: 
 
 
(l) A ketone is reduced to a secondary alcohol upon 
treatment with LiAlH4 followed by water work-up. 
 
 
 
19.55. Under acid-catalyzed conditions, the carbonyl group can be protonated, rendering it more electrophilic, and 
subject to attack by a nucleophile. There are two options for the attacking nucleophile in the second step of the 
mechanism: 1) the protonated carbonyl group is tethered to an OH group that can function as a nucleophile and attack 
the protonated carbonyl group in an intramolecular fashion, or 2) the reagent (ethanol) can serve as a nucleophile and 
attack the protonated carbonyl group. Indeed, both of these processes will occur, as the product is an acetal. But we 
must decide which one is likely to occur first. As a general rule, intramolecular reactions will occur more rapidly than 
intermolecular reactions. As such, the second step of the mechanism will show the OH group attacking the protonated 
carbonyl group in an intramolecular fashion to give an oxonium ion, which then loses a proton to give a hemiacetal (the 
base for this step is likely a molecule of ethanol). Protonation of the hemiacetal gives a good leaving group (water) 
which leaves to give a resonance-stabilized cation that is attacked by ethanol. The resulting oxonium ion is then 
deprotonated to afford the product. 
 
 
 
www.MyEbookNiche.eCrater.com

Mais conteúdos dessa disciplina