Logo Passei Direto
Buscar

Ferramentas de estudo

Material
páginas com resultados encontrados.
páginas com resultados encontrados.

Prévia do material em texto

CHAPTER 15 553 
 
 
 
This structure is consistent with the carbon NMR 
spectrum, in which there are only four signals, all of 
which are aromatic: 
 
 
15.70. 
(a) The height of the (M+1)+• peak indicates that the 
compound has four carbon atoms (1.1% for each carbon 
atom). Since the parent ion appears at m/z = 104, we 
know that nearly half of the molecular weight is due to 
carbon atoms (12 x 4 = 48). The rest of the molecular 
weight (104 – 48 = 56) must be attributed to oxygen 
atoms and hydrogen atoms. There is a limit to how 
many hydrogen atoms there can be, since there are only 
four carbon atoms. Even if the compound is fully 
saturated, it could not have more than 10 protons (2n+2, 
where n is the number of carbon atoms). Oxygen has an 
atomic weight of approximately 16. Therefore, the 
compound must contain at least three oxygen atoms 
(otherwise we could not account for the rest of the 
compound using hydrogen atoms alone). But the 
compound cannot contain more than three oxygen atoms, 
because four oxygen atoms have a combined atomic 
weight of 64, which already blows our budget, even 
before we place any hydrogen atoms (remember that our 
budget for O and H atoms is a total mass of 56). So, we 
conclude that the compound must have exactly three 
oxygen atoms. The remaining weight is accounted for 
with hydrogen atoms, giving the following molecular 
formula: C4H8O3. 
 
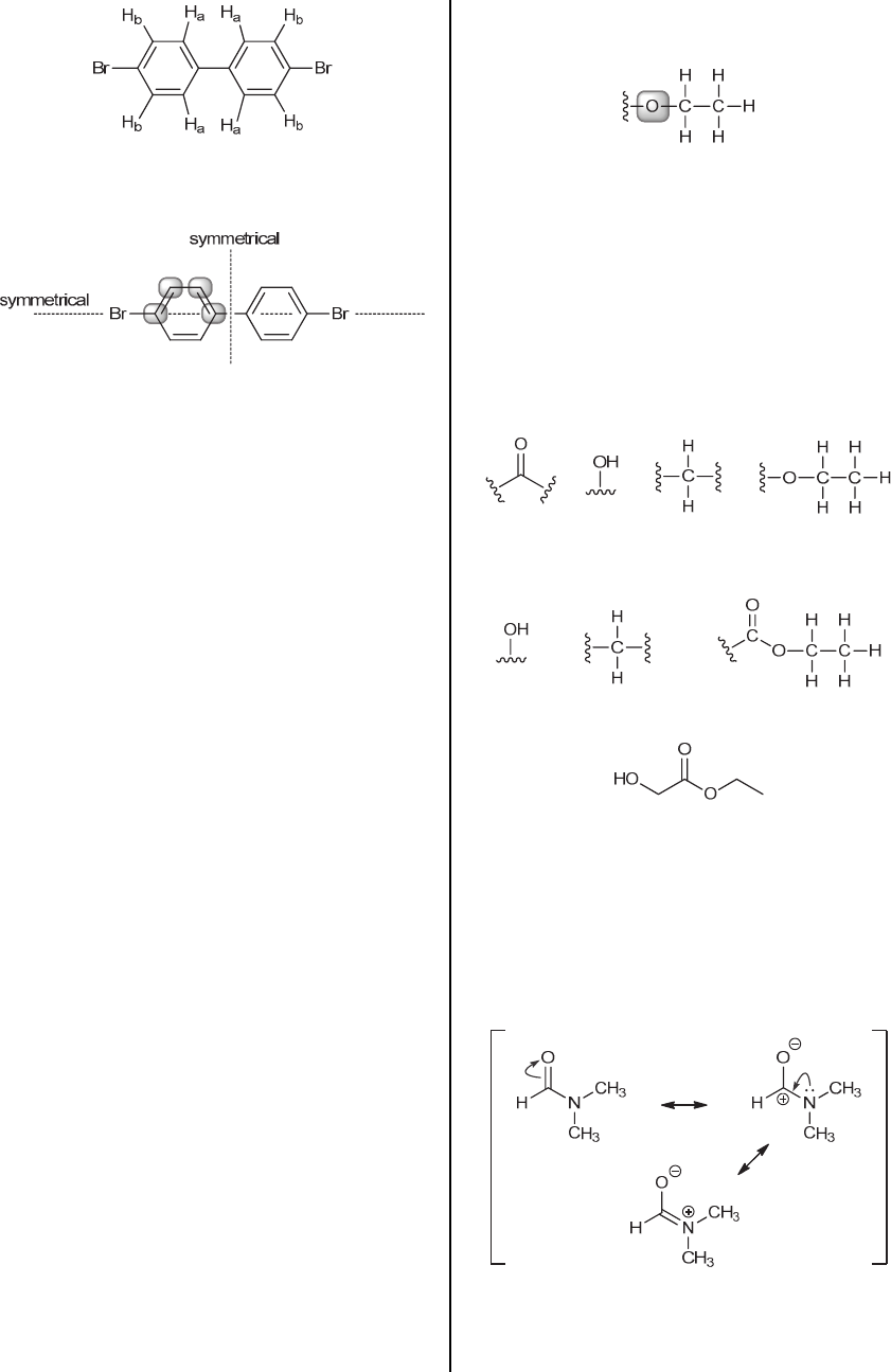
(b) The molecular formula (C4H8O3) indicates that the 
compound has one degree of unsaturation, so the 
structure must either have a ring or a double bond. 
In the IR spectrum, the broad signal between 3200 and 
3600 cm-1 is characteristic of an O-H bond, and the 
signal at 1742 cm-1 is likely a C=O group of an ester. 
In the proton NMR spectrum, there are four signals. By 
comparing the heights of the S-curves, we can see that 
the relative integration values are 2:2:1:3. With a total of 
eight protons (as seen in the molecular formula), these 
relative integration values correspond precisely to the 
number of protons giving rise to each peak. The signal 
just above 1 ppm corresponds to three protons, and is 
therefore a methyl group. Since this signal is a triplet, it 
must be next to a methylene (CH2) group. The signal for 
that methylene group appears as a quartet, just as 
expected (since it is next to the methyl group) above 4 
ppm. The location of this signal indicates that the 
methylene group is likely next to an oxygen atom (since 
it is shifted downfield). So far, we have the following 
fragment: 
 
 
Now let’s explore the remaining two signals in the 
proton NMR spectrum. The signal at approximately 3.6 
ppm (with an integration of 1) vanishes in D2O, 
indicating that it is the proton of the OH group 
(confirming our analysis of the IR spectrum). The 
singlet just above 4 ppm has an integration of 2, and 
therefore corresponds with an isolated methylene group 
(no neighbors). This methylene group is shifted 
significantly downfield, and our structure will have to 
take this into account. 
In summary, we have the following fragments, which 
must be assembled. 
 
 
 
Since the C=O bond is likely part of an ester (based on 
the IR spectrum), we can redraw the following three 
fragments: 
 
 
These fragments can only be assembled in one way: 
 
 
 
This structure is consistent with the carbon NMR 
spectrum, in which there is one signal for the C=O unit, 
two signals between 50 and 100 ppm (both of which 
must be methylene groups, based on the DEPT 
spectrum), and one signal between 0 and 50 ppm 
(representing the methyl group). 
 
15.71. N,N-dimethylformamide (DMF) has three 
resonance structures: 
 
 
 
Consider the third resonance structure, in which the C-N 
bond is a double bond. This indicates that this bond is 
expected to have some double bond character. As such, 
there is an energy barrier associated with rotation about 
www.MyEbookNiche.eCrater.com

Mais conteúdos dessa disciplina