Logo Passei Direto
Buscar
Material
páginas com resultados encontrados.
páginas com resultados encontrados.

Prévia do material em texto

638 CHAPTER 18 
 
Nucleophilic Aromatic Substitution 
 
 
 
Elimination-Addition 
 
 
 
 
 
 
Common Mistakes to Avoid 
 
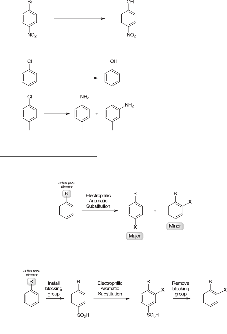
For most ortho-para directors, we can rely on steric effects that will favor substitution at the para position 
rather than the ortho position: 
 
 
 
The major product results from para attack, and the minor product results from ortho attack. If we want to 
achieve substitution at the ortho position, then we must employ a blocking group: 
 
 
 
With this technique, we use the para-directing effects of the substituent to block (temporarily) the para 
position. This allows us to perform the desired reaction at the ortho position, followed by removal of the 
blocking group. 
 
www.MyEbookNiche.eCrater.com

Mais conteúdos dessa disciplina