Logo Passei Direto
Buscar

Ferramentas de estudo

Material
left-side-bubbles-backgroundright-side-bubbles-background

Crie sua conta grátis para liberar esse material. 🤩

Já tem uma conta?

Ao continuar, você aceita os Termos de Uso e Política de Privacidade

Prévia do material em texto

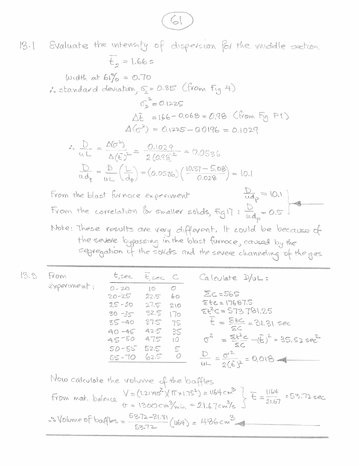
61 13.1 Evaluate the intensity of dispersion for the middle section = 1.66s at 61% = 0.70 standard = 0.35 (from Fig 4) = 0.1225 DE = = 0.98 (from Fig P1) = 0,1225- 0.0196 0.1029 uL D = = 0.1029 = 0.0536 udp D = UL D dp = (0,0536) ( 0.028 = 10.1 From the blast furnace experiment D udp 10.1 From the correlation for smaller solids, D udp = 0.5 Note: These results are very different. It could be because of the severe bypassing in the blast furnace, caused by the segregation of the solids and the severe channeling of the gas 13.3 t,see E,sec C Calculate 0-20 10 0 20-25 22.5 60 EC=565 EC = 565 25-30 27.5 210 Etc = 30-35 32.5 170 35-40 37.5 75 E = Etc = 31.31 sec 42.5 EC 40-45 35 45-50 475 10 σ² = = EC 50-55 52.5 5 55-70 62.5 D = 02 = 0.018 Now calculate the volume of the baffles From balance V = IT = 1164cm3 E = 21.67 1164 =53.72sec = = Volume of = 53.72-31.31 53.72 (1164) = 486cm3

Mais conteúdos dessa disciplina