Logo Passei Direto
Buscar
Material
páginas com resultados encontrados.
páginas com resultados encontrados.
left-side-bubbles-backgroundright-side-bubbles-background

Crie sua conta grátis para liberar esse material. 🤩

Já tem uma conta?

Ao continuar, você aceita os Termos de Uso e Política de Privacidade

Prévia do material em texto

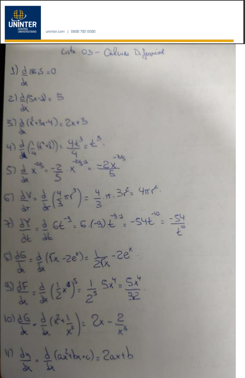
CENTRO UNIVERSITÁRIO uninter.com 0800 702 0500 03 - 1) =0 dx 5 dx 3) 4) 4 dx 5 5 dr d = 3 -10 7) d = = -54 10 dt dt t = d dx d = = de 32 d & d = Ix

Mais conteúdos dessa disciplina