Logo Passei Direto
Buscar
Material
páginas com resultados encontrados.
páginas com resultados encontrados.

Prévia do material em texto

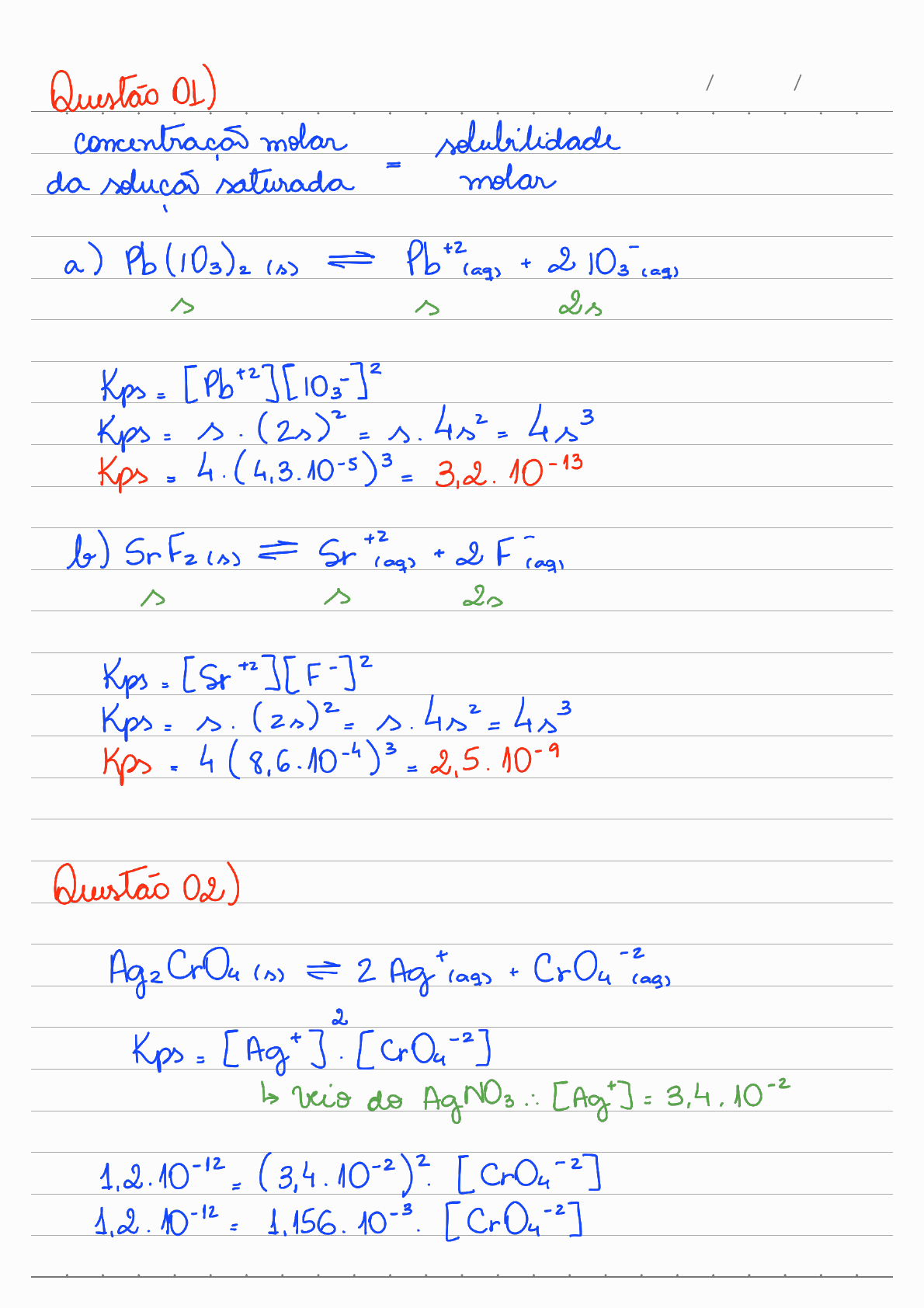
Questas 01) / / molar solubilidade = da saturada molar a) Pb(103)2 (s) + s s 2s = Kps= s. (2s)2 = 4. = 3,2.10-13 b) + s s 2s [Sr s. = = 4 2,5.10-9 02) 2 + CrOu (ag) 2 = + [CrOu -2] do = 1.2.10-12 = 1.2.10-12 =/ / 1,156.10-3 = Questas 03) CaCO3 = = 13 mg L-' 100g - s 1,3.10-4 mol Ca+2 + s s s Kps. = s.s = s2 Kps = s2 = ( 1,3.10-4)2 Kps = 1.7.10-8 Questas 04) [Al2 = 2.5.10-2 mol L-1 s/ / 2 + s 2s 3s 2.5.10-2 (s) (aq) + Kps do 3.10-34 = 5.10-2 = = mol - log = 10,74 = 3.25 // 05) Cu(OH) 2 (s) Cu+2 (aq) + 2 V do do NaOH/ / Na+ Cu+2 OH = 0.2 mol + 0,5 10 30 ml 40 ml F.D. e F.D. = mol 1,34 4 [on-] 0,37 mol P.I. P. I. = 0,05 (0,37) = 6.9.10-3 P.I >> Kps, havera uppt. 06) Kps a) Kps 1° Mn (OH)2 2.10-13 Nesse caso Cu (OH)2 Cu (OH)2 mesma anion ( upode comparar Kps/ / 2 b) Kps = 4,8.10-20 = (OH-)2 = 9.6.10-19 = mol 9.8.10-10 = 9.00 = = 5,00 c) Mn = precipita do espera-se que 9 que estava em ja esteja em sua forma solida. a aqui i calcular quanto de ainda soluca guando o Mn+2 a 2 Kps = [OH 2.10-13 [OH -]2 = mol Kps = =/ / +27 = 9.6.10-7 mol E que ainda resta em sera que uma consideravel ? havia 0,05 mol de Cu+2 0,05 mol - 100% ( inicial) mol (final) 10-3% considerar uppt total

Mais conteúdos dessa disciplina