Logo Passei Direto
Buscar
Material
páginas com resultados encontrados.
páginas com resultados encontrados.

Prévia do material em texto

Experimento A5: Colisões 
Hiago Fernando Vagmaker Gonçalves 
Curso de Engenharia Civil, Departamento de Física, Universidade Federal do Espírito Santo, 
Caixa Postal 9011, Vitória, Espírito Santo, 29060-970, Brasil 
e-mail: hiago.goncalves@edu.ufes.br 
Código da Disciplina: FIS09057 
 
Resumo. Uma colisão é uma interação de duração finita entre dois ou mais objetos, que podem ser 
classificados como elásticas ou inelásticas. Neste experimento, dois carrinhos se movendo na 
mesma direção serão utilizados para estudar tais colisões, visando verificar os princípios de 
conservação do momento linear e conservação de energia no sistema, bem como estudar a 
particularidade das colisões elásticas e inelásticas. Para tanto, cálculos baseados nos princípios 
de momento linear e conservação de energia são utilizados como ferramentas analíticas, levando 
em consideração suas respectivas incertezas. O procedimento experimental consiste em empurrar 
dois carros para colidir com outro carro parado sobre uma trilho de ar e medir o tempo de 
passagem de cada carro através dos sensores S0 e S1 que estão conectados a um multicronômetro. 
Primeiramente, uma colisão elástica foi reproduzida colocando uma mola na extremidade do 
carrinho que colide com o outro. Em seguida, a colisão inelástica foi reproduzida colocando uma 
“lança” na extremidade de um carrinho e um suporte de engate com massa na extremidade do outro 
carrinho. Medindo-se as massas dos carrinhos e descobrindo suas velocidades mediante os tempos 
registrados no multicronômetro, pôde-se calcular seus respectivos momentos e energias cinéticas. 
Com isso, verificou-se que houve a conservação do momento linear tanto na colisão elástica. Já no 
caso da energia cinética, verificou-se que esta é conservada na colisão elástica, mas que não o é 
na inelástica. Isso ocorre porque a deformação da massinha durante a colisão dissipa parte da 
energia cinética inicial, o que faz com que a variação entre a energia cinética final e a inicial seja 
um valor considerável. 
 
Palavras chave: colisão elástica, colisão inelástica, carro, energia. 
 
Introdução 
Uma colisão é uma interação entre dois ou mais 
objetos. Para estudar o problema da colisão de dois 
corpos, pode-se estabelecer a relação entre os 
estados do sistema antes e depois da colisão, que é 
obtida considerando as leis de conservação da física. 
Este experimento tem como objetivo verificar a 
conservação do momento linear e da energia cinética 
para um sistema isolado, composto por dois 
carrinhos que se colidiram entre si. 
Uma grandeza física, como a energia por 
exemplo, será preservada quando, durante uma 
mudança no sistema, sua variação for zero, ou seja, 
seu valor no estado inicial for igual ao seu valor no 
estado final. 
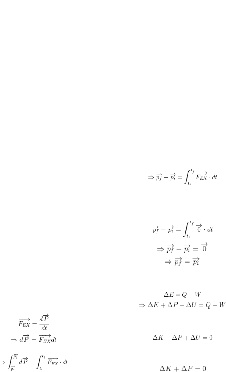
Pode-se deduzir o princípio da conservação de 
momento linear usando a Segunda Lei de Newton, 
sob a condição de não haver forças externas atuando 
no sistema, tal como é mostrado a seguir. 
 
 
Integrando dos dois lados. 
 
 
Como não existe força externa atuando no 
sistema, tem-se. desenvolvendo a equação 
considerando essa premissa, sabe-se que o momento 
linear se conservará. 
 
 
 
Quanto a conservação da energia cinética, parte-
se do balanço energético do sistema, baseado na lei 
da termodinâmica. 
 
 
Considerando que o sistema seja fechado e 
isolado, não havendo transferência de calor nem de 
trabalho entre o sistema e a vizinhança, então. 
 
Caso a variação da energia interna seja nula, não 
havendo variações de temperatura ou pressão no 
sistema, então. 
 
mailto:hiago.goncalves@edu.ufes.br
Em colisões de partículas, pode-se considerar 
que, imediatamente antes e após a colisão, a variação 
de energia potencial é desprezível. 
 
Portanto, haverá conservação de energia cinética 
em uma colisão desde que não haja nenhuma perda 
de energia devido à deformação dos corpos nesse 
processo. Logo, só haverá conservação de energia 
cinética se a colisão for perfeitamente elástica. Como 
visto anteriormente, pela própria definição, 
conforme a Segunda Lei de Newton, só há variação 
de momento linear mediante a aplicação de uma 
força externa. As forças internas não influenciam, 
pois, o momento linear total de um sistema, uma vez 
que estão associadas a pares ação-reação que se 
anulam mutuamente. 
Considere dois carrinhos de massa m1 e m2, 
cujas velocidades iniciais são v1i e v2i, 
respectivamente, e as finais são v1f e v2f. Aplicando 
o princípio da conservação do momento linear. 
 
Como o carrinho de massa m2 está inicialmente 
em repouso, então. 
 
Dado que o movimento dos carrinhos é 
unidimensional, isto é, as velocidades e os 
momentos lineares estão na mesma direção, pode-se 
tratá-los como escalares nos cálculos, ressalvando-se 
que o sinal destes representa seu sentido segundo o 
eixo de referência adotado. 
 
Se a colisão for totalmente elástica, então, pela 
conservação de energia cinética, tem-se que. 
 
 
 
 
Desta forma, obtém-se que. 
 
Substituindo a equação acima na de conservação 
de momento linear, segue que. 
 
E posteriormente. 
 
Caso a colisão seja totalmente inelástica, os 
carrinhos ficam unidos um ao outro após o choque. 
Logo, v1f = v2f = vf. Aplicando isso à equação da 
conservação do momento linear e fazendo o seu 
desenvolvimento, conclui-se que. 
 
A energia cinética final do sistema é dada por. 
 
Sabendo vf, fica simples e metódico encontrar Kf. 
 
Voltando ao balanço de energia citado 
anteriormente e substituindo a equação encontrada 
de Kf, constata-se que. 
 
 
 
Conclui-se que, para o momento linear se 
conservar, basta que não haja forças externas agindo 
sobre o sistema. Porém, é possível que entre o início 
e fim do experimento, haja perdas significativas de 
energia, como por exemplo a perda de energia 
cinética no sistema, peculiar da colisão inelástica. 
Procedimento Experimental 
Para o ensaio referente a colisão elástica, 
primeiramente, nivelou-se o trilho de ar para que a 
gravidade não influenciasse o movimento do 
carrinho. 
Mediu-se a massa m1 do carrinho que possui dois 
parafusos suportes para adição de massa, obtendo o 
valor de 251,27 ± 0,01 g. Mediu-se também a massa 
m2 do carrinho que possui seis parafusos suportes 
para adição de massa juntamente com os pesos 
adicionais acoplados, obtendo-se o valor de 546,87 
± 0,01 g. 
Em seguida, montou-se o sistema, posicionando 
os sensores S0 e S1 de forma que o carrinho 1 seja 
impulsionado antes do sensor S0 e o carrinho 2 fique 
entre os dois sensores, para que o tempo pós colisão 
seja coletado. 
Depois configurar o multicronômetro na função 
desejada, foi dado um impulso no carrinho 1, 
comprimindo sua mola e soltando-a em seguida. É 
necessário garantir que, ao iniciar o lançamento, o 
carrinho 2 esteja em repouso. Anotaram-se todos os 
tempos de passagem pelos sensores fornecidos pelo 
multicronômetro. 
Como demonstrado na introdução, há duas 
equações que descrevem as velocidades finais de 
cada carrinho após a colisão. 
 
Um novo lançamento foi realizado, porém com 
m1 e m2 tendo valores muito próximos. Observou-
se então que, após a colisão, o carrinho 1 perdeu toda 
a sua velocidade, enquanto o carrinho 2 iniciou o 
movimento com uma velocidade equivalente à 
velocidade inicial do carrinho 1. 
Já para a colisão inelástica substituiu-se a mola 
do carrinho 1 e o ferrite do carrinho 2 pelo suporte 
acoplável. Tal suporte fará com que, após a colisão, 
o carrinho 1 e 2 se mantenham unidos a fim de que 
suas velocidades finais sejam iguais. 
Mediu-se a massa m1 do carrinho que possui dois 
parafusos suportes para adição de massa, obtendo o 
valor de 237,44± 0,01 g. Mediu-se também a massa 
m2 do carrinho que possui seis parafusos suportes 
para adição de massa, obtendo o valor de 531,61 ± 
0,01 g. Em seguida, montou-se o sistema com os 
mesmos cuidados que foram tomados na etapa 
anterior.Prosseguiu-se então com o impulso no carrinho 
1, comprimindo sua mola e soltando-a em seguida. 
É necessário garantir que, ao iniciar o lançamento, o 
carrinho 2 esteja em repouso. Anotaram-se todos os 
tempos de passagem pelos sensores fornecidos pelo 
multicronômetro. 
Resultados e Discussão 
Quanto a colisão elástica, após a colisão, os 
carrinhos passaram a se movimentar em sentidos 
opostos no trilho de ar. Os dados obtidos no 
multicronômetro referentes ao tempo de passagem 
de cada um dos 10 trechos da régua obstrutora fixada 
nos carrinhos pelos sensores S0 e S1 são 
apresentados na tabela a seguir. Vale ressaltar que o 
sensor S0 capturou os tempos de ida e de volta do 
carrinho 1, enquanto o sensor S1 capturou os tempos 
de ida do carrinho 2. 
 
Tabela 1. Tempos de passagem dos carrinhos 
 
Aplicando os dados da Tabela 1 na fórmula 
abaixo, pode-se calcular a velocidade dos carrinhos 
para cada trecho da régua obstrutora, sabendo que 
tais trechos possuem 18 mm de largura. 
 
Tabela 2. Velocidade calculada para os carrinhos antes e 
depois da colisão 
 
 
Vale ressaltar que o primeiro e o segundo tempo 
registrados na volta do carrinho 1 foram 
desconsiderados no cálculo das velocidades dos seus 
respectivos trechos. O primeiro apenas repete o 
último valor registrado na ida desse carrinho. Já o 
segundo corresponde ao tempo decorrido entre o 
início da contagem e a segunda detecção da volta, 
sendo que, no intervalo entre o primeiro e o segundo 
tempo da volta, a distância percorrida não 
corresponde a 18 mm, mas ao espaço percorrido 
entre a última detecção da ida e a segunda detecção 
da volta, cuja distância é desconhecida. Assim, não 
há como calcular a velocidade para esses trechos e, 
por isso, os respectivos campos na Tabela 2 estão em 
branco. O primeiro tempo registrado na ida do 
carrinho 2 também foi desconsiderado no cálculo da 
Carrinho 2
Ida Volta Ida
1 0,08840 0,95390 1,82170
2 0,18170 2,22060 2,01695
3 0,27685 2,44625 2,21720
4 0,37140 2,67460 2,41790
5 0,46735 2,90190 2,62005
6 0,56395 3,12780 2,82390
7 0,66085 3,34900 3,02740
8 0,75795 3,56270 3,23200
9 0,85565 3,77410 3,43670
10 0,95390 3,97585 3,51405
Carrinho 1N
Tempo de passagem (s)
Carrinho 2
Ida Volta Ida
1 0,20362 - -
2 0,19293 - 0,09219
3 0,18917 0,07977 0,08989
4 0,19038 0,07883 0,08969
5 0,18760 0,07919 0,08904
6 0,18634 0,07968 0,08830
7 0,18576 0,08137 0,08845
8 0,18538 0,08423 0,08798
9 0,18424 0,08515 0,08793
10 0,18321 0,08922 0,23271
N
Velocidade (m/s)
Carrinho 1
velocidade para o trecho respectivo, pois tal tempo é 
o decorrido entre o início da contagem e a primeira 
detecção do sensor S1. 
Calculando as velocidades médias das passagens 
dos carrinhos pelos sensores S0 e S1. 
Tabela 3. Velocidades médias e suas respectivas 
incertezas 
 
Usando os valores da Tabela 3 para calcular a 
variação do momento linear no sistema, obtém-se o 
seguinte resultado: 
𝑚1 × 𝑣1𝑖 = 47,5 ± 1,3 𝑔 ∙ 𝑚/𝑠 
𝑚1 × 𝑣1𝑓 = −20,6 ± 0,3 𝑔 ∙ 𝑚/𝑠 
𝑚2 × 𝑣2𝑖 = 57,4 ± 1,6 𝑔 ∙ 𝑚/𝑠 
Finalmente. 
∆𝑃 = 𝑃𝑓 − 𝑃𝑖 = 𝑚1 × 𝑣1𝑓 + 𝑚2 × 𝑣2𝑖 − 𝑚1 × 𝑣1𝑖
= −10,7 ± 3,2 𝑔 ∙ 𝑚/𝑠 
A variação do momento linear obtida no cálculo 
acima não está de acordo com a previsão teórica, já 
que como o valor não foi zero, não houve a 
conservação de momento linear. Provavelmente, tal 
erro deve ter sido causado pelo experimentador. Um 
erro provável é que no momento da colisão o 
carrinho 2 não estava em repouso, como pré-definido 
no início do ensaio. Devido a isso, erroneamente, a 
colisão não pode ser considerada como elástica. 
Calculando a variação de energia cinética tem-se. 
𝑚1 × 𝑣1𝑖
2
2
= 4,5 ± 0,3 𝑚𝐽 
𝑚1 × 𝑣1𝑓
2
2
= 0,85 ± 0,08 𝑚𝐽 
𝑚2 × 𝑣2𝑖
2
2
= 3,0 ± 0,1 𝑚𝐽 
Finalmente. 
∆𝐾 = 𝐾𝑓 − 𝐾𝑖 = −0,65 ± 0,48 𝑚𝐽 
A variação da energia cinética obtida no cálculo 
acima está de acordo com a previsão teórica, já que 
tal valor é bem próximo de zero. Porém, conforme 
dito acima, a colisão não é caracterizada como 
elástica devido a não conservação de momento 
linear. 
Para a colisão inelástica, impulsionou-se 
manualmente o carrinho 1, de massa 237,44 ± 0,01 
g, este colidiu com o carrinho 2, de massa 531,61 ± 
0,01 g, que estava inicialmente em repouso. Após a 
colisão, os carrinhos ficaram grudados e passaram a 
se movimentar juntos no trilho de ar. 
Os dados obtidos no multicronômetro referentes 
ao tempo de passagem de cada um dos 10 trechos da 
régua obstrutora fixada nos carrinhos pelos sensores 
S0 e S1 são apresentados na tabela a seguir. Vale 
ressaltar que o sensor S0 capturou os tempos de ida 
do carrinho 1, enquanto o sensor S1 capturou os 
tempos de ida do carrinho 2 junto com o carrinho 1. 
Tabela 4. Tempos de passagem dos carrinhos 
 
Pode-se calcular a velocidade dos carrinhos para 
cada trecho da régua obstrutora, sabendo que tais 
trechos possuem 18 mm de largura. 
Tabela 5. Velocidade calculada para os carrinhos antes e 
depois da colisão 
 
 
Vale ressaltar que o primeiro tempo registrado na 
ida dos carrinhos juntos foi desconsiderado no 
cálculo da velocidade para o trecho respectivo, pois 
Velocidade 
média (m/s)
Incerteza 
(m/s)
Ida 0,189 0,005
Volta 0,082 0,001
2 Ida 0,105 0,003
1
Carrinho 
Carrinho 1 Carrinho 1 e Carrinho 2
Ida Ida
1 0,06660 1,69695
2 0,13595 1,94980
3 0,20580 2,21120
4 0,27660 2,47585
5 0,34705 2,74490
6 0,41725 3,01915
7 0,48975 3,27560
8 0,56065 3,57715
9 0,63295 3,86225
10 0,70470 3,96830
N
Tempo de passagem (s)
Carrinho 1 Carrinho 1 e Carrinho 2
Ida Ida
1 0,27027 -
2 0,25955 0,07119
3 0,25770 0,06886
4 0,25424 0,06801
5 0,25550 0,06690
6 0,25641 0,06563
7 0,24828 0,07019
8 0,25388 0,05969
9 0,24896 0,06314
10 0,25087 0,16973
N
Velocidades (m/s)
tal tempo é o decorrido entre o início da contagem e 
a primeira detecção do sensor S1. 
A partir das velocidades da Tabela 5, pode-se 
calcular a velocidade média do carrinho 1 e dos 
carrinhos juntos, bem como suas respectivas 
incertezas. Os resultados são apresentados na tabela 
a seguir 
Tabela 6. Velocidades médias e suas respectivas 
incertezas 
 
Usando os valores da Tabela 6 para calcular a 
variação do momento linear no sistema, obtém-se o 
seguinte resultado. 
𝑚1 × 𝑣1𝑖 = 60,8 ± 0,5 𝑔 ∙
𝑚
𝑠
 
(𝑚1 + 𝑚2) × 𝑣𝑓 = 60,0 ± 0,8 𝑔 ∙
𝑚
𝑠
 
∆𝑃 = 𝑃𝑓 − 𝑃𝑖 = 0,8 ± 1,0 𝑔 ∙
𝑚
𝑠
 
A variação do momento linear obtida no cálculo 
acima está de acordo com a previsão teórica, já que 
tal valor é bem próximo de zero. Pode-se dizer que 
houve, portanto, conservação do momento linear. 
Usando os valores da Tabela 6 para calcular a 
variação da energia cinética no sistema, obtém-se o 
seguinte resultado. 
∆𝐾 = 𝐾𝑓 − 𝐾𝑖 =
(𝑚1 + 𝑚2) × 𝑣𝑓
2
2
−
𝑚1 × 𝑣1𝑖
2
2
 
∆𝐾 = −5,5 ± 0,3 𝑚𝐽 
A variação da energia cinética obtida no cálculo 
acima está de acordo com a previsão teórica, já que 
tal valor não é tão próximo de zero, indicando que 
não houve conservação da energia cinética. 
A conservação do momento linear e a não 
conservação da energia cinética caracteriza a colisão 
como não elástica. 
Conclusão 
A partir dos resultados experimentais e das análise 
desenvolvidas neste relatório, foi possível verificar 
a validade do princípio da conservação de momento 
linear e de energia cinética em colisões elásticas. Por 
outro lado, também pôde-se verificar que, em 
colisões inelásticas, o princípio da conservação de 
momento linear é válido, enquanto o princípio da 
conservação de energia cinética não o é para este 
caso, pois parte da energia cinética inicial é dissipada 
devido à deformação permanente da massinha no 
momento da colisão. 
Esperava-se que o momento linear se conserva-se 
em ambos procedimentos realizados (colisão elástica 
e inelástica), no entanto, verificou-se isso apenas na 
colisão inelástica. Em relação a energia cinética, era 
previsto que na colisão elástica elase conserva-se e 
na inelástica não, o que foi confirmado com a análise 
dos dados do experimento. 
Por fim, pode-se concluir que o objetivo principal do 
experimento foi alcançado 
 
Referências 
 
[1] HALLIDAY, RESNICK & WALKER, 
Fundamentos de Física, Vol. 1, 10 a edição, 
LTC. 
Velocidade 
média (m/s)
Incerteza 
(m/s)
1 Ida 0,256 0,002
1 e 2 juntos Ida 0,078 0,001
Carrinho

Mais conteúdos dessa disciplina