Logo Passei Direto
Buscar

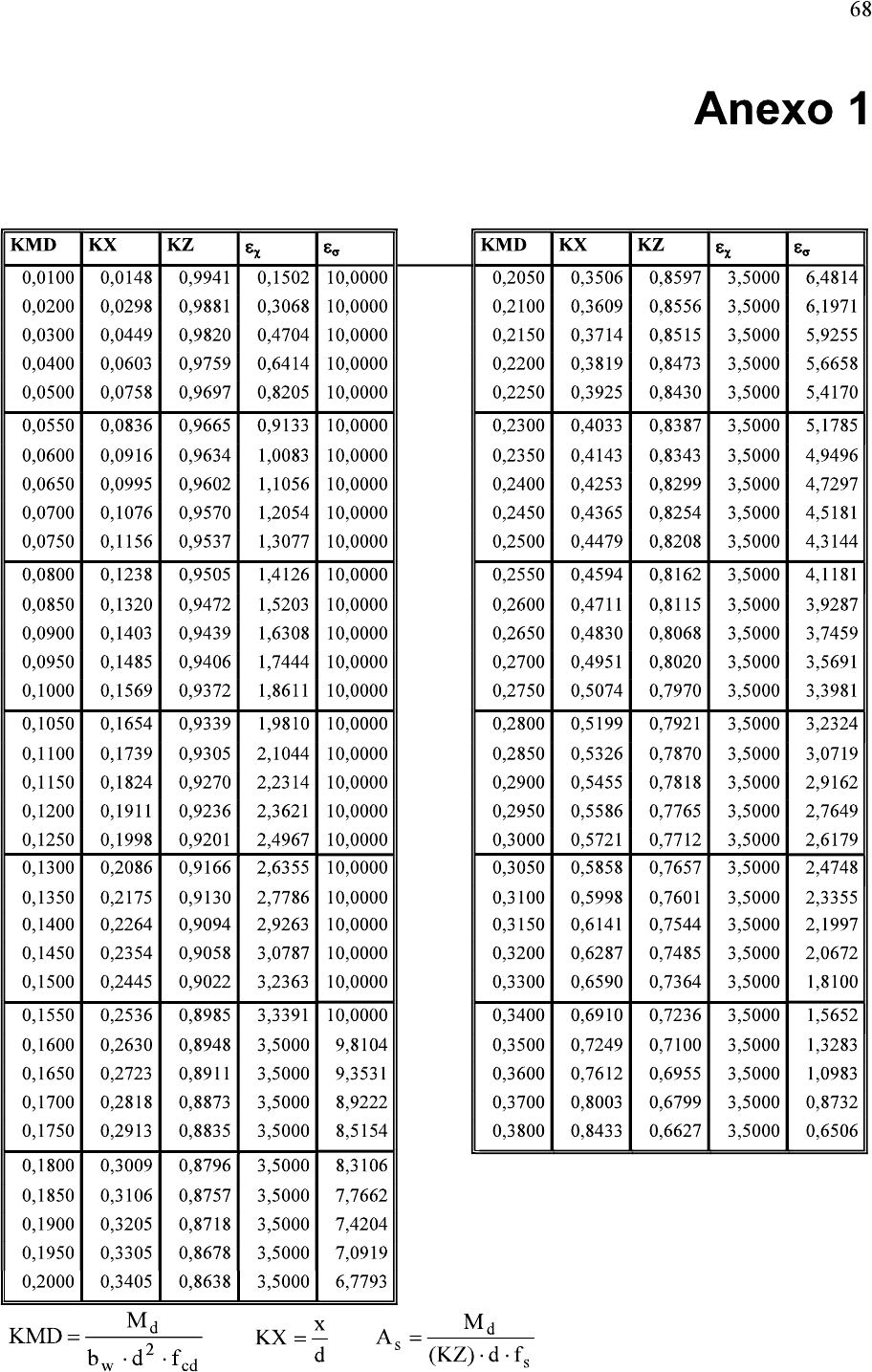
tabela_kmd

Ferramentas de estudo

Material
left-side-bubbles-backgroundright-side-bubbles-background

Crie sua conta grátis para liberar esse material. 🤩

Já tem uma conta?

Ao continuar, você aceita os Termos de Uso e Política de Privacidade

Mais conteúdos dessa disciplina