Logo Passei Direto
Buscar

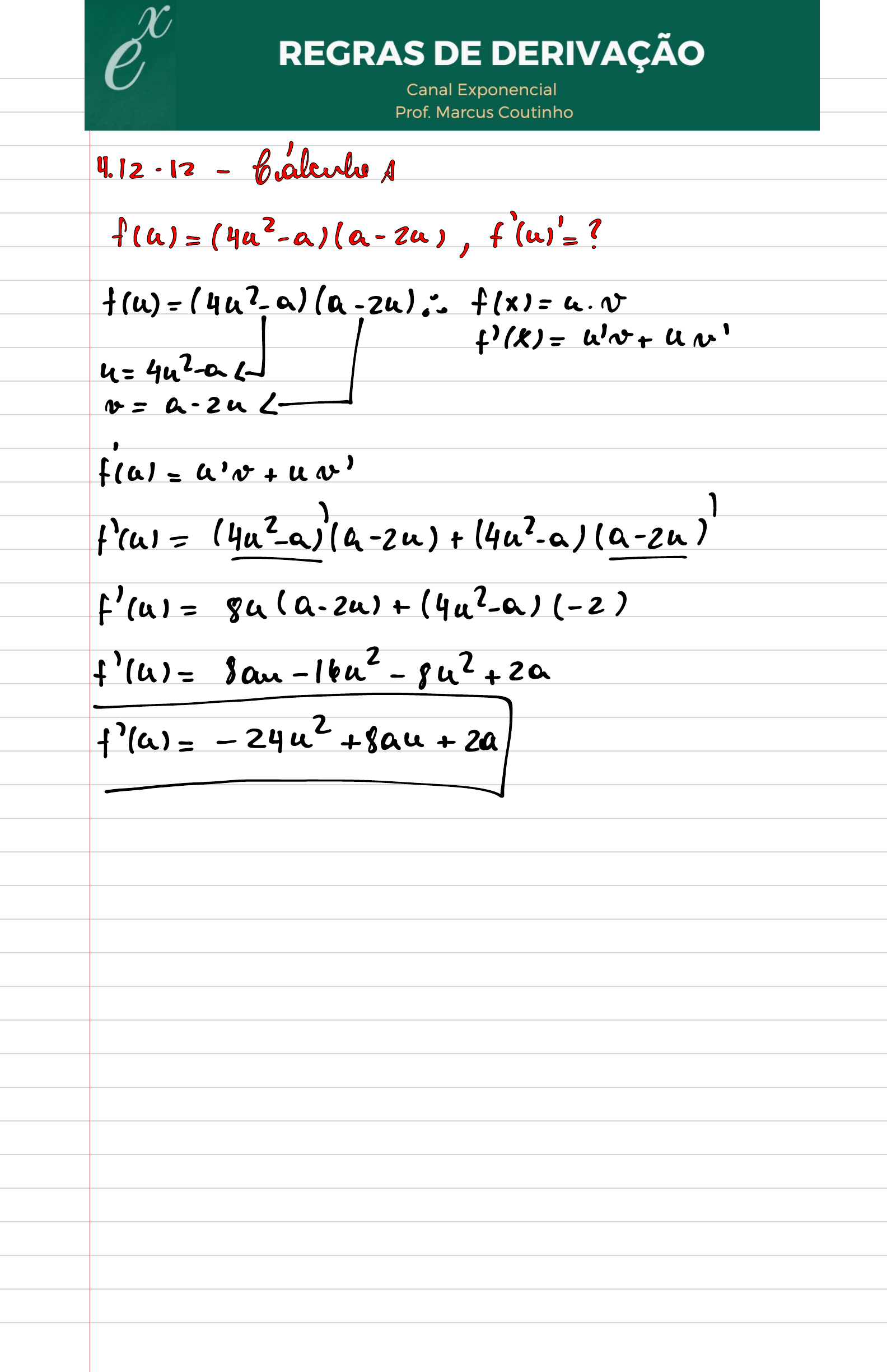
[Rápido e Fácil] Derivada de f(u) = (4u² - a)(a - 2u) |Exercício 4.12-12 Cálculo A, Diva Flemming

User badge image
Exponencial

em

Ferramentas de estudo

Material
left-side-bubbles-backgroundright-side-bubbles-background

Crie sua conta grátis para liberar esse material. 🤩

Já tem uma conta?

Ao continuar, você aceita os Termos de Uso e Política de Privacidade

Mais conteúdos dessa disciplina