Logo Passei Direto

Ejercicios resueltos equilibrio de fases un sólo componente

Herramientas de estudio

Preguntas resueltas

5. Para el benceno líquido, la ecuación de la variación de su presión de vapor, en mm Hg, en relación a la temperatura absoluta, es la siguiente: log P = –1686/T + 7,652. Calcular: a) El calor latente molar de vaporización; y b) El punto de ebullición normal


A las temperaturas de 20°C y 50 °C, las presiones de vapor de la acetona son de 185 y 613 mm Hg, respectivamente. Halle una ecuación para la acetona, que relacione su presión de vapor (en mm Hg) con la temperatura absoluta.


Material
¡Estudia con miles de materiales!

Preguntas resueltas

5. Para el benceno líquido, la ecuación de la variación de su presión de vapor, en mm Hg, en relación a la temperatura absoluta, es la siguiente: log P = –1686/T + 7,652. Calcular: a) El calor latente molar de vaporización; y b) El punto de ebullición normal


A las temperaturas de 20°C y 50 °C, las presiones de vapor de la acetona son de 185 y 613 mm Hg, respectivamente. Halle una ecuación para la acetona, que relacione su presión de vapor (en mm Hg) con la temperatura absoluta.


Vista previa del material en texto

EJERCICIOS RESUELTOS: EQUILIBRIO DE FASES EN SISTEMAS DE UN 
COMPONENTE 
 
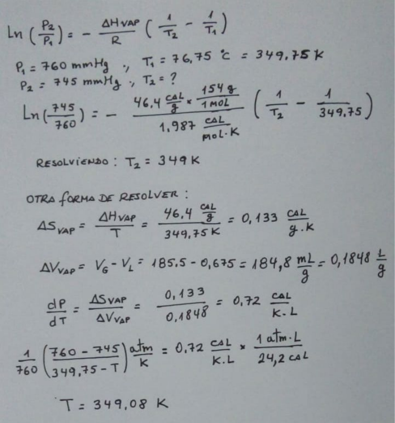
3. El calor latente de vaporización del tetracloruro de carbono (CCl4) en su punto de 
ebullición normal de 76,75 °C es de 46,4 cal/g. Los volúmenes específicos del líquido y 
de su vapor saturado, en el punto de ebullición, son de 0,675 y 185,5 mL/g, 
respectivamente. Calcular su temperatura de ebullición bajo una presión atmosférica de 
745 mm Hg. 
 
 
 
 
 
 
 
 
 
 
 
 
 
 
 
 
 
 
 
 
 
 
 
5. Para el benceno líquido, la ecuación de la variación de su presión de vapor, en mm 
Hg, en relación a la temperatura absoluta, es la siguiente: log P = –1686/T + 7,652. 
Calcular: a) El calor latente molar de vaporización; y b) El punto de ebullición normal 
 
 
 
 
 
 
 
 
 
 
 
 
 
 
 
 
 
 
 
 
 
 
 
 
 
 
15. El punto de ebullición normal del yodo es 183 oC. Su presión de vapor (del líquido) a 116,5 
oC es 100 mm Hg. Si el calor de fusión es 3,74 kcal/mol y la presión de vapor del sólido es 1 
mm Hg a 38,7 oC, calcular la temperatura y la presión del punto triple. 
 
 
 
 
 
 
 
 
 
 
 
 
 
 
 
 
 
 
 
 
 
 
 
 
 
 
 
A las temperaturas de 20°C y 50 °C, las presiones de vapor de la acetona son de 185 y 613 
mm Hg, respectivamente. Halle una ecuación para la acetona, que relacione su presión de 
vapor (en mm Hg) con la temperatura absoluta.