Logo Passei Direto
Subir material
Iniciar sesión
Pruébalo gratis
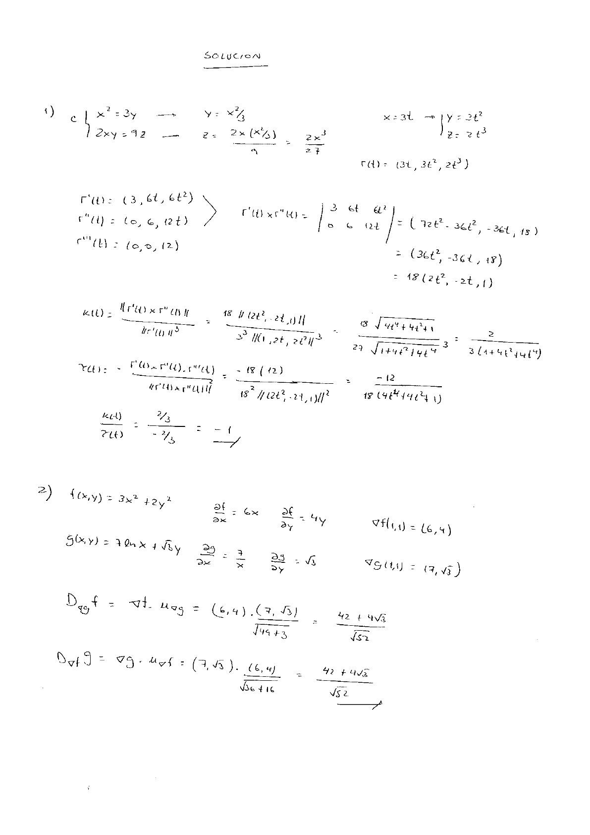
A2_Sustitutorio_2015_II_Solution
Cálculo Vectorial
UDEP
Sebastian Sanchez Guerrero
en
9/4/2025
0
Reportar
Reportar
Clave de respuestas
Ejercicios
Mapa mental
Resumen
Más opciones
Herramientas de estudio
Clave de respuestas
Ejercicios
Mapa mental
Resumen
Mostrar todo
Contenido elegido para ti
6 pag.
A2_Exam1_2015_II_Solution
UDEP
5 pag.
A2_Ex2_2016_II_Solution
UNIR MÉXICO
Material
¡Estudia con miles de materiales!
Iniciar sesión
Contenido elegido para ti
6 pag.
A2_Exam1_2015_II_Solution
UDEP
5 pag.
A2_Ex2_2016_II_Solution
UNIR MÉXICO
Más contenidos de este tema
solucion Practica Calificada 1
Ejercicios con polinomios avanzado