Logo Passei Direto
Material
¡Estudia con miles de materiales!

Vista previa del material en texto

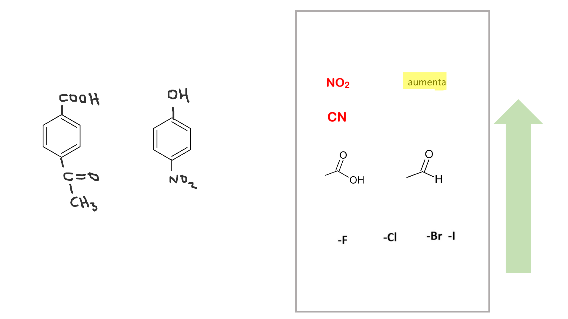
más ácidos que el fenol 
y el ácido benzoico
el que más aumenta la acidez
Menos ácidos que el fenol 
y el ácido benzoico
el que más disminuye la acidez
más básicos que la anilina
el que más aumenta 
la basicidad
menos básicos que la anilina
el que más disminuye
la basicidad
agua alcoholes
ácidos 
carboxílicos
dador 
electrones
atractor 
electrones
>> > > >
acidez
ácidos 
etanoico>
ácido 
benzoico
>
amina 
secundaria 
cíclica
amina 
secundaria
amina primaria
y terciaria
NH3
piridina
anilnadador 
electrones
atractor 
electrones
> > >
> > >
aminas
aromáticas
basicidad de aminas
basicidad de aminas aromáticas
el de menor pKa es más ácido!! 
más básico!! 
la de mayor pKa es más bácica!! 
	Número de diapositiva 1
	Número de diapositiva 2
	Número de diapositiva 3
	Número de diapositiva 4
	Número de diapositiva 5
	Número de diapositiva 6
	Número de diapositiva 7
	Número de diapositiva 8
	Número de diapositiva 9
	Número de diapositiva 10