Logo Passei Direto
Buscar
Material
páginas com resultados encontrados.
páginas com resultados encontrados.
left-side-bubbles-backgroundright-side-bubbles-background

Experimente o Premium!star struck emoji

Acesse conteúdos dessa e de diversas outras disciplinas.

Libere conteúdos
sem pagar

Ajude estudantes e ganhe conteúdos liberados!

left-side-bubbles-backgroundright-side-bubbles-background

Experimente o Premium!star struck emoji

Acesse conteúdos dessa e de diversas outras disciplinas.

Libere conteúdos
sem pagar

Ajude estudantes e ganhe conteúdos liberados!

Prévia do material em texto

Compostos de Carbono e Interações intermoleculares 
 
 
1. Forneça a ordem crescente de pontos de ebulição das seguintes substâncias: 
 
a) H3C – CH2 – OH b) CH4 c) CH3 – CH3 
 
2. Quais interações são rompidas quando a substância hidrogênio (H2) passa do estado líquido 
para o estado gasoso? Explique. 
 
3. As substâncias SO2, NH3, HCl e Br2 apresentam que tipo de interação intermolecular? 
 
4. Considere três substâncias CH4, NH3 e H2O e três temperaturas de ebulição: 373 K, 112 K e 
240K. Levando-se em conta a estrutura e a polaridade das moléculas destas substâncias, pede-
se: 
 
a. Correlacionar as temperaturas de ebulição às substâncias. 
b. Justificar a correlação que você estabeleceu. 
 
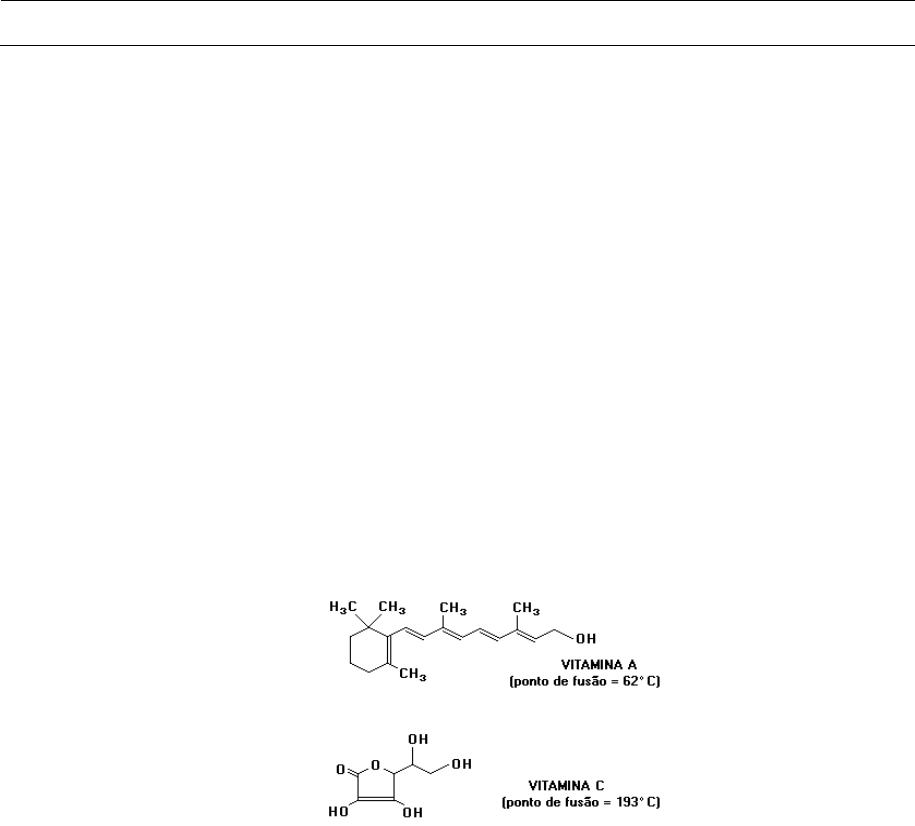
5. Uma das propriedades que determina maior ou menor concentração de uma vitamina na urina 
é a sua solubilidade em água. 
2. 
 
a. Qual dessas vitaminas é mais facilmente eliminada na urina? Justifique. 
b. Dê uma justificativa para o ponto de fusão da vitamina C ser superior ao da vitamina A. 
 
6. No gelo seco, as moléculas do dióxido de carbono estão unidas por: (Justifique sua resposta). 
a. Ligações de hidrogênio. 
b. Forças de van der Waals. 
c. Ligações covalentes. 
 
7. Quais dos seguintes compostos é capaz de fazer ligações de hidrogênio? 
a) CH3CH2OH b) CH2OH c) C2H4 
d) C2H2 e) CH3OCH3 f) CH3NH2 
g) C3H8 h) NH3 
 
8. Identifique os grupos funcionais marcados nas seguintes moléculas: 
a) b)

Mais conteúdos dessa disciplina