Logo Passei Direto
Buscar
Material
páginas com resultados encontrados.
páginas com resultados encontrados.
left-side-bubbles-backgroundright-side-bubbles-background

Crie sua conta grátis para liberar esse material. 🤩

Já tem uma conta?

Ao continuar, você aceita os Termos de Uso e Política de Privacidade

Prévia do material em texto

Lista de exercícios – semana 7 
1. Considere a matriz 𝐴 = (
5 2 1
3 1 4
1 1 3
). 
a. Verificar se 𝐴 satisfaz as condições da decomposição 𝐿𝑈; 
b. Decompor 𝐴 em 𝐿𝑈; 
c. Através da decomposição 𝐿𝑈, calcular o determinante de 𝐴; 
d. Resolver o sistema 𝐴𝑥 = 𝑏, onde 𝑏 = [0 − 7 − 5]𝑇, usando a 
decomposição 𝐿𝑈. 
 
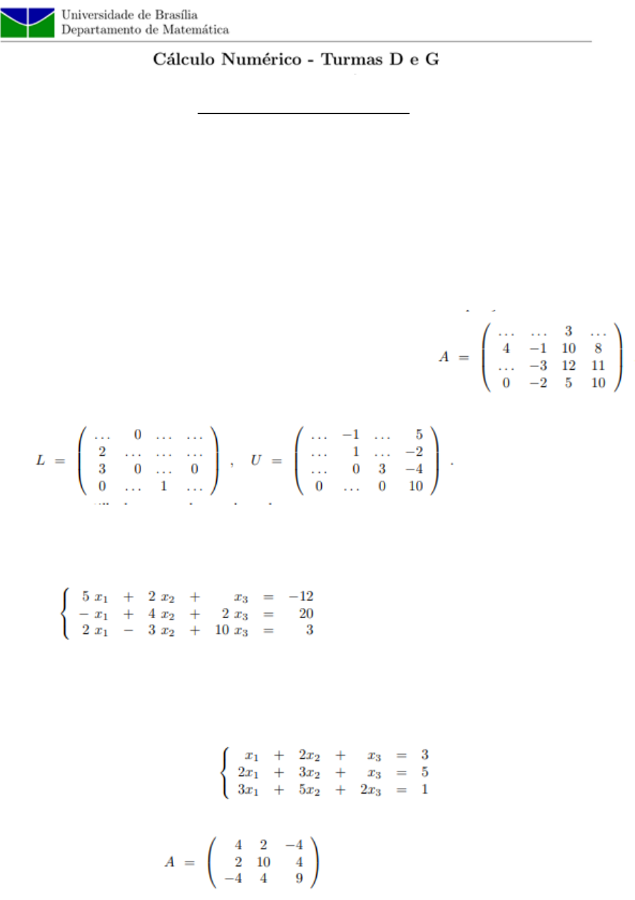
2. Aplicando-se o método da decomposição LU à matriz 
 Obteve-se as matrizes: 
 
Preencha os espaços pontilhados com os valores adequados. 
3. Considere o sistema 
 
a. Resolva-o usando decomposição LU; 
b. Calcule o determinante de A, usando a decomposição. 
4. Verificar, usando o método da eliminação de Gauss, que o sistema a seguir não 
tem solução. 
 
5. Seja 
 
 
a. Verifique se a satisfaz as condições do método de Cholesky; 
b. Decomponha A em 𝐺𝐺𝑇; 
c. Calcule o determinante de A, usando a decomposição obtida; 
d. Resolva o sistema 𝐴𝑥 = 𝑏, onde 𝑏 = [0 6 5]𝑇 .

Mais conteúdos dessa disciplina