Logo Passei Direto
Buscar
User badge image
tassia

em

Ferramentas de estudo

Questões resolvidas

Material
páginas com resultados encontrados.
páginas com resultados encontrados.

Questões resolvidas

Prévia do material em texto

O estudo conduzido por Arunagiri et al. (2025) observou que em condições alcalina e ácida (NaOH 1N e HCl 1N a 60º por 1h) a fenilefrina degradou 10,45% e 4,23%, respectivamente. Nas demais condições (oxidativa, térmica e foto) a degradação foi menor que 3%. Outro estudo encontrou teores de degradação em 5,2%, 4,6% e 4,5% nas condições ácida (HCl 0,1N), térmica e básica (NaOH 0,1N) respectivamente, todas as amostras a 60ºC por 30 minutos (Rekulapally &. Rao, 2015). O DMF corrobora que o IFA apresenta significantes teores de degradação em meio ácido, básico e oxidativo.
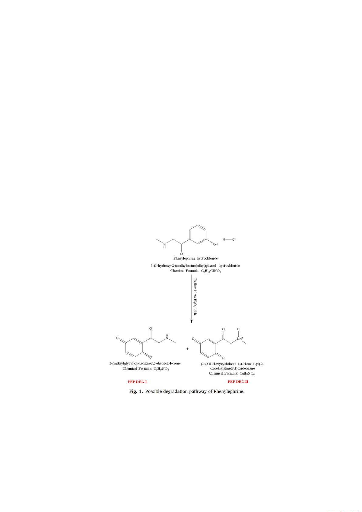
Marin & Barbas (2004) relatam que em meio oxidativo observou-se degradação de 5,8% da fenilefrina. Quando as mesmas condições de estresse foram aplicadas a uma formulação farmacêutica contra tosse e resfriado os autores foram capazes de confirmar através de análise em HPLC/MS que dois produtos de degradação eram oriundos da fenilefrina degradada em meio oxidativo. Já Kamel & Fawzy (2024) encontraram degradação completa da molécula na condição oxidativa (H2O2 10% a 100ºC por 15h) com o surgimento de dois picos de degradação. Os picos de degradação tiveram sua estrutura identificada por análises de IR e por MS conforme figura abaixo.
A pesquisa de Dousa et al. (2011) encontrou, em diferentes preparações farmacêuticas contra resfriado comum que continham fenilefrina, cinco produtos de degradação após a exposição destas por seis meses em câmara a 25º e 60% de umidade relativa. Um dos produtos de degradação é a impureza conhecida Norfenilefrina. Duas das impurezas geradas correspondem a condensação da fenilefrina com formaldeído, conhecida como ciclização fenólica formando tetrahidroisoquinolina (figura). A faixa de pH que esta reação pode ocorrer é muito ampla e foi testada pelos autores através de testes de degradação em meio ácido e básico. A presença do formaldeído é explicada, uma vez que sua formação já foi confirmada em estudos de degradação de açúcares (usar ref do artigo). 
Por fim, os outros dois produtos de degradação também estão relacionados a reação da fenilefrina com produtos de degradação da sacarose. A sacarose pode ser percursor indireto, em condições térmicas, de derivados de furano como o 5-HMF. A reação entre o 5-HMF e fenilefrina formou 1-[5-(hidroximetil)-2-furil]-2-metil-1,2,3,4-tetraidroisoquinolina-4,8-diol (4,8-THQ-HMF) e 1-[5-(hidroximetil)-2-furil]-2-metil-1,2,3,4-tetraidroisoquinolina-4,6-diol (4,6-THQ-HMF) (Fig. 3), estruturas confirmadas pelos autores. Após a formação do 5-HMF, sua reação com a fenilefrina é acentuada em básico. 
Ademais, é possível encontrar estudos que trazem a incompatibilidade da fenilefrina sal maleato (Wong et al., 2006; Marín 2005, dissertação battisti, tese Alisson). O ácido maleico, usado para formar sais com fármacos básicos, é um ácido dicarboxílico α,β-insaturado, que na presença de uma amina primária ou secundária forma o sal maleato. Quando exposto a alta temperatura e umidade, ocorre a “reação de Michael” entre a fenilefina e o ácido maleico gerando um produto de degradação chamado N-(succinil) fenilefrina (2-[2-hydroxy-2-(3-hydroxyphenyl)ethyl]methylaminosuccinic acid) (Wong et al., 2006; Marín 2005) (figura abaixo). 
To evaluate the method’s stability-indicating properties, forced degradation studies were performed on all five analytes. The drug substances were subjected to a range of chemical and physical stress conditions. Hydrolytic degradation was assessed by treating samples with 1 N HCl (acidic) and 1 N NaOH (alkaline) at 60 ◦C for 1 h. Oxidative and reductive stress were induced by exposure to 10 % (v/v) H2O2 and 10 % (w/v) sodium bisulfite respectively, under the same time and temperature conditions. Furthermore, thermal stability was examined by exposing the analytes to 105 ◦C for 6 h in a hotair oven. At the same time, photodegradation was assessed by placing samples in a photostability chamber for the same duration. Following the stress periods, the acid and alkali-treated samples were neutralized.
Ecofriendly analytical quality by design-based HPLC method for a quintuple-drug combination: assay, forced degradation, dissolution profiling, and greenness assessment
Thirumalai Arunagiri a, Hemanth Kumar Chanduluru b,*, Kanaka Parvathi Kannaiah a,*,
Reem H. Obaydo
For acidic hydrolysis, a mass of 100 mg of each drug was dissolved separately in aqueous solutions of HCl ranging in molarity from 0.5–3 M and refluxed at 100 ◦C for 8 h. in a rounded flask. Similarly, basic hydrolysis was carried out in the same manner as acidic hydrolysis using NaoH. For the oxidative tests, a mass of 10 mg of each drug was refluxed individually in a rounded flask with 0.5, 1, 3, 5 and 10 % H2O2 aqueous solutions for 15 h at 100 ◦C. The photostability of the powdered pharmaceuticals was determined by exposing them to UV light (254 nm) for 12 h 10 cm away from the source of light in a Petri dish where the drug was dispersed as a homogenous thin layer. Finally, thermal stability was determined by enclosing the medicine ampoules made of glass and heating them in a thermostatic oven at 10 ◦C increments above (50, 60, and 100 ◦C) for 12 h. 
For PEP, a high degree of stability was noted in the investigated acidic, basic, thermal, and photolytic stress conditions, whereas the peak area of its HPTLC and/or HPLC chromatograms showed no discernible alterations. In contrast, upon treating PEP with 100 mL 10 % H2O2 aqueous solutions for 15 h at 100 ◦C complete degradation was achieved. The disappearance of drug’s HPLC peak and/ or HPTLC band and the appearance of two new peaks at tR 6.23 and 7.37 min (Fig. 3)/Rf = 0.53 and 0.63 (Fig. 4) (for PEP DEG I and PEP DEG II), respectively, were the evidence of the complete degradation. Structural identification of the degradation products, PEP DEG I and PEP DEG II (Fig. 1) was subsequently carried out via IR and MS analyses. Comparing their IR spectra with that of intact PEP (Fig. S1, Supporting material) depicts the appearance of characteristic N-H stretching band: A broad absorption band around 3300–3500 cm- 1. This peak corresponds to the stretching vibration of the N-H bond (amine or amide group) accompanied by the appearance of a strong absorption band around 1716 cm- 1. This peak corresponds to the stretching vibration of the carbonyl double bond (C=O) in the molecule and also C-H stretching bands: Medium to weak absorption bands appear in the region of 2800–3000 cm- 1 (Fig. S2a, b, Supporting material). Additionally, the MS spectrum of PEP intact drug demonstrated a molecular ion peak at m/z 167 (Fig. S3, Supporting material), while PEP DEG I and PEP DEG II have MS spectra with molecular ion peak at m/z 179 and 195, respectively (Fig. S4a, b, Supporting material)
Two green evaluated stability-indicating chromatographic methodologies for the analysis of a new ophthalmic solution mixture in the existence of their possible degradation products: Application to rabbit aqueous humor 
Ebraam B. Kamel *, Michael Gamal Fawzy 
different pharmaceutical preparations against the common cold containing phenylephrine (PHE)
Unidentified degradation products with fluorescence behavior similar to that observed for PHE were detected in stability samples of the pharmaceutical formulation after 6 months in climatic chamber at 25 ◦C and 60% relative humidity. The impurity with relative retention time (RRT) 0.92 was identified as impurity A (norphenylephrine) described in European Pharmacopeia.
The impurities with RRT 0.62 (Imp 1) and RRT 0.77 (Imp 4) were detected, corresponds to condensation of PHE with formaldehyde which was described in literature [15,16]. The reaction is known as “phenolic cyclization” and leads to formation of etrahydroisoquinolines (THQs). The structure of THQs were confirmed by comparison with standards of 4,8-THQ and 4,6-THQ. The degradation product Imp 1 corresponded to 4,6-dihydroxyN-methyl-1,2,3,4-tetrahydroisoquinoline and Imp 4 corresponded to 4,8-dihydroxy-N-methyl-1,2,3,4-tetrahydroisoquinoline(Fig. 2). The cyclization is very fast reaction within wide pH range which was demonstrated by reaction of 0.1% formaldehyde solution with stock solution of PHE at room temperature in 0.1 M citric acid or 0.1 M sodium citrate. Formaldehyde is the simplest fragment of sugars. Its formation was confirmed in many studies concerning sugar degradation [21,22]. Formaldehyde was also suggested as a product of cleavage of C1–C2 bond of the acyclic adduct of hydroperoxide anion to ketoses. 
Imp 2. 
Four sets of drug/excipient mixture (E1–E4) were prepared and stressed in closed glass vials at 90 ◦C for 30 min. It is obvious, that the formation of Imp 2 depends on medium acidity and the formed amount increased with medium acidity. The presence of PHE has no influence on formation of Imp 2 hence the degradation product could to be originated from PAR.
Imp 3 e 5
Six sets of drug/excipient mixture (E5–E10) were stressed in closed glass vials at 60 ◦C for 12 h. It was observed, that the formation of Imp 5 depends strongly on several aspects including presence of saccharose and medium acidity. Formation of Imp 3 and Imp 5 could be probably attributed to reaction of PHE with degradation products of saccharose. The formation of Imp 1 and Imp 4 from ascorbic acid was observed under described conditions which is in agreement with similar studies carried out by Harkrader. The most common saccharides such as fructose, saccharose and glucose and organic acids may serve as precursors of furan derivatives. It is known that the primary sources of thermally produced furan and its derivatives (such as 5-HMF) are saccharides [21]. The highest potential to produce 5-HMF upon thermal treatment has fructose originating from saccharose hydrolysis. Similarly as in the reaction known as “phenolic cyclization”, there is possibility of condensation of 5-HMF with PHE forming 1-[5-(hydroxymethyl)-2-furyl]-2-methyl-1,2,3,4-tetrahydroisochinolin-4,8-diol (4,8-THQ-HMF) and 1-[5-(hydroxymethyl)-2-furyl]-2-methyl-1,2,3,4-tetrahydroisochinolin-4,6-diol (4,6-THQ-HMF) (Fig. 3). Reaction of PHE with 5-HMF in alkaline medium (experiment E14) provides Imp 3 and Imp 5 in high yield (>85% for Imp 5; Fig. 1B). Imp 3 and Imp 5 were prepared by reaction of 5-HMF with PHE (experiment E15): 75 mg of 5-HMF and 120 mg of PHE was diluted in 10 ml water, 100 l of 24% ammonia solution was added and the mixture was heated in closed glass vial at 60 ◦C for 12 h. After reaction, the sample was diluted in the mobile phase to obtain analytical concentration and then analyzed by HPLC. The reaction provides the sum of Imp 3 and Imp 5 in high yield (>97%).
Drug-excipient compatibility testing—Identification and characterization of degradation products of phenylephrine in several pharmaceutical formulations against the common cold
Michal Dousa ˇ ∗, Petr Gibala, Jaroslav Havlícek, Luká ˇ s Pla ˇ cek, Marcela Tkadlecová, Ji ˇ rí B ˇ richá ˇ c
Forced degradation studies were performed to evaluate the stability indicating properties and specificity of the method. Intentional degradation was carried out by exposing of samples to stability condition 0.1 N HCl at 60 0C(Figure 8), 0.1 N NaOH at 60 0C (Figure 9) , Heat at 60 0C 30min(Figure 10) water at 60°C for 30min(Figure 11), and Photolysis (Figure 12)by using photolytic chamber.
A novel stability indicating RP-HPLC method development and validation for simultaneous estimation of phenylephrine, acetaminophen, guaifenesin and dextromethorphan in tablet dosage form 
Vijay Kumar Rekulapally1* and Vinay U. Rao2
Heat, acid, base, UV radiation and oxidation stress methods were applied to study the stability of cough–cold products containing acetaminophen, phenylephrine or phenylpropanolamine hydrochloride and chlorpheniramine maleate.
To carry out the forced degradation assay, standards, impurities, sample and excipients solutions were treated with the following conditions: (a) Acid conditions: Solutions were acidulated with 37% HCl to reach the pH 2.0, for 24 h. After the degradation treatment was complete, all the solutions were neutralized with 1N NaOH until initial pH. (b) Basic conditions: Solutions were treated with 1N NaOH to reach the pH 10.0, for 24 h. After the degradation treatment was complete, all the solutions were neutralized with 37% HCl until initial pH. (c) Oxidation with H2O2: Solutions were treated with H2O2 for 24 h. (d) Heat: Solutions were heated to 80 ◦C for 1 h. (e) UV radiation: Solutions were exposed under a 254 nm light during 48 h.
Under acidic conditions, phenylephrine and phenylpropanolamine gave 1.3 and 1.2% of degradation products, respectively. Under basic conditions, phenylephrine showed 0.8% of degradation products, phenylpropanolamine 0.4% and acetaminophen 0.1%. All the solutions treated with H2O2 during 24 h showed significant degradation especially phenylephrine (5.8%) and acetaminophen (4.7%). Samples showed different grades of degradation based on forced degradation conditions, in some cases higher than the individual components due to some degradation products are formed by combination of several of them. Two degradation products coming from the active phenylephrine were detected at 1.9 and 2.7 min, respectively. The first of them (product G) showed molecular ions at m/z 196 [M + H]+ (Fig. 5f) and the second one (product H) at m/z 180 [M+H]+, m/z 202 [M+Na]+ and m/z 381 [2M+Na+] (Fig. 5e) and, indicating they have molecular weights of 195 and 179 Da respectively
LC/MS for the degradation profiling of cough–cold products under forced conditions
A. Mar´ın a,b, C. Barbas a,∗
NÃO USADO 
The disappearance of the secondary side chain amino group has been used to investigate the rate of phenylephrine degradation in aqueous solution kinetically. The results indicated that the decomposition follows a first order kinetic equation with a pH-dependent reaction rate.
Fig. 8 represents the results of the irradiation studies with both molecules phenylephrine hydrochloride (Fig. 8(A)) and phenylephrine bitatrate (8(B)). These experiments were carried out as photostability tests simulating natural drug substance aging by use of forced conditions. It can be gathered from the spectra that irradiation treatment induced the formation of different secondary products at both salts.
Recently Marín et al. have investigated different Pharmaceutical formulations against the common cold containing acetaminophen, phenylephrine hydrochloride and chlorpheniramine maleate [37]. As a result a new compound was isolated and identified for the first time as a product formed from the interaction between phenylephrine and maleate. Based on this findings further investigations have been carried out by Wong et al. including the synthesis of the possible interaction products and their MS and NMR characterization [38]. It was concluded that the compound observed during the short and long term stability studies of the pharmaceutical cold preparations is a “Michael addition” product between phenylephrine and maleic acid
The rationale for this hypothesis is the interaction of phenylephrine with its own counter ion tartaric acid under the experimental conditions of the study. The nucleophilic addition of the secondary amine phenylephrine to the carbonyl compounds (tartaric acid decomposition products) is supposed to be the reaction mechanism. Vinylogic carbonyls as tartaric acid degradation derivatives would be able to react via a “Michael addition” as a nucleophilic addition special case in analogy to the findings of Wong et al. for maleic acid. Phenylephrine acts as a typical neutral nucleophilic agent at any rate
Investigating the degradation of the sympathomimetic drug phenylephrine by electrospray ionisation-mass spectrometry
Hagen Trommer ∗, Klaus Raith, Reinhard H.H. Neubert
NÃO USADO 
In this study 10 mg of PHE was dissolved in 10 mL 0.1N methanolic hydrochloric acid solution, it was refluxed at 60°C. In basic degradation, PHE (10 mg) was dissolved in 10 mL 0.1N
methanolic sodium hydroxide solution and wasrefluxed at 60°C. A drug concentration of 1mg/mL was prepared using methanol, the solution was further treated with 10 mL H 2O2 (6% v/v) for 1 hr. The drug was kept for 8 hr (each day up to six days) in direct sunlight, for photochemical degradation. In the thermal degradation study, PHE (10 mg) was kept at 60°C
for 4 hr in an oven.
Stability-Indicating Reversed Phase-HPLC Method Development and Validation for Estimation of Phenylephrine in Bulk and Tablet
Shruti Srivastava1, Suneela Dhaneshwar2,*, Neha Kawathekar3
Excipient Compatibility/Stability Study. Two sets of active/ excipient mixes were made. One set consisted of heating at 60 °C for 1 month. The second set consisted of the identical components as the first except that ∼10% (w/w) water was added followed by heating to 60 °C for 1 month. Both sets of mixes contained the actives phenylephrine HCl and dexbrompheniramine maleate along with a single tablet excipient. Both sets of active/excipient mixes (with and without water) produced multiple degradants, and samples were analyzed by HPLC.
structures of both compounds were determined by 2D NMR. Since the structures contain an additional chiral center, both synthetic samples are a mixture of two diastereomers, and two sets of peaks were observed in NMR. All proton and carbon resonances in the spectra were assigned, and the connectivities between proton and carbon nuclei were confirmed by 2D NMR echniques such as HSQC, HSQCTOCSY, and HMBC.
Two new compounds were synthesized and fully characterized by MS and NMR. These compounds are potential candidates for a degradation product in pharmaceutical formulation against the common cold containing phenylephrine and maleates (chlorpheniramine maleate or dexbrompheniramine maleate). In the literature,2 this degradation product was assigned the structure of 3-hydroxy-N-[2-hydroxy-2-(3-hydroxyphenyl)ethyl]-N-methylsuccinamic acid. The syntheses of these two compounds allow us to conclude that this degradation product was misidentified, and its structure should be 2-[2-hydroxy-2-(3-hydroxyphenyl)ethyl]-methylaminosuccinic acid. It is a “Michael addition” product between phenylephrine and maleic acid, which should be readily formed under fairly mild conditions such as the stressed conditions used for the excipient compatibility and stability studies.
Major Degradation Product Identified in Several Pharmaceutical Formulations against the Common Cold 
J. Wong, L. Wiseman, S. Al-Mamoon, T. Cooper, L.-K. Zhang, and T.-M. Chan*
Os antigripais possuem uma enorme diversidade de combinações e diferentes dosagens. Porém, uma incompatibilidade entre a fenilefrina e o sal maleato, que são amplamente utilizados nessas formulações, é relatada em alguns estudos (MARÍN, 2005; WONG, 2006). Essa incompatibilidade é responsável pela formação de um produto de degradação chamado N-(succinil) fenilefrina produzido (ou formado) quando os produtos são expostos a alta temperatura e umidade (MARÍN, 2005; WONG, 2006). 
Medicamentos que contém o cloridrato fenilefrina e o sal maleato podem formar um produto originado entre o sal e a amina secundária da fenilefrina, por uma reação de adição nucleofílica (MARÍN, 2005; WONG, 2006).
As formulações de antigripais mais comuns presentes no mercado contém paracetamol, cloridrato de fenilefrina e o maleato de clorfeniramina, ou maleato de carbinoxamina ou maleato de bronfeniramina. O ácido maléico (Figura 2), frequentemente usado para formar sais com fármacos básicos, é um ácido dicarboxílico α,β-insaturado, que na presença de uma amina primária ou secundária forma o sal maleato (LI, 2012).
A Figura 3 demonstra as possíveis estruturas formadas com a reação do maleato com a fenilefrina (MARÍN, 2005). Wong e colaboradores (2006) sugerem uma outra estrutura que difere nos substituintes da cadeia carbônica conforme Figura 4, mas que também possui MM = 284 (WONG, 2006).
Apesar da estrutura dessa impureza já ter sido elucidada como descrito anteriormente, a N-(succinil) fenilefrina parece nunca ter sido testada quando a sua toxicidade, pois não foram encontrados estudos na literatura.
A partir dos resultados encontrados neste estudo inédito foi possível verificar que a molécula N-(succinil) fenilefrina não apresentou citotoxicidade, nas concentrações testadas, para as linhagens celulares VERO, C6 astroglial e HepG2 nas misturas binárias, nem mesmo quando presente na formulação final.
a amostra exposta por cinco dias a temperatura 60 °C e umidade em torno de 75% UR.
Através dos resultados obtidos na análise das misturas binárias controle e exposta observamos que houve uma queda no teor de fenilefrina quando relacionado ao controle de 10,37%, gerando a formação do produto de degradação N-(succinil) fenilefrina de 10,04%. No cromatograma da Figura 8 é possível observar a presença apenas dos picos referentes ao ativo cloridrato de fenilefrina e maleato de clorfeniramina. Já na Figura 9, além dos picos mencionados, observa-se o pico do produto de degradação N-(succinil) fenilefrina, no tempo de retenção em torno de 4,8 min, e o pico do ácido fumárico (isômero do ácido maleico), em torno de 4 min. O surgimento do pico do produto de degradação N-(succinil) fenilefrina se deve pela incompatibilidade entre os dois ativos quando estes expostos a temperatura e umidade mencionada anteriormente nesse trabalho. Através dos resultados analíticos obtidos para o produto acabado controle e exposto foi possível observar que houve uma queda no teor de fenilefrina, quando relacionado ao controle, de 10,5 %, gerando a formação do produto de degradação N-(succinil) fenilefrina em concentração de 9,7 %. Também é possível observar que mesmo o controle já apresentava uma pequena quantidade de produto de degradação, mesmo não exposto, isso se deve provavelmente por causa da validade do produto já estar próximo do vencimento e ao possível mal armazenamento desse produto.
https://lume.ufrgs.br/bitstream/handle/10183/232481/001133927.pdf;jsessionid=1D12BF4ACC6193546246CCF1C09F6D0F?sequence=1
(dissert. Basttisti)
Em nenhum dos processos mapeados para obtenção da fenilefrina são utilizados agentes
nitrosantes ou azidas, o que negligencia o risco da formação de nitrosaminas durante a síntese
desse IFA. 
formada pela reação de Michael, entre a fenilefrina e o ácido maleico, com a mesma m/z observada nos experimentos realizados, trata-se do composto intitulado 2-[2-hydroxy-2-(3-
hydroxyphenyl)ethyl]methylaminosuccinic acid, de peso molecular 283,28 g/mol e CAS
915278-80-7 [19]
(tese Alisson)
The following data shows that there
is significant degradation in alkali hydrolyzed, hydrogen peroxide and KMnO4
treated samples.
DMF pag 183
image7.png
image8.png
image9.png
image10.png
image11.png
image12.png
image13.png
image1.png
image2.png
image3.png
image4.png
image5.png
image6.png

Mais conteúdos dessa disciplina