Logo Passei Direto
Buscar

Ferramentas de estudo

Questões resolvidas

da Educação, como um ramo da sociologia, investiga as formas pelas quais a educação e os processos educativos estão imbricados nas estruturas sociais, econômicas e políticas da sociedade. Este campo analisa como a educação contribui para a reprodução das desigualdades sociais e explora as potencialidades transformadoras da educação na promoção da igualdade e justiça social. A partir da perspectiva sociológica, a educação é vista não apenas como um meio de transmissão de conhecimento, mas também como um mecanismo através do qual as normas, valores e hierarquias sociais são perpetuadas ou contestadas. Autores como Pierre Bourdieu, com sua teoria sobre o capital cultural, e Basil Bernstein, com suas ideias sobre códigos linguísticos, têm oferecido contribuições fundamentais para entender a relação entre capital cultural, poder e educação. Eles argumentam que o sistema educacional tende a favorecer os grupos sociais dominantes através da legitimação de seus códigos culturais. Nesse contexto, políticas educacionais que visam à inclusão e equidade, como as promovidas pela UNESCO e pelo Ministério da Educação de diversos países, procuram mitigar os efeitos da desigualdade social no acesso e na qualidade da educação. Essas políticas propõem modelos educacionais que reconhecem e valorizam a diversidade cultural e socioeconômica dos estudantes.
A respeito dessas asserções, assinale a alternativa correta.
I. A educação pode ser vista como um mecanismo de perpetuação das normas e valores sociais.
PORQUE
II. A teoria do capital cultural de Pierre Bourdieu sugere que o sistema educacional tende a favorecer os grupos sociais dominantes.
a) As asserções I e II são proposições verdadeiras e a II não justifica a I.
b) A asserção I é uma proposição verdadeira e a II, falsa.
c) As asserções I e II são proposições verdadeiras e a II justifica a I.
d) A asserção I é uma proposição falsa e a II, verdadeira.
e) As asserções I e II são proposições falsas.

Estudos científicos indicam que a avaliação deve ultrapassar a simples medição de resultados acadêmicos, englobando uma análise crítica das práticas pedagógicas e dos contextos educacionais. Conceder notas mais altas a alunos "bonzinhos" não deve fazer parte das responsabilidades do professor-avaliador. Avaliações baseadas em comportamento, raça ou outros fatores não relacionados ao desempenho cognitivo não se qualificam como avaliação educacional. O foco da avaliação deve ser a capacidade de leitura, ou qualquer outra habilidade específica, servindo como guia para o processo avaliativo. Nesse sentido, a avaliação deve ser utilizada como um processo contínuo de reflexão e ajuste, capaz de informar políticas e práticas pedagógicas, garantindo que todos os estudantes tenham as mesmas oportunidades de aprendizagem, independentemente de suas condições socioeconômicas, culturais ou individuais.
Considerando o contexto apresentado, é correto o que se afirma em:
I. A avaliação educacional deve ir além da simples mensuração de resultados acadêmicos, incluindo uma análise crítica das práticas pedagógicas e dos contextos educacionais.
II. A prática de dar melhores notas aos alunos que apresentam bom comportamento é uma abordagem válida dentro do escopo de trabalho do professor-avaliador.
III. Avaliações que consideram fatores não relacionados ao desempenho cognitivo são adequadas para medir o desenvolvimento dos alunos.
IV. A avaliação deve ser um processo contínuo de reflexão e ajuste, informando políticas e práticas pedagógicas para garantir oportunidades de aprendizagem equitativas para todos os estudantes.
a) I e III, apenas.
b) II e IV, apenas.
c) I, II e IV, apenas.
d) I e IV, apenas.
e) I, II, III e IV.

A avaliação educacional é um tema de grande relevância e complexidade no cenário pedagógico contemporâneo. Segundo estudiosos como Bauer (2019), a avaliação não deve ser vista apenas como um momento para verificar o cumprimento de metas educacionais, mas sim como um processo contínuo e integrador que contribui de maneira significativa para o desenvolvimento do aluno e a melhoria da qualidade do ensino. Ela se distancia da simples mensuração de conteúdos memorizados, adotando um papel formativo e orientador. Nesse contexto, a avaliação deve ser vista como uma ferramenta diagnóstica que permite ao educador identificar não apenas as dificuldades e lacunas na aprendizagem dos alunos, mas também suas potencialidades e progressos. Esse processo avaliativo deve ser fundamentado em critérios claros e objetivos, estabelecidos de forma colaborativa entre professores e alunos, garantindo assim maior transparência ao longo do processo.
Analise as características do processo de avaliação educacional descrito por Bauer (2019) e diferencie a avaliação formativa da avaliação tradicional, considerando os seguintes aspectos:
a) A avaliação formativa é centrada na memorização de conteúdos, enquanto a avaliação tradicional foca no desenvolvimento contínuo do aluno.
b) A avaliação formativa é centrada no desenvolvimento contínuo do aluno, enquanto a avaliação tradicional foca na memorização de conteúdos.
c) A avaliação formativa é um processo pontual e isolado, enquanto a avaliação tradicional é contínua e integradora.
d) A avaliação formativa busca apenas identificar dificuldades e lacunas, enquanto a avaliação tradicional considera também as potencialidades e progressos dos alunos.
e) A avaliação formativa é um processo contínuo e integrador que contribui para o desenvolvimento do aluno, enquanto a avaliação tradicional é vista como um momento de verificação do cumprimento de objetivos educacionais.

Os debates sobre os objetivos e o funcionamento da escola são frequentes na história da educação, pois estão profundamente conectados aos interesses de diferentes grupos e às relações de poder, tanto em nível nacional quanto internacional. Essas práticas educativas também refletem disputas teóricas nas ciências humanas e da educação, abrangendo objetivos, organização, gestão e condução do processo de ensino-aprendizagem. A falta de consenso sobre os propósitos e funções da escola é ampliada pela ausência de um acordo em torno do conceito de "qualidade de ensino", resultando em diversas perspectivas no campo progressista. Nas políticas oficiais, há uma clara influência de diretrizes de organismos internacionais nas últimas décadas, impactando concepções de escola, conhecimento e formulação de currículos. Estudos recentes apontam que as políticas educacionais frequentemente refletem orientações de entidades como o Banco Mundial, que promovem a institucionalização de políticas de alívio da pobreza, vendo a escola como um local de acolhimento e proteção social. Isso muitas vezes resulta na implementação de um currículo focado em metas mensuráveis e específicas. No entanto, tais abordagens podem distorcer o propósito da escola como um espaço de formação cultural e científica, levando à desvalorização do conhecimento escolar significativo.
Considerando o contexto apresentado, avalie as seguintes asserções e a relação proposta entre elas.
I. A influência de organismos internacionais nas políticas educacionais tem promovido a institucionalização de políticas de alívio da pobreza, com a escola sendo vista como um local de acolhimento e proteção social.
PORQUE
II. A implementação de currículos voltados para metas mensuráveis específicas pode distorcer o propósito da escola como um espaço de formação cultural e científica.
a) As asserções I e II são proposições falsas e a II justifica a I.
b) As asserções I e II são proposições verdadeiras, mas a II não justifica a I.
c) As asserções I e II são proposições verdadeiras e a II justifica a I.
d) A asserção I é uma proposição verdadeira e a II, falsa.
e) A asserção I é uma proposição falsa e a II, verdadeira.

A interseção entre teoria e prática educacional se destaca como um aspecto fundamental na Pedagogia, estabelecendo um modelo para o desenvolvimento de metodologias de ensino que são tanto reflexivas quanto adaptativas. Esse modelo sublinha a importância de um diálogo contínuo entre os princípios teóricos e as experiências práticas. Tal abordagem é vital para a formação de profissionais da educação que possam responder de maneira dinâmica às demandas e especificidades de cada contexto educativo. A prática pedagógica, sustentada por uma base teórica sólida, facilita a aplicação de estratégias didáticas e promove um ambiente de aprendizagem que valoriza a investigação, a experimentação e o pensamento crítico. Esse enfoque não só aprimora o processo de ensino-aprendizagem, mas também contribui para a construção de um conhecimento profundamente enraizado nas experiências dos alunos, permitindo uma maior personalização e relevância educacional. Além disso, é reconhecida a importância de uma prática reflexiva entre os educadores. Essa prática permite uma constante reavaliação e ajuste das abordagens pedagógicas com base nos resultados observados, alinhando-se às diretrizes de uma educação progressista que busca atender às necessidades individuais e coletivas dos estudantes.
Assinale a alternativa que aplica corretamente os princípios de uma prática pedagógica reflexiva e adaptativa no processo de aprendizagem de crianças, jovens e adultos.
a) Um professor de matemática utiliza uma abordagem tradicional, focada em aulas expositivas e exercícios repetitivos, para garantir que todos os alunos memorizem as fórmulas.
b) Um instrutor de educação física repensa suas estratégias diversas vezes ao longo do semestre, buscando novas formas de engajar os alunos em atividades físicas, com base nas suas preferências e feedback.
c) Um educador de história segue rigorosamente o livro didático, sem considerar as experiências e conhecimentos prévios dos alunos, para manter a uniformidade do conteúdo.
d) Uma professora de língua portuguesa aplica testes padronizados regularmente, sem ajustar suas estratégias de ensino, para avaliar o desempenho dos alunos de forma objetiva.
e) Uma professora de ciências adapta suas aulas conforme as dúvidas e dificuldades apresentadas pelos alunos, promovendo atividades práticas e discussões em grupo para facilitar a compreensão dos conceitos.

No dilema entre inovar ou continuar com propostas que trazem segurança ao professor, buscar novas perspectivas de atuação ou utilizar materiais e atividades já existentes, conhecer novas possibilidades por meio de estudos recentes ou investir tempo em outras atividades, as escolhas feitas por muitos docentes frequentemente tendem a ser as segundas opções. Muitos desses profissionais nem possuem escolha, dadas as condições de trabalho que enfrentam. Essa tendência resulta, além da perpetuação de práticas pedagógicas tradicionais, em uma resistência à mudança dos paradigmas escolares. Observa-se, de forma quase generalizada, a reprodução de atividades impressas ou desenvolvidas com os estudantes da mesma maneira que eram feitas anos atrás, na esperança de que sejam aceitas e alcancem hoje os mesmos objetivos necessários àquele tempo. O que causa estranheza é que, apesar de ter se passado muito tempo desde a instituição da escola até o presente momento, essas práticas ainda são muito comuns. Familiarizar-se com a descrição anterior não seria surpreendente, pois é a maneira como muitas pessoas foram e ainda são "ensinadas". (Bittencourt; Scatolin, p. 1)
Assinale a alternativa que analisa corretamente as implicações da escolha de práticas pedagógicas tradicionais pelos docentes, conforme discutido no texto.
a- A escolha por práticas pedagógicas tradicionais pelos docentes demonstra uma adaptação eficiente às novas demandas educacionais, garantindo a atualização constante dos métodos de ensino.
b- A perpetuação de práticas pedagógicas tradicionais pelos docentes, apesar das condições de trabalho, indica uma resistência à inovação e uma dificuldade em adotar novas perspectivas de atuação.
c- A utilização de materiais e atividades já existentes pelos docentes é uma estratégia que promove a inovação e a renovação dos paradigmas escolares, atendendo às necessidades contemporâneas dos estudantes.
d- A reprodução de atividades impressas e desenvolvidas da mesma maneira que eram feitas anos atrás pelos docentes é uma evidência de que as práticas pedagógicas tradicionais são as mais eficazes para o processo de aprendizagem.
e- A escolha por práticas pedagógicas tradicionais pelos docentes reflete uma adaptação às condições de trabalho, sem impacto significativo na resistência à mudança dos paradigmas escolares.

Material
páginas com resultados encontrados.
páginas com resultados encontrados.
left-side-bubbles-backgroundright-side-bubbles-background

Crie sua conta grátis para liberar esse material. 🤩

Já tem uma conta?

Ao continuar, você aceita os Termos de Uso e Política de Privacidade

left-side-bubbles-backgroundright-side-bubbles-background

Crie sua conta grátis para liberar esse material. 🤩

Já tem uma conta?

Ao continuar, você aceita os Termos de Uso e Política de Privacidade

left-side-bubbles-backgroundright-side-bubbles-background

Crie sua conta grátis para liberar esse material. 🤩

Já tem uma conta?

Ao continuar, você aceita os Termos de Uso e Política de Privacidade

left-side-bubbles-backgroundright-side-bubbles-background

Crie sua conta grátis para liberar esse material. 🤩

Já tem uma conta?

Ao continuar, você aceita os Termos de Uso e Política de Privacidade

left-side-bubbles-backgroundright-side-bubbles-background

Crie sua conta grátis para liberar esse material. 🤩

Já tem uma conta?

Ao continuar, você aceita os Termos de Uso e Política de Privacidade

left-side-bubbles-backgroundright-side-bubbles-background

Crie sua conta grátis para liberar esse material. 🤩

Já tem uma conta?

Ao continuar, você aceita os Termos de Uso e Política de Privacidade

left-side-bubbles-backgroundright-side-bubbles-background

Crie sua conta grátis para liberar esse material. 🤩

Já tem uma conta?

Ao continuar, você aceita os Termos de Uso e Política de Privacidade

left-side-bubbles-backgroundright-side-bubbles-background

Crie sua conta grátis para liberar esse material. 🤩

Já tem uma conta?

Ao continuar, você aceita os Termos de Uso e Política de Privacidade

left-side-bubbles-backgroundright-side-bubbles-background

Crie sua conta grátis para liberar esse material. 🤩

Já tem uma conta?

Ao continuar, você aceita os Termos de Uso e Política de Privacidade

left-side-bubbles-backgroundright-side-bubbles-background

Crie sua conta grátis para liberar esse material. 🤩

Já tem uma conta?

Ao continuar, você aceita os Termos de Uso e Política de Privacidade

Questões resolvidas

da Educação, como um ramo da sociologia, investiga as formas pelas quais a educação e os processos educativos estão imbricados nas estruturas sociais, econômicas e políticas da sociedade. Este campo analisa como a educação contribui para a reprodução das desigualdades sociais e explora as potencialidades transformadoras da educação na promoção da igualdade e justiça social. A partir da perspectiva sociológica, a educação é vista não apenas como um meio de transmissão de conhecimento, mas também como um mecanismo através do qual as normas, valores e hierarquias sociais são perpetuadas ou contestadas. Autores como Pierre Bourdieu, com sua teoria sobre o capital cultural, e Basil Bernstein, com suas ideias sobre códigos linguísticos, têm oferecido contribuições fundamentais para entender a relação entre capital cultural, poder e educação. Eles argumentam que o sistema educacional tende a favorecer os grupos sociais dominantes através da legitimação de seus códigos culturais. Nesse contexto, políticas educacionais que visam à inclusão e equidade, como as promovidas pela UNESCO e pelo Ministério da Educação de diversos países, procuram mitigar os efeitos da desigualdade social no acesso e na qualidade da educação. Essas políticas propõem modelos educacionais que reconhecem e valorizam a diversidade cultural e socioeconômica dos estudantes.
A respeito dessas asserções, assinale a alternativa correta.
I. A educação pode ser vista como um mecanismo de perpetuação das normas e valores sociais.
PORQUE
II. A teoria do capital cultural de Pierre Bourdieu sugere que o sistema educacional tende a favorecer os grupos sociais dominantes.
a) As asserções I e II são proposições verdadeiras e a II não justifica a I.
b) A asserção I é uma proposição verdadeira e a II, falsa.
c) As asserções I e II são proposições verdadeiras e a II justifica a I.
d) A asserção I é uma proposição falsa e a II, verdadeira.
e) As asserções I e II são proposições falsas.

Estudos científicos indicam que a avaliação deve ultrapassar a simples medição de resultados acadêmicos, englobando uma análise crítica das práticas pedagógicas e dos contextos educacionais. Conceder notas mais altas a alunos "bonzinhos" não deve fazer parte das responsabilidades do professor-avaliador. Avaliações baseadas em comportamento, raça ou outros fatores não relacionados ao desempenho cognitivo não se qualificam como avaliação educacional. O foco da avaliação deve ser a capacidade de leitura, ou qualquer outra habilidade específica, servindo como guia para o processo avaliativo. Nesse sentido, a avaliação deve ser utilizada como um processo contínuo de reflexão e ajuste, capaz de informar políticas e práticas pedagógicas, garantindo que todos os estudantes tenham as mesmas oportunidades de aprendizagem, independentemente de suas condições socioeconômicas, culturais ou individuais.
Considerando o contexto apresentado, é correto o que se afirma em:
I. A avaliação educacional deve ir além da simples mensuração de resultados acadêmicos, incluindo uma análise crítica das práticas pedagógicas e dos contextos educacionais.
II. A prática de dar melhores notas aos alunos que apresentam bom comportamento é uma abordagem válida dentro do escopo de trabalho do professor-avaliador.
III. Avaliações que consideram fatores não relacionados ao desempenho cognitivo são adequadas para medir o desenvolvimento dos alunos.
IV. A avaliação deve ser um processo contínuo de reflexão e ajuste, informando políticas e práticas pedagógicas para garantir oportunidades de aprendizagem equitativas para todos os estudantes.
a) I e III, apenas.
b) II e IV, apenas.
c) I, II e IV, apenas.
d) I e IV, apenas.
e) I, II, III e IV.

A avaliação educacional é um tema de grande relevância e complexidade no cenário pedagógico contemporâneo. Segundo estudiosos como Bauer (2019), a avaliação não deve ser vista apenas como um momento para verificar o cumprimento de metas educacionais, mas sim como um processo contínuo e integrador que contribui de maneira significativa para o desenvolvimento do aluno e a melhoria da qualidade do ensino. Ela se distancia da simples mensuração de conteúdos memorizados, adotando um papel formativo e orientador. Nesse contexto, a avaliação deve ser vista como uma ferramenta diagnóstica que permite ao educador identificar não apenas as dificuldades e lacunas na aprendizagem dos alunos, mas também suas potencialidades e progressos. Esse processo avaliativo deve ser fundamentado em critérios claros e objetivos, estabelecidos de forma colaborativa entre professores e alunos, garantindo assim maior transparência ao longo do processo.
Analise as características do processo de avaliação educacional descrito por Bauer (2019) e diferencie a avaliação formativa da avaliação tradicional, considerando os seguintes aspectos:
a) A avaliação formativa é centrada na memorização de conteúdos, enquanto a avaliação tradicional foca no desenvolvimento contínuo do aluno.
b) A avaliação formativa é centrada no desenvolvimento contínuo do aluno, enquanto a avaliação tradicional foca na memorização de conteúdos.
c) A avaliação formativa é um processo pontual e isolado, enquanto a avaliação tradicional é contínua e integradora.
d) A avaliação formativa busca apenas identificar dificuldades e lacunas, enquanto a avaliação tradicional considera também as potencialidades e progressos dos alunos.
e) A avaliação formativa é um processo contínuo e integrador que contribui para o desenvolvimento do aluno, enquanto a avaliação tradicional é vista como um momento de verificação do cumprimento de objetivos educacionais.

Os debates sobre os objetivos e o funcionamento da escola são frequentes na história da educação, pois estão profundamente conectados aos interesses de diferentes grupos e às relações de poder, tanto em nível nacional quanto internacional. Essas práticas educativas também refletem disputas teóricas nas ciências humanas e da educação, abrangendo objetivos, organização, gestão e condução do processo de ensino-aprendizagem. A falta de consenso sobre os propósitos e funções da escola é ampliada pela ausência de um acordo em torno do conceito de "qualidade de ensino", resultando em diversas perspectivas no campo progressista. Nas políticas oficiais, há uma clara influência de diretrizes de organismos internacionais nas últimas décadas, impactando concepções de escola, conhecimento e formulação de currículos. Estudos recentes apontam que as políticas educacionais frequentemente refletem orientações de entidades como o Banco Mundial, que promovem a institucionalização de políticas de alívio da pobreza, vendo a escola como um local de acolhimento e proteção social. Isso muitas vezes resulta na implementação de um currículo focado em metas mensuráveis e específicas. No entanto, tais abordagens podem distorcer o propósito da escola como um espaço de formação cultural e científica, levando à desvalorização do conhecimento escolar significativo.
Considerando o contexto apresentado, avalie as seguintes asserções e a relação proposta entre elas.
I. A influência de organismos internacionais nas políticas educacionais tem promovido a institucionalização de políticas de alívio da pobreza, com a escola sendo vista como um local de acolhimento e proteção social.
PORQUE
II. A implementação de currículos voltados para metas mensuráveis específicas pode distorcer o propósito da escola como um espaço de formação cultural e científica.
a) As asserções I e II são proposições falsas e a II justifica a I.
b) As asserções I e II são proposições verdadeiras, mas a II não justifica a I.
c) As asserções I e II são proposições verdadeiras e a II justifica a I.
d) A asserção I é uma proposição verdadeira e a II, falsa.
e) A asserção I é uma proposição falsa e a II, verdadeira.

A interseção entre teoria e prática educacional se destaca como um aspecto fundamental na Pedagogia, estabelecendo um modelo para o desenvolvimento de metodologias de ensino que são tanto reflexivas quanto adaptativas. Esse modelo sublinha a importância de um diálogo contínuo entre os princípios teóricos e as experiências práticas. Tal abordagem é vital para a formação de profissionais da educação que possam responder de maneira dinâmica às demandas e especificidades de cada contexto educativo. A prática pedagógica, sustentada por uma base teórica sólida, facilita a aplicação de estratégias didáticas e promove um ambiente de aprendizagem que valoriza a investigação, a experimentação e o pensamento crítico. Esse enfoque não só aprimora o processo de ensino-aprendizagem, mas também contribui para a construção de um conhecimento profundamente enraizado nas experiências dos alunos, permitindo uma maior personalização e relevância educacional. Além disso, é reconhecida a importância de uma prática reflexiva entre os educadores. Essa prática permite uma constante reavaliação e ajuste das abordagens pedagógicas com base nos resultados observados, alinhando-se às diretrizes de uma educação progressista que busca atender às necessidades individuais e coletivas dos estudantes.
Assinale a alternativa que aplica corretamente os princípios de uma prática pedagógica reflexiva e adaptativa no processo de aprendizagem de crianças, jovens e adultos.
a) Um professor de matemática utiliza uma abordagem tradicional, focada em aulas expositivas e exercícios repetitivos, para garantir que todos os alunos memorizem as fórmulas.
b) Um instrutor de educação física repensa suas estratégias diversas vezes ao longo do semestre, buscando novas formas de engajar os alunos em atividades físicas, com base nas suas preferências e feedback.
c) Um educador de história segue rigorosamente o livro didático, sem considerar as experiências e conhecimentos prévios dos alunos, para manter a uniformidade do conteúdo.
d) Uma professora de língua portuguesa aplica testes padronizados regularmente, sem ajustar suas estratégias de ensino, para avaliar o desempenho dos alunos de forma objetiva.
e) Uma professora de ciências adapta suas aulas conforme as dúvidas e dificuldades apresentadas pelos alunos, promovendo atividades práticas e discussões em grupo para facilitar a compreensão dos conceitos.

No dilema entre inovar ou continuar com propostas que trazem segurança ao professor, buscar novas perspectivas de atuação ou utilizar materiais e atividades já existentes, conhecer novas possibilidades por meio de estudos recentes ou investir tempo em outras atividades, as escolhas feitas por muitos docentes frequentemente tendem a ser as segundas opções. Muitos desses profissionais nem possuem escolha, dadas as condições de trabalho que enfrentam. Essa tendência resulta, além da perpetuação de práticas pedagógicas tradicionais, em uma resistência à mudança dos paradigmas escolares. Observa-se, de forma quase generalizada, a reprodução de atividades impressas ou desenvolvidas com os estudantes da mesma maneira que eram feitas anos atrás, na esperança de que sejam aceitas e alcancem hoje os mesmos objetivos necessários àquele tempo. O que causa estranheza é que, apesar de ter se passado muito tempo desde a instituição da escola até o presente momento, essas práticas ainda são muito comuns. Familiarizar-se com a descrição anterior não seria surpreendente, pois é a maneira como muitas pessoas foram e ainda são "ensinadas". (Bittencourt; Scatolin, p. 1)
Assinale a alternativa que analisa corretamente as implicações da escolha de práticas pedagógicas tradicionais pelos docentes, conforme discutido no texto.
a- A escolha por práticas pedagógicas tradicionais pelos docentes demonstra uma adaptação eficiente às novas demandas educacionais, garantindo a atualização constante dos métodos de ensino.
b- A perpetuação de práticas pedagógicas tradicionais pelos docentes, apesar das condições de trabalho, indica uma resistência à inovação e uma dificuldade em adotar novas perspectivas de atuação.
c- A utilização de materiais e atividades já existentes pelos docentes é uma estratégia que promove a inovação e a renovação dos paradigmas escolares, atendendo às necessidades contemporâneas dos estudantes.
d- A reprodução de atividades impressas e desenvolvidas da mesma maneira que eram feitas anos atrás pelos docentes é uma evidência de que as práticas pedagógicas tradicionais são as mais eficazes para o processo de aprendizagem.
e- A escolha por práticas pedagógicas tradicionais pelos docentes reflete uma adaptação às condições de trabalho, sem impacto significativo na resistência à mudança dos paradigmas escolares.

Prévia do material em texto

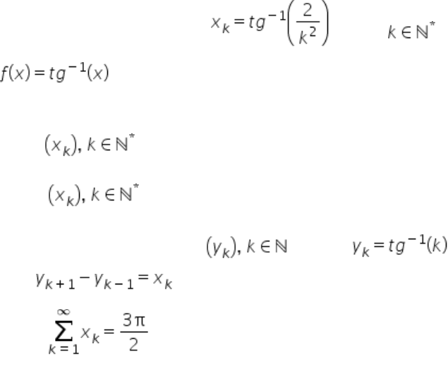
Considere a sequência de números reais , em que , e que a função   representa a função arco-tangente de x. A respeito dessa sequência, analise as afirmações a seguir.
I. A sequência  é limitada inferiormente e superiormente.
II. A sequência é convergente e seu limite é igual a zero.
III. Ao definirmos a sequência  dada por  dada por , então é verdade que .
IV. Tem-se que .
É correto APENAS o que se afirma em:
Alternativas:
· a)
I e III.
· b)
II e IV.
· c)
I, II e III.
· d)
I, II e IV.
· e)
I, II, III e IV.
2)
As transformações lineares são fundamentais no estudo da Álgebra Linear porque elas representam a maneira como vetores e espaços vetoriais podem ser mapeados de um espaço a outro, permitindo entender como os vetores se comportam sob mudanças de base, rotações, reflexões, escalonamentos e translações.
Considerando o contexto das transformações lineares sobre um espaço vetorial, analise as afirmativas a seguir.
I. Algumas transformações lineares mantêm determinados vetores com mesma direção, a menos de um escalar fixo.
II. O operador linear dado pela matriz de transformação  é diagonalizável.
III. Matrizes semelhantes têm mesmo polinômio característico.
IV. Autovetores associados a autovalores distintos em uma matriz simétrica são necessariamente ortogonais.
É correto APENAS o que se afirma em:
Alternativas:
· a)
I e III.
· b)
II e IV.
· c)
I, II e III.
· d)
I, II e IV.
· e)
I, II, III e IV.
3)
Um dos conceitos fundamentais na fundamentação da Álgebra e da Aritmética é o conceito de relação de equivalência. Esse tipo de relação é uma generalização da igualdade e coloca elementos distintos de um mesmo conjunto como sendo "iguais" em relação a determinado ponto de vista. Relações de equivalência são fundamentais na Matemática Pura porque permitem a construção de novas estruturas a partir de objetos existentes. Elas são definidas por três propriedades essenciais: reflexividade, simetria e transitividade. Quando uma relação de equivalência é estabelecida em um conjunto, ele pode ser particionado em subconjuntos disjuntos chamados classes de equivalência. Esses subconjuntos organizam os elementos de maneira que elementos relacionados entre si, sob a relação de equivalência, pertençam à mesma classe. A utilização de classes de equivalência facilita a simplificação e o estudo de estruturas mais complexas. Por exemplo, em Álgebra, classes de equivalência são usadas em diversas construções, tais como quocientes de grupos, onde grupos são divididos em cosets, cada um representando uma classe de equivalência; quocientes de anéis, onde anéis são particionados em ideais, que formam classes de equivalência; módulos, estruturas que generalizam vetores, onde classes de equivalência ajudam na simplificação de operações; e espaços vetoriais, onde subespaços vetoriais podem ser vistos como classes de equivalência. Portanto, o conceito de relação de equivalência não só generaliza a ideia de igualdade, mas também fornece uma ferramenta poderosa para a organização e simplificação de estruturas matemáticas complexas. Isso permite um estudo mais profundo e uma melhor compreensão das propriedades intrínsecas dessas estruturas.
Considerando a compreensão desse tipo de relação, assinale a alternativa correta.
Alternativas:
· a)
No estudo da teoria de anéis, todo anel pode ser particionado segundo qualquer de seus subanéis, que induzem uma relação de equivalência.
· b)
O núcleo de um homomorfismo entre grupos induz uma relação de equivalência, mas o mesmo não ocorre entre homomorfismos de anéis.
· c)
No estudo de grupos quocientes, são colocadas como classes de equivalência as classes laterais de um subgrupo normal ao grupo dado.
· d)
É impossível estabelecer uma relação de equivalência que particione o conjunto , pois classes de equivalência são definidas apenas para conjuntos finitos.
· e)
Uma relação de equivalência determina subconjuntos denominados classes de equivalência, cujas intersecções dois a dois geram diferentes subconjuntos não vazios.
4)
 O estudo da Geometria Analítica é poderosíssimo, pois o domínio desse conteúdo permite transformar problemas geométricos em problemas algébricos, e vice-versa. Um exemplo de aplicação é a determinação de lugares geométricos, ou seja, conjuntos de pontos do plano (ou do espaço) que satisfazem certas exigências. Dados três pontos A, B e P no plano, o lugar geométrico dos pontos desse plano tais que  é a mediatriz do segmento . A demonstração pode ser feita utilizando conceitos básicos de Geometria Analítica, tomando, sem perda de generalidade, A = (0, 0), B = (b, 0) e P = (x, y). Desenvolvendo a equação d(P, A) = d(P, B), onde d é a distância entre pontos, chega-se à equação , que é equação da reta perpendicular à  que passa por seu ponto médio.
Com base no contexto apresentado, avalie as seguintes asserções e a relação proposta entre elas.
O lugar geométrico dos pontos do plano tais que , com k constante positiva e k ? 1, é uma circunferência.
PORQUE
A equação desenvolvida resulta em .
A respeito dessas asserções, assinale a alternativa correta.
Alternativas:
· a)
As asserções I e II são proposições verdadeiras, mas a II não justifica a I.
· b)
As asserções I e II são proposições verdadeiras e a II justifica a I.
· c)
A asserção I é uma proposição verdadeira e a II, falsa.
· d)
A asserção I é uma proposição falsa e a II, verdadeira.
· e)
As asserções I e II são proposições falsas.
5)
 Seja V um espaço vetorial. Um operador linear  é chamado de autoadjunto se . Temos que se a matriz do operador T for uma matriz simétrica, então o operador é autoadjunto. Temos também que se  são autovalores distintos de um operador autoadjunto T, então os autovetores  associados aos autovalores  respectivamente, são ortogonais.
 
(Fernandes, L. F. D. Álgebra Linear. 2 ed. rev. e atual. Curitiba. InterSaberes, 2017)
 
Considere o operador  tal que .
Conclui-se o operador T apresentado
Alternativas:
· a)
não é autoadjunto.
· b)
é autoadjunto e a base ortogonal de autovetores é {(1, 0, 0), (0, 1, 1), (0, –1, 1)}.
· c)
é autoadjunto e os autovalores de T são 2, 5 e 7.
· d)
é autoadjunto e a base ortogonal de autovetores é {(1, 0, 0), (0, 1, 0), (0, 1, –1)}.
· e)
é autoadjunto e os autovalores de T são –2, –5 e 7.
6)
A cultura surda é um universo rico e complexo, abrangendo a vida e a identidade dos surdos, assim como o grupo social que formam. A ausência de audição não impede a interação linguística, a participação social ou a expressão cultural; pelo contrário, abre caminhos alternativos para essas áreas.
Ao explorar a realidade surda, seja por vivência ou estudo, encontramos uma riqueza de elementos culturais intrincados e estimulantes, caracterizados por formas alternativas de comunicação e interação. Esses elementos são nutridos nas comunidades surdas, embora ainda pouco compreendidos pelos ouvintes. Alguns aspectos fundamentais da cultura surda incluem:
- Visualidade: Central na vida dos surdos, é a principal forma de perceber e dar significado ao mundo.
- Línguas de Sinais: Complexas e visuoespaciais, são essenciais para a comunicação e reconhecidas como línguas naturais dos surdos.
- Família: enfrenta questões de aceitação e concepções sobre a surdez.
- Comunidade Surda: Composta por surdos e apoiadores ouvintes, promove interação e lutas sociais.
- Literatura Surda e Artes Visuais: Incluindo teatro e artes plásticas, demonstram a diversidade e criatividade da cultura surda.
- Adaptações Materiais: Como campainhas luminosas e dispositivos de vibração, exemplificam a inovação dentro dessa cultura.
Esses elementos destacam a riqueza e a complexidade da cultura surda, mostrando como a ausência de audição pode levar a formas únicas e criativas de interação e expressão.
Assinale a alternativa que formula corretamente um aspecto fundamental da cultura surda.
Alternativas:
· a)
A cultura surda é caracterizada pela predominância da comunicação escrita, sendo a principal forma de interação entre os surdos.
· b)
As línguas de sinais são reconhecidas como línguas naturais para os surdos e desempenhamimediato, permitindo que os alunos identifiquem e corrijam seus erros rapidamente.
Essas tendências educacionais buscam não apenas fortalecer a compreensão dos conceitos matemáticos, mas também preparar os alunos para aplicar seus conhecimentos de forma significativa em contextos do mundo real. Ao utilizar ferramentas tecnológicas, os professores conseguem criar um ambiente de aprendizagem mais dinâmico e adaptado às necessidades individuais dos estudantes. Isso promove um aprendizado mais profundo e duradouro, capacitando os alunos a enfrentar desafios futuros com maior confiança e competência.
Assinale a alternativa que avalia corretamente como a integração de ciência, tecnologia, engenharia, artes e matemática (STEAM) pode promover a criatividade, a inovação e o pensamento crítico dos alunos.
Alternativas:
· a)
A integração STEAM permite que os alunos desenvolvam habilidades de pensamento crítico ao resolver problemas matemáticos isolados, sem a necessidade de contextualização em outras áreas do conhecimento.
· b)
A abordagem STEAM incentiva a criatividade dos alunos ao permitir que eles explorem conceitos matemáticos de maneira interativa, utilizando aplicativos de aprendizagem, mas sem respeitar seu próprio ritmo de aprendizado.
· c)
A aplicação de STEAM em sala de aula promove a inovação ao exigir que os alunos memorizem fórmulas e procedimentos matemáticos, sem a necessidade de entender o contexto em que são aplicados.
· d)
A integração de STEAM nas aulas de matemática prepara os alunos para aplicar seus conhecimentos em contextos do mundo real, fortalecendo a compreensão dos conceitos matemáticos e desenvolvendo habilidades de pensamento crítico.
· e)
A abordagem STEAM limita a capacidade dos alunos de inovar, pois foca apenas na aplicação prática dos conceitos matemáticos, sem incentivar a exploração teórica.
43)
As metodologias ativas de aprendizagem são técnicas pedagógicas inovadoras que se baseiam em atividades instrucionais projetadas para engajar os estudantes, tornando-os protagonistas no processo de construção do próprio conhecimento. Diferentemente dos modelos tradicionais, onde o professor é o centro e principal transmissor de informações, as metodologias ativas incentivam os alunos a assumirem um papel mais ativo e participativo. Nesse contexto, os estudantes são estimulados a explorar, questionar, colaborar e refletir sobre os conteúdos, desenvolvendo assim uma compreensão mais profunda e significativa.
O papel do professor, nas metodologias ativas, é transformado de transmissor de conhecimento para mediador e facilitador do aprendizado. O professor orienta e conduz os alunos na solução de problemas, promovendo um ambiente de aprendizagem colaborativo e dinâmico. Ele oferece suporte e direcionamento, ajudando os estudantes a desenvolverem diversas competências, como pensamento crítico, criatividade, comunicação e trabalho em equipe.
Essas metodologias incluem uma variedade de abordagens, como aprendizagem baseada em projetos, aprendizagem baseada em problemas, sala de aula invertida e estudos de caso. Cada uma dessas abordagens tem como objetivo envolver os alunos de maneira ativa, promovendo a autonomia e a responsabilidade pelo próprio aprendizado. Através dessas técnicas, os estudantes são desafiados a aplicar o conhecimento em situações práticas e reais, o que facilita a retenção e a aplicação do que foi aprendido.
Assinale a alternativa que explica corretamente o papel do professor nas metodologias ativas de aprendizagem.
Alternativas:
· a)
Nas metodologias ativas, o professor é o principal responsável por transmitir o conteúdo de forma expositiva, enquanto os alunos absorvem passivamente as informações.
· b)
Nas metodologias ativas, o professor atua como mediador, orientando e conduzindo os alunos na solução de problemas e no desenvolvimento de competências.
· c)
Nas metodologias ativas, o professor tem a função de avaliar constantemente os alunos, sem a necessidade de mediar ou orientar o processo de aprendizagem.
· d)
Nas metodologias ativas, o professor deve garantir que todos os alunos sigam exatamente o mesmo ritmo e método de aprendizagem, para assegurar a uniformidade do conhecimento.
· e)
Nas metodologias ativas, o professor é responsável por criar um ambiente competitivo entre os alunos, incentivando a disputa pelo melhor desempenho acadêmico.
44)
O planejamento de conteúdo no ensino básico é essencial para garantir a qualidade da educação. Envolve a seleção e organização cuidadosa dos temas a serem abordados, considerando as habilidades e competências que os alunos devem desenvolver em cada etapa de sua jornada educacional. Além disso, inclui a escolha de metodologias de ensino adequadas, recursos didáticos e estratégias de avaliação, visando proporcionar uma experiência de aprendizagem significativa e eficaz. Um planejamento bem elaborado facilita a compreensão dos conceitos pelos alunos e promove o desenvolvimento de habilidades cognitivas, socioemocionais e práticas essenciais para sua formação integral.
Considerando o contexto apresentado, avalie as seguintes asserções e a relação proposta entre elas.
 
I. Um planejamento de conteúdo bem elaborado é fundamental para a compreensão dos conceitos pelos alunos e para o desenvolvimento de habilidades essenciais para sua formação integral.
 
PORQUE
 
II. A escolha de metodologias de ensino adequadas e estratégias de avaliação eficazes são componentes críticos de um planejamento de conteúdo bem elaborado.
A respeito dessas asserções, assinale a alternativa correta:
Alternativas:
· a)
As asserções I e II são proposições verdadeiras, mas a II não justifica a I.
· b)
As asserções I e II são proposições verdadeiras e a II justifica a I.
· c)
A asserção I é uma proposição verdadeira e a II, falsa.
· d)
A asserção I é uma proposição falsa e a II, verdadeira.
· e)
As asserções I e II são proposições falsas.
45)
Um professor de matemática está ensinando seus alunos sobre proporções e porcentagens. Para tornar o conceito mais claro, ele decide realizar uma atividade prática que envolve a mistura de diferentes substâncias para criar um produto final.
Ele fornece aos alunos três copos de água idênticos com diferentes concentrações de corantes alimentícios, com um copo que apresenta 5 gotas de corante azul, 3 gotas de corante vermelho e 1 gota de corante amarelo, e mistura em um recipiente a mistura, de forma a analisar a cor dessa mistura. Em seguida, os alunos são então divididos em grupos e instruídos a experimentar diferentes proporções desses ingredientes para criar novas misturas. Eles devem registrar as proporções que utilizaram e observar como isso afeta a cor das misturas. Os alunos discutem em grupo sobre as variações de cores obtidas e como as mudanças nas proporções influenciam o resultado final. Essa atividade prática não só ajuda a visualizar os conceitos matemáticos, mas também promove a colaboração e o pensamento crítico entre os alunos. Ao final da atividade, cada grupo apresenta suas descobertas e reflexões sobre a experiência, consolidando o aprendizado de maneira prática e interativa.
O método de ensino exemplificada pela experiência é conhecida como abordagem exploratória, pois
Alternativas:
· a)
incorpora estratégias de aprendizagem colaborativa.
· b)
promove a memorização de fórmulas e procedimentos.
· c)
inicia o conteúdo de maneira formal para depois explorar suas aplicações.
· d)
explora apenas as possibilidades da tecnologia na educação matemática.
· e)
fomenta a criatividade e o pensamento crítico dos alunos.
46)
Na turma do 7º ano do Ensino Fundamental, o professor de Matemática está organizando aulas sobre Geometria Plana. Ele observa que os alunos enfrentam desafios em entender e aplicar conceitos geométricos básicos, como áreas e perímetros de figuras planas, além de dificuldades em visualizar e desenhar figuras geométricas com precisão. Para superar essas dificuldades, o professor decide incorporar atividades práticas e manipulativas, utilizar recursos tecnológicos, promover a resoluçãode problemas e realizar avaliações formativas.
 
Considerando o contexto apresentado, analise as afirmativas a seguir:
 
 
I. Atividades práticas e manipulativas podem ajudar os alunos a desenhar e visualizar figuras geométricas com maior precisão.
II. O uso de tecnologias, como softwares de geometria dinâmica, tem pouco impacto na compreensão de conceitos geométricos básicos.
III. A resolução de problemas em grupo pode facilitar a aplicação dos conceitos de áreas e perímetros de figuras planas.
IV. Avaliações formativas permitem ao professor identificar os conhecimentos prévios dos alunos e ajustar o planejamento das aulas.
Considerando o contexto apresentado, é correto o que se afirma em:
Alternativas:
· a)
I e III, apenas.
· b)
II e IV, apenas.
· c)
I, II e III, apenas.
· d)
I, III e IV, apenas.
· e)
I, II, III e IV.
47)
Uma professora de matemática utiliza uma variedade de testes padronizados ao longo do ano letivo para avaliar o progresso dos alunos e comparar seu desempenho com a média nacional. Esses testes incluem avaliações diagnósticas, somativas, formativas e normativas. A professora precisa determinar quais tipos de avaliações são mais eficazes para diferentes objetivos educacionais, como identificar lacunas de aprendizagem, monitorar o progresso contínuo dos alunos e avaliar o desempenho final em relação a padrões estabelecidos.
Ela têm à sua disposição as avaliações diagnósticas, as formativas, as somativas e as normativas.
Ela utiliza uma combinação de avaliações diagnósticas, formativas, somativas e normativas para obter uma visão abrangente do progresso dos alunos e tomar decisões informadas sobre o ensino e a aprendizagem.
 
Considerando o contexto apresentado, analise as afirmativas a seguir:
 
I. As avaliações diagnósticas são aplicadas no início do ano letivo ou antes de iniciar um novo conteúdo, com o objetivo de identificar o nível de conhecimento prévio dos alunos e detectar possíveis lacunas de aprendizagem.
II. As avaliações formativas são realizadas ao longo do processo de ensino e aprendizagem, com o objetivo de monitorar o progresso contínuo dos alunos e fornecer feedback imediato.
III. As avaliações somativas são aplicadas ao final de um período de ensino, como um semestre ou ano letivo, e têm como objetivo avaliar o desempenho final dos alunos em relação aos padrões estabelecidos.
IV. As avaliações normativas comparam o desempenho dos alunos com a média nacional ou com outros grupos de estudantes, sendo úteis para entender como os alunos se posicionam em relação a um padrão mais amplo.
Considerando o contexto apresentado, é correto o que se afirma em:
Alternativas:
· a)
I e III, apenas.
· b)
II e IV, apenas.
· c)
I, II e III, apenas.
· d)
I, II e IV, apenas.
· e)
I, II, III e IV.
48)
Os recursos didáticos são essenciais no ensino de matemática, pois ajudam a tornar os conceitos mais acessíveis, compreensíveis e interessantes para os alunos. Em vez de depender apenas de métodos tradicionais, esses recursos oferecem uma variedade de ferramentas e abordagens que atendem às diferentes necessidades de aprendizagem dos estudantes.
Ao diversificar os recursos didáticos no ensino de matemática, os professores podem criar experiências de aprendizagem mais dinâmicas, envolventes e significativas. Materiais manipuláveis, como blocos de construção e ábacos, permitem que os alunos visualizem conceitos abstratos de maneira concreta, facilitando a compreensão. Softwares educativos e aplicativos interativos oferecem uma forma moderna e atraente de explorar conceitos matemáticos, permitindo que os alunos aprendam no seu próprio ritmo e recebam feedback imediato.
Além disso, jogos matemáticos podem tornar o aprendizado mais divertido e incentivar o desenvolvimento de habilidades de resolução de problemas e pensamento crítico. Livros didáticos bem estruturados fornecem uma base sólida para o currículo, oferecendo exercícios e exemplos que ajudam a consolidar o conhecimento. A utilização de vídeos educativos e tutoriais online também pode complementar as aulas, oferecendo diferentes perspectivas e métodos de explicação.
Essas abordagens diversificadas não apenas aumentam o interesse e a motivação dos alunos pela matemática, mas também promovem uma compreensão mais profunda e duradoura dos conceitos matemáticos. Ao atender às diversas necessidades e estilos de aprendizagem dos alunos, os educadores preparam os estudantes para o sucesso acadêmico e para enfrentar desafios futuros com confiança e competência. Em resumo, a integração de recursos didáticos variados no ensino de matemática é essencial para criar um ambiente de aprendizagem eficaz e estimulante.
A diversificação dos recursos didáticos no ensino de matemática é fundamental porque
Alternativas:
· a)
permite que os alunos memorizem conceitos matemáticos de forma mais rápida e eficiente.
· b)
facilita a visualização de conceitos abstratos e promove um aprendizado mais concreto e acessível.
· c)
substitui completamente a necessidade de livros didáticos e métodos tradicionais de ensino.
· d)
garante que todos os alunos aprendam exatamente da mesma maneira e no mesmo ritmo.
· e)
elimina a necessidade de feedback imediato e avaliações contínuas.
49)
Uma turma do 6º ano do Ensino Fundamental está estudando frações. O professor pretende ensinar os conceitos de adição e subtração de frações, tanto com denominadores iguais quanto diferentes. Levando em conta a diversidade de habilidades e estilos de aprendizagem dos alunos, o professor está explorando várias metodologias de ensino e abordagens mais ativas.
Para abordar a adição e subtração de frações com denominadores iguais, o professor utiliza materiais manipuláveis, como blocos fracionários, que permitem aos alunos visualizar e compreender melhor os conceitos. Além disso, ele emprega jogos educativos que incentivam a prática de operações com frações de forma lúdica e interativa, aumentando o engajamento dos estudantes.
 
Considerando o contexto apresentado, analise as afirmativas a seguir:
I. A aprendizagem baseada em problemas pode ajudar os alunos a compreenderem melhor a aplicação prática das frações, pois envolve a resolução de situações do cotidiano.
II. A abordagem manipulativa é eficaz para ensinar frações, pois permite que os alunos visualizem e manuseiem objetos que representam frações, facilitando a compreensão dos conceitos.
III. O método tradicional de ensino, que foca na repetição e memorização, é o mais adequado para ensinar frações, pois garante que todos os alunos aprendam no mesmo ritmo.
IV. A aprendizagem cooperativa pode ser benéfica para o ensino de frações, pois permite que os alunos trabalhem em grupo, trocando ideias e ajudando uns aos outros a entenderem os conceitos.
Considerando o contexto apresentado, é correto o que se afirma em:
Alternativas:
· a)
I e III, apenas.
· b)
II e IV, apenas.
· c)
I, II e III, apenas.
· d)
I, II e IV, apenas.
· e)
I, II, III e IV.
50)
Os recursos didáticos de Matemática para a Educação Básica são ferramentas cruciais para facilitar o ensino e a aprendizagem. Eles abrangem uma variedade de materiais, incluindo manipuláveis, softwares educativos, jogos, livros didáticos, entre outros. Materiais manipuláveis, como blocos de construção e ábacos, permitem que os alunos compreendam conceitos abstratos de forma tangível, tornando o aprendizado mais concreto e acessível. Softwares educativos oferecem uma maneira interativa para os alunos explorarem conceitos matemáticos, permitindo que aprendam no seu próprio ritmo e de acordo com suas necessidades individuais.
Jogos matemáticos são outra ferramenta valiosa, pois podem estimular o raciocínio lógico e a resolução de problemas de maneira divertida e envolvente. Esses jogos incentivam os alunos a pensar criticamente e a aplicar o que aprenderam em situações práticas. Livros didáticos, por outro lado, fornecem uma estrutura curricular bem definida e oferecem uma variedade de exercícios para prática e revisão, ajudando a consolidar o conhecimento adquirido. A implementação desses recursosem sala de aula pode aumentar significativamente a motivação dos alunos, tornando o aprendizado mais dinâmico e interessante. Além disso, esses recursos ajudam a melhorar a compreensão dos conceitos matemáticos, permitindo que os alunos desenvolvam uma base sólida de conhecimento. Eles também promovem o desenvolvimento de habilidades de pensamento crítico, que são essenciais para o sucesso acadêmico e para a vida cotidiana.
Considerando o contexto apresentado, avalie as seguintes asserções e a relação proposta entre elas.
 
I. Os materiais manipuláveis são importantes para o ensino de Matemática na Educação Básica, pois ajudam os alunos a entender conceitos abstratos de forma concreta.
 
PORQUE
 
II. Softwares educativos e jogos matemáticos são recursos que permitem a exploração interativa e incentivam o pensamento lógico e a resolução de problemas.
A respeito dessas asserções, assinale a alternativa correta.
Alternativas:
· a)
As asserções I e II são proposições verdadeiras, mas a II não justifica a I.
· b)
As asserções I e II são proposições verdadeiras e a II justifica a I.
· c)
A asserção I é uma proposição verdadeira e a II, falsa.
· d)
A asserção I é uma proposição falsa e a II, verdadeira.
· e)
As asserções I e II são proposições falsas.
51)
Para realizar uma análise mais detalhada dos dados coletados e organizados em tabelas, a Estatística utiliza diversas medidas. As medidas de posição, também conhecidas como medidas de tendência central, representam os fenômenos através de seus valores médios. Em contraste, as medidas de dispersão são usadas para avaliar a representatividade das medidas de posição, indicando o quão próximos ou distantes os dados estão da média.
 
Um questionário foi feito para avaliar um certo aplicativo e para isso foram coletadas 50 respostas dos usuários desse aplicativo, com as notas atribuídas por eles, sendo inteiros de 0 a 10. O resultado deste questionário está representado na tabela a seguir:
 
	Notas
	Frequência absoluta
	5
	6
	6
	12
	7
	15
	8
	10
	9
	7
 
Com base nessas informações, analise as afirmações a seguir. Para os cálculos, sempre fazer as aproximações de uma casa decimal.
 
I. A média populacional das notas é igual a 7.
II. A mediana das notas é 10.
III. A moda das notas é 15.
IV. O desvio padrão populacional é aproximadamente 1,2.
V. O coeficiente de variação é aproximadamente 21,1%.
Está correto o que se afirma em
Alternativas:
· a)
I e IV, apenas.
· b)
II e III, apenas.
· c)
I, II, III e V, apenas.
· d)
II, III e V, apenas.
· e)
I, II, III, IV e V.
52)
Considere que em uma urna existem cinco bolas, duas delas brancas e as demais pretas. O experimento aleatório consiste em retirar ao acaso uma bola da urna, verificar sua cor e retorná-la à urna. Nesse cenário, a probabilidade de retirar uma bola branca é de 2/5, enquanto a probabilidade de retirar uma bola preta é de 3/5. Se quisermos calcular a probabilidade condicional de retirar uma bola branca, dado que uma bola preta foi retirada anteriormente, precisamos considerar que a bola foi retornada à urna, mantendo as proporções originais.
A probabilidade condicional, nesse caso, não muda, pois o evento de retirar uma bola branca é independente do evento de retirar uma bola preta anteriormente, devido ao retorno da bola à urna. Assim, a probabilidade de retirar uma bola branca continua sendo 2/5. Esse exemplo ilustra como a probabilidade condicional pode ser aplicada e calculada em situações práticas, destacando a importância de entender a relação entre os eventos envolvidos.
 
Dentro deste contexto, avalie as asserções a seguir e a relação proposta entre elas.
 
I. A probabilidade de na terceira retirada a bola ser branca é de 40%.
 
PORQUE
 
II. As probabilidades sobre eventos sucessivos referentes à análise da cor da bola em cada retirada são condicionais.
A respeito dessas asserções, assinale a alternativa correta.
Alternativas:
· a)
As asserções I e II são proposições verdadeiras, mas a II não justifica a I.
· b)
As asserções I e II são proposições verdadeiras e a II justifica a I.
· c)
A asserção I é uma proposição verdadeira e a II, falsa.
· d)
A asserção I é uma proposição falsa e a II, verdadeira.
· e)
As asserções I e II são proposições falsas.
53)
A geometria analítica em três dimensões é uma ferramenta fundamental na matemática e em diversas áreas da ciência e engenharia. Ela permite a representação e análise de figuras geométricas no espaço tridimensional, utilizando coordenadas e equações algébricas. Dentre suas inúmeras aplicações, ela fornece as ferramentas matemáticas necessárias para analisar e resolver problemas complexos envolvendo a posição relativa de planos no espaço, sendo essencial para diversas disciplinas científicas e tecnológicas.
Suponha que três planos pertencentes ao espaço  apresentem as seguintes características:
O plano  apresenta vetor normal  e termo independente igual a –32;
O plano  apresenta vetor normal  e termo independente igual a –21;
O plano  apresenta vetor normal  e termo independente igual a –25.
Considere que a equação de um plano é dada por ax + by + cz + d = 0.
Qual é o ponto de intersecção entre esses três planos?
Alternativas:
· a)
(4, 7, 1)
· b)
(7, 4, 1)
· c)
(1, 7, 4)
· d)
(4, 1, 7)
· e)
(1, 4, 7)
54)
A hipérbole é uma das seções cônicas fundamentais na geometria analítica, juntamente com a elipse e a parábola. Em física, as trajetórias hiperbólicas são encontradas em problemas de mecânica celeste, como as órbitas de cometas e outros corpos celestes que passam perto de um planeta e depois se afastam. A hipérbole é definida como o lugar geométrico dos pontos do plano cuja diferença entre as distâncias entre um ponto P a outros dois fixos, chamados de focos, é uma constante.
Considere a hipérbole dada pela equação 9y2 – 16x2 – 54y + 64x – 127 = 0. Sobre a equação dessa curva, analise as afirmações a seguir:
I. O comprimento do eixo conjugado dessa hipérbole é 6.
II. As assíntotas dessa hipérbole são dadas por .
III. A hipérbole está centrada no ponto (3, 2).
IV. Os vértices da hipérbole são os pontos (2, –1) e (2, 7).
V. A excentricidade dessa hipérbole é de 1,25.
Está correto o que se afirma em
Alternativas:
· a)
I, II e V, apenas.
· b)
II, III e IV, apenas.
· c)
I, II, IV e V, apenas.
· d)
I, II, III e IV, apenas.
· e)
I, III, IV e V, apenas.
55)
A educação decolonial deve desafiar e desmantelar as estruturas coloniais de poder e conhecimento que perpetuam a desigualdade e a opressão. Esta perspectiva defende a importância e a necessidade de reconhecer e valorizar os saberes e práticas dos povos indígenas e afrodescendentes como parte fundamental do currículo escolar.
Considerando essa perspectiva, analise as seguintes afirmações sobre a implementação de uma educação para as relações étnico-raciais que incorpore histórias e culturas africanas, afro-brasileiras e indígenas.
I. A educação decolonial sugere que a inclusão de histórias e culturas africanas, afro-brasileiras e indígenas no currículo deve ser feita de maneira superficial, apenas para cumprir exigências legais, sem a necessidade de uma transformação profunda das práticas pedagógicas e dos conteúdos ensinados.
II. A pedagogia decolonial propõe que a educação para as relações étnico-raciais deve ir além da simples inclusão de conteúdos sobre histórias e culturas africanas, afro-brasileiras e indígenas, buscando uma transformação estrutural que questione e desestabilize as narrativas eurocêntricas e coloniais predominantes na educação.
III. A educação decolonial deve focar exclusivamente na valorização das culturas indígenas, deixando de lado as contribuições africanas e afro-brasileiras, pois estas já são suficientemente reconhecidas na sociedade brasileira.
Está correto o que se afirma em:
Alternativas:
· a)
apenas I
· b)
apenas II
· c)
apenas III
· d)
apenas I e II
· e)
I, II e III
56)
Um professor de Matemática deseja ilustrar o conceito de congruências em sala de aula utilizando um exemplo prático. Ele propõe o seguinte problema aos alunos:
"Suponha que um relógio digitalexiba as horas no formato de 24 horas. Se agora forem 14 horas, que horas serão após 1.000 horas?"
Ele então introduz a noção de congruências para resolver o problema de maneira eficiente.
Com base no problema proposto pelo professor, a hora exibida no relógio após 1.000 horas pode ser determinada utilizando congruências.
Considerando a operação , após 1.000 horas, o relógio estará marcando:
Alternativas:
· a)
6 horas.
· b)
10 horas.
· c)
12 horas.
· d)
14 horas.
· e)
16 horas.
57)
Um engenheiro de controle e automação está analisando a trajetória de um drone que se move no espaço tridimensional. A posição do drone em função do tempo t, medido em segundos, é modelada pela função vetorial:
onde i, j e k são os vetores da base canônica do .
O engenheiro deseja estudar a velocidade instantânea do drone em qualquer instante t.
Dada a função posição , a velocidade do drone é dada pela derivada .
Com base nessas informações, julgue as seguintes afirmações:
I. A função velocidade desse drone é .
II. O módulo da velocidade desse drone no instante  é 1.
III. O módulo da velocidade desse drone no instante  é .
IV. O módulo da velocidade desse drone no instante  é .
Está correto o que se afirma apenas em:
Alternativas:
· a)
I e II.
· b)
I e III.
· c)
II e IV.
· d)
I, II e IV.
· e)
II, III e IV.
58)
Um engenheiro mecânico está desenvolvendo um sistema de suspensão para um veículo e, para isso, analisa o comportamento dinâmico da suspensão quando submetida a pequenas perturbações. Esse comportamento pode ser modelado por uma equação diferencial ordinária de segunda ordem, descrevendo a resposta da suspensão em relação ao tempo.
No caso sem força externa, a equação diferencial que rege a dinâmica do sistema é dada por:
onde  representa a posição vertical da suspensão em função do tempo t.
O engenheiro deseja determinar a solução geral dessa equação para prever o comportamento da suspensão ao longo do tempo.
Com base na equação diferencial fornecida, assinale a alternativa que representa corretamente a solução geral da equação:
Alternativas:
· a)
 
· b)
 
· c)
 
· d)
 
· e)
 
59)
Não se trata, nem dos pais e responsáveis prestarem uma ajuda unilateral à escola, nem de a escola repassar parte do seu trabalho para os pais e responsáveis. O que se pretende é uma extensão da função educativa (mas não doutrinária) da escola para os pais e adultos responsáveis pelos estudantes. É claro que a realização desse trabalho deverá implicar a ida dos pais e responsáveis à escola e seu envolvimento em atividades com as quais eles não estão costumeiramente comprometidos.
 
Considerando as ideias do texto acima, avalie as afirmações a seguir:
 
I. Uma das facilidades na integração pais/responsáveis-escola é que esta comporta, em seus espaços acadêmicos, sociais e de interação, os diferentes segmentos da comunidade e, por isso, possibilita o compartilhar das responsabilidades.
II. O envolvimento dos pais e responsáveis na escola deve restringir-se a reuniões previamente agendadas e ao acompanhamento do rendimento acadêmico dos estudantes, pois o foco está em apoiar o processo educacional de forma pontual e eficaz.
III. Para funcionar adequadamente, a escola precisa do comprometimento de seus membros (não apenas dos educadores e estudantes, mas também dos pais e responsáveis) com as metas educacionais que ela pretende atingir.
 IV. A interação entre escola e pais/responsáveis deve ser fundamentada em uma colaboração mútua, na qual os pais/responsáveis sejam incentivados a participar do ambiente escolar, contribuindo para a construção de uma educação mais significativa.
É correto apenas o que se afirma em:
Alternativas:
· a)
I e II.
· b)
I e III.
· c)
III e IV.
· d)
I, II e IV.
· e)
II, III e IV.
60)
A Língua Brasileira de Sinais (Libras) tem reconhecimento oficial no Brasil e sua adoção em diferentes contextos sociais e educacionais é tema de debates. A comunicação das pessoas surdas pode se dar por diversas formas, e a acessibilidade linguística envolve fatores que vão além da simples disponibilidade de recursos, dependendo também de políticas públicas, formação profissional e aceitação social.
Na educação, diferentes abordagens foram adotadas ao longo do tempo, algumas priorizando a oralização e outras reconhecendo a Libras como parte essencial do desenvolvimento dos surdos. A maneira como essas estratégias são aplicadas influencia diretamente o aprendizado e a inserção dos surdos em diferentes espaços. O acesso à informação, à cultura e ao mercado de trabalho também está relacionado ao modo como a sociedade compreende a surdez e os direitos linguísticos dessa comunidade.
O avanço das legislações e políticas voltadas para os surdos trouxe novas possibilidades de participação, mas desafios permanecem. A efetivação de direitos linguísticos e educacionais ainda enfrenta obstáculos, incluindo a necessidade de profissionais qualificados, metodologias adaptadas e reconhecimento da diversidade dentro da própria comunidade surda.
 
Analise as afirmativas:
I. A oficialização da Libras como meio de comunicação no Brasil não garante, por si só, o acesso pleno dos surdos à educação, sendo necessária a implementação de políticas que assegurem sua aplicação efetiva em diferentes níveis de ensino.
II. A educação bilíngue para surdos requer não apenas o uso da Libras como língua de instrução, mas também estratégias específicas para o ensino do português como segunda língua, considerando as diferenças estruturais entre as duas línguas e suas implicações cognitivas.
III. A presença de intérpretes de Libras em espaços educacionais e profissionais é essencial e suficiente para garantir a participação plena dos surdos, secundarizando fatores como domínio da segunda língua e estratégias pedagógicas adaptadas relacionadas à identidade surda.
IV. O modo como a surdez é compreendida influencia diretamente as políticas públicas voltadas para a comunidade surda, podendo reforçar ora uma perspectiva centrada na reabilitação auditiva, ora um modelo que valoriza a língua e a cultura surda como elementos essenciais para a identidade e o desenvolvimento dos indivíduos.
Considerando o contexto apresentado, é correto o que se afirma em:
Alternativas:
· a)
I e III.
· b)
II e IV.
· c)
I, II e III.
· d)
I, II e IV.
· e)
I, II, III e IV.
61)
A capacidade de compreender conceitos científicos e aplicá-los no cotidiano é essencial para o desenvolvimento do pensamento crítico e reflexivo. No contexto da educação, o professor desempenha um papel fundamental ao incentivar os alunos a adotarem uma postura investigativa, baseada em evidências e na análise crítica da realidade. Considerando esse contexto, analise a seguinte situação:
Uma professora do Ensino Fundamental percebe que seus alunos acreditam que as plantas crescem apenas com água, sem necessidade de luz solar. Para trabalhar esse conceito, ela propõe um experimento em sala de aula, onde algumas plantas são colocadas em locais iluminados e outras em locais escuros, mantendo uma regra constante. Ao longo do tempo, os alunos observam e registam o crescimento das plantas, discutindo os resultados com base nas evidências recolhidas.
Com base na situação descrita, avalie as afirmativas a seguir:
I. Uma professora estimula o desenvolvimento do pensamento científico ao promover a observação e a análise de evidências.
II. O experimento proposto é inadequado, pois poderia confundir os alunos ao apresentar resultados divergentes do que acreditam.
III. A atividade desenvolve o letramento científico, pois promove a construção do conhecimento científico por meio da experimentação e da reflexão crítica sobre hipóteses prévias.
IV. A compreensão dos conceitos científicos, como a fotossíntese, é limitada a disciplinas específicas e não deve ser abordada em atividades interdisciplinares.
Está correto o que se afirma em:
Alternativas:
· a)
I e II, apenas.
· b)
I e III, apenas.
· c)
II e IV, apenas.
· d)
III e IV, apenas.
· e)
I, II e III, apenas.
62)
A inclusão de alunos com necessidades educacionais especiais (NEE) nasaulas de matemática é um desafio que requer a adoção de práticas pedagógicas inovadoras e inclusivas. Considerando as tendências atuais em Educação Matemática e os princípios da Educação Inclusiva, analise as afirmativas a seguir:
 
I - A utilização de tecnologias assistivas, como softwares de leitura de tela e calculadoras adaptadas, pode facilitar o acesso ao conteúdo matemático para alunos com deficiência visual.
II - A abordagem de ensino colaborativo, onde alunos com e sem NEE trabalham juntos em atividades matemáticas, promove a inclusão e o desenvolvimento de habilidades sociais e acadêmicas.
III - A diferenciação curricular, que envolve a adaptação de atividades e avaliações de acordo com as necessidades individuais dos alunos, é uma prática recomendada para atender à diversidade em sala de aula.
IV - A aplicação de métodos tradicionais de ensino, como a exposição oral e a resolução de exercícios no quadro, é suficiente para garantir a aprendizagem de todos os alunos, independentemente de suas necessidades específicas.
Assinale a alternativa correta:
Alternativas:
· a)
Apenas as afirmativas I e II estão corretas.
· b)
Apenas as afirmativas I, II e III estão corretas.
· c)
Apenas as afirmativas II e IV estão corretas.
· d)
Apenas as afirmativas I e IV estão corretas.
· e)
Todas as afirmativas estão corretas.
63)
Considere a função f(x) = x² - 4x + 3 e o intervalo [1, 3]. Com base nisso, avalie as seguintes asserções e a relação proposta entre elas:
 
I. A área da região delimitada pela curva y = f(x) e o eixo x, no intervalo [1, 3], é igual a 4/3.
 
PORQUE
 
II. A integral definida de f(x) no intervalo [1, 3] é igual a 8/3.
A respeito dessas asserções, assinale a alternativa correta:
Alternativas:
· a)
As asserções I e II são proposições verdadeiras, mas a II não justifica a I.
· b)
As asserções I e II são proposições verdadeiras e a II justifica a I.
· c)
A asserção I é uma proposição verdadeira e a II, falsa.
· d)
A asserção I é uma proposição falsa e a II, verdadeira.
· e)
As asserções I e II são proposições falsas.
64)
Na área da estatística e probabilidade, o boxplot, também conhecido como diagrama de caixa, é um gráfico que representa a distribuição de um conjunto de dados. Ele é uma ferramenta que ajuda a visualizar a variação de uma variável entre diferentes grupos de dados, bem como interpretar os quartis. Considere o conjunto de dados a seguir, que representa as notas de uma turma em uma prova de matemática:
 
5, 60, 65, 70, 75, 80, 85, 90, 95, 100, 112
 
Com base nesse conjunto de dados e no boxplot correspondente, determine qual é o valor do terceiro quartil (Q3) das notas dessa turma?
Marque a alternativa correta.
Alternativas:
· a)
Q3 = 75
· b)
Q3 = 80
· c)
Q3 = 85
· d)
Q3 = 90
· e)
Q3 = 95
image6.png
image7.png
image8.png
image9.png
image10.png
image11.png
image12.png
image13.png
image14.png
image15.png
image16.png
image17.png
image18.png
image19.png
image20.png
image21.png
image22.png
image23.png
image24.png
image25.png
image26.png
image27.png
image28.png
image29.png
image30.png
image31.png
image32.png
image33.png
image34.png
image35.png
image36.png
image37.png
image38.png
image39.png
image40.png
image41.png
image42.png
image43.png
image44.png
image45.png
image1.png
image46.png
image47.png
image48.png
image49.png
image50.png
image51.png
image52.png
image53.png
image54.png
image55.png
image2.png
image56.png
image57.png
image58.png
image59.png
image60.png
image61.png
image62.png
image63.png
image64.png
image65.png
image3.png
image66.png
image67.png
image68.png
image69.png
image70.png
image71.png
image72.png
image73.png
image74.png
image75.png
image4.png
image76.png
image77.png
image78.png
image5.pngum papel vital na comunicação dentro da cultura surda.
· c)
A cultura surda se baseia principalmente na utilização de tecnologias auditivas avançadas para facilitar a comunicação entre os surdos.
· d)
A comunidade surda não possui formas alternativas de expressão cultural, sendo dependente das formas culturais dos ouvintes.
· e)
A visualidade não desempenha um papel significativo na cultura surda, sendo a audição o principal meio de percepção do mundo.
7)
As teorias da educação constituem um campo de estudo voltado para a compreensão dos processos de ensino e aprendizagem, além dos princípios e fundamentos que orientam a prática educativa. Essas teorias abrangem uma ampla gama de conceitos e se diferenciam entre si, propondo diferentes abordagens. Trata-se de um campo interdisciplinar que integra conhecimentos de áreas como psicologia, sociologia, filosofia, pedagogia e outras ciências humanas.
No campo da educação, existem várias abordagens teóricas, cada uma com suas próprias concepções e perspectivas sobre o processo educativo. Segundo Libâneo (2006), essas tendências podem ser classificadas em dois grupos principais: as pedagogias não-críticas ou liberais, que têm como objetivo preparar os alunos para desempenhar papéis específicos na sociedade; e as pedagogias progressistas, que veem a educação como um processo sócio-político.
Essas diferentes abordagens refletem a diversidade de pensamentos e métodos dentro do campo da educação, mostrando que não há uma única maneira de entender ou aplicar práticas educativas.
Assinale a alternativa que explica corretamente a distinção entre as pedagogias não-críticas ou liberais e as pedagogias progressistas, conforme discutido no texto.
Alternativas:
· a)
As pedagogias não-críticas ou liberais têm como objetivo principal a preparação dos alunos para desempenhar papéis específicos na sociedade, enquanto as pedagogias progressistas veem a educação como um processo sócio-político.
· b)
As pedagogias não-críticas ou liberais focam na formação de cidadãos críticos, enquanto as pedagogias progressistas visam preparar os alunos para o mercado de trabalho.
· c)
As pedagogias não-críticas ou liberais e as pedagogias progressistas compartilham a mesma visão sobre o papel da educação na transformação social.
· d)
As pedagogias progressistas são baseadas em princípios de psicologia e sociologia, enquanto as pedagogias não-críticas ou liberais são fundamentadas na filosofia.
· e)
As pedagogias progressistas focam exclusivamente no desenvolvimento individual dos alunos, enquanto as pedagogias não-críticas ou liberais se concentram na formação de cidadãos críticos.
8)
As teorias modernas da educação abrangem uma variedade de abordagens, desde as tradicionais até as mais avançadas, e se relacionam com diversos aspectos do ato educativo. Entre esses aspectos estão a natureza do ato educativo, a relação entre sociedade e educação, os objetivos e conteúdos da formação, as formas institucionalizadas de ensino e a relação educativa. A literatura especializada oferece classificações conhecidas dessas teorias, frequentemente denominadas tendências, correntes ou paradigmas. Exemplos incluem a Pedagogia tradicional, a Pedagogia renovada, o Tecnicismo educacional e as Pedagogias críticas inspiradas na tradição moderna, como a Pedagogia libertária, a Pedagogia libertadora e a Pedagogia crítico-social.
Ao observar as práticas pedagógicas nas escolas brasileiras, percebe-se que essas tendências teóricas continuam ativas e estáveis. Elas mantêm um núcleo teórico forte, mesmo que pesquisas recentes tenham revelado novas nuances e focos de compreensão teórica. Isso não significa que novas tendências não estejam surgindo. Algumas já estão sendo experimentadas em nível operacional, enquanto outras ainda permanecem restritas ao mundo acadêmico.
 
Considerando o contexto apresentado, avalie as afirmativas a seguir:
I. As teorias pedagógicas modernas, como a Pedagogia Libertadora e a Pedagogia Crítico-Social, mantêm um núcleo teórico forte, mesmo que novas nuances e focos de compreensão teórica tenham surgido.
II. A Pedagogia Tradicional e o Tecnicismo Educacional ainda são relevantes nas práticas pedagógicas das escolas brasileiras, apesar da presença de novas tendências.
III. As novas tendências pedagógicas estão sendo experimentadas em nível operacional, mas algumas ainda permanecem restritas ao mundo acadêmico.
IV. A relação entre sociedade e educação é um aspecto central que influencia tanto as abordagens tradicionais quanto as modernas nas teorias pedagógicas.
Considerando o contexto apresentado, analise as afirmativas a seguir:
Alternativas:
· a)
I e III, apenas.
· b)
II e IV, apenas.
· c)
I, II e III, apenas.
· d)
I, II e IV, apenas.
· e)
I, II, III e IV.
9)
A evolução tecnológica tem transformado diversos setores da sociedade, especialmente a educação. As tecnologias educacionais são ferramentas e recursos que apoiam o processo de ensino e aprendizagem em variados contextos educacionais, desde a educação básica até o ensino superior, e em diferentes modalidades, com destaque para a educação a distância. Essas tecnologias têm o potencial de tornar a escola e o processo de construção do conhecimento mais atraentes e agradáveis. Atualmente, existe uma ampla variedade de tecnologias educacionais, cada uma com suas próprias características e funcionalidades. Elas facilitam a interação entre estudantes e professores.
Assinale a alternativa que avalia corretamente a relação entre as tecnologias da comunicação e informação (TIC's) e as práticas educativas na educação especial.
Alternativas:
· a)
As TIC são ferramentas que substituem completamente os recursos pedagógicos tradicionais na educação especial, proporcionando uma aprendizagem mais eficiente para todos os alunos com necessidades especiais.
· b)
As TIC permitem a personalização do ensino, adaptando os conteúdos e metodologias às necessidades específicas de cada aluno com deficiência, transtornos globais do desenvolvimento ou altas habilidades, complementando os recursos pedagógicos tradicionais.
· c)
As TIC são utilizadas principalmente para a comunicação entre professores e alunos, não tendo impacto significativo na adaptação de conteúdos curriculares para alunos com necessidades especiais.
· d)
As TIC são recursos exclusivos para alunos com deficiência física motora, não sendo aplicáveis a alunos com outras necessidades especiais, como altas habilidades ou deficiência auditiva.
· e)
As TIC são ferramentas que devem ser utilizadas apenas em instituições privadas de ensino, pois o sistema público não possui infraestrutura adequada para sua implementação na educação especial.
10)
As Tecnologias da Informação e Comunicação (TICs) referem-se aos dispositivos e softwares que facilitam o acesso à informação, como computadores, internet, inteligência artificial, smartphones, Wi-Fi, Bluetooth e câmeras fotográficas. Atualmente, a relação entre Educação e TICs é intrínseca, tornando esses campos indissociáveis. Os recursos tecnológicos simplificam os processos educativos, sendo utilizados para comunicar, acessar e disseminar informações. Além disso, permitem a produção de conhecimentos, a resolução de situações-problema, promovendo o protagonismo individual e o trabalho coletivo. Em sala de aula, as TICs possibilitam: leitura de textos em plataformas online, jogos digitais, exibição de filmes e produções audiovisuais, criação de murais virtuais, pesquisas de temas. Esses recursos são fundamentais para a modernização e eficiência do ensino, conforme discutido por Libâneo (2016) em suas análises sobre políticas educacionais no Brasil.
 
Considerando o contexto apresentado, analise as afirmativas a seguir:
I. As Tecnologias da Informação e Comunicação (TICs) facilitam o acesso à informação e simplificam os processos educativos, sendo utilizadas para comunicar, acessar e disseminar informações.
II. A utilização de TICs em sala de aula promove tanto o protagonismo individual quanto o trabalho coletivo, permitindo a produção de conhecimentose a resolução de situações-problema.
III. Os recursos tecnológicos, como jogos digitais e exibição de filmes, são fundamentais para a modernização e eficiência do ensino, conforme discutido por Libâneo (2016).
IV. As TICs, ao permitirem a leitura de textos em plataformas online e a criação de murais virtuais, tornam-se ferramentas essenciais para a realização de pesquisas de temas variados.
Considerando o contexto apresentado, é correto o que se afirma em:
Alternativas:
· a)
I e III, apenas.
· b)
II e IV, apenas.
· c)
I, II e III, apenas.
· d)
I, II e IV, apenas.
· e)
I, II, III e IV.
11)
O Atendimento Educacional Especializado (AEE) consiste em um conjunto de serviços, recursos e estratégias pedagógicas que facilitam o acesso, acompanhamento e permanência de alunos com deficiência, Transtornos Globais do Desenvolvimento (TGD) e altas habilidades/superdotação na educação básica, conforme estabelecido pelo Decreto n° 7611/2011. Este serviço é oferecido de forma complementar ao ensino regular, visando atender às necessidades individuais dos alunos.
O AEE inclui: adaptação de materiais didáticos, equipamentos ergonômicos, acompanhamento por profissionais de apoio, intérpretes, leitores de telas, softwares e outros recursos definidos pela tecnologia assistiva. É importante destacar que o público-alvo do AEE não se limita apenas a crianças com deficiências e transtorno do espectro autista, mas também inclui crianças com altas habilidades e superdotação.
O AEE pode ser realizado em uma sala de recursos multifuncionais (SRM), mas também pode ocorrer em outros ambientes escolares, conforme necessário. O trabalho do profissional do AEE ocorre em períodos específicos por semana, no contraturno, e envolve um diálogo constante com professores e estudantes. Essas práticas devem estar previstas no Projeto Político Pedagógico (PPP) de cada escola e ser organizadas em conjunto pelos gestores escolares, secretarias de Educação e educadores. A implementação da educação inclusiva traz benefícios não apenas para os alunos com necessidades especiais, mas também para todos os estudantes e educadores envolvidos.
O Atendimento Educacional Especializado (AEE) é um serviço que visa
Alternativas:
· a)
promover a exclusão dos alunos com deficiência do ensino regular.
· b)
adaptar o currículo escolar para todos os alunos, sem exceção.
· c)
atender às necessidades individuais dos alunos com deficiência, TGD e altas habilidades/superdotação.
· d)
substituir o ensino regular para alunos com necessidades especiais.
· e)
oferecer atividades extracurriculares para todos os alunos da escola.
12)
O transtorno do espectro autista (TEA) é caracterizado por um desenvolvimento atípico, manifestações comportamentais, dificuldades na comunicação e interação social, comportamentos repetitivos e estereotipados, além de um repertório limitado de interesses. As causas do TEA podem ser variadas, incluindo fatores genéticos e ambientais. A influência genética é heterogênea, enquanto fatores ambientais relatados incluem exposição a agentes químicos, deficiência de ácido fólico e vitamina D, prematuridade, processos infecciosos durante a gestação e idade parental avançada.
Os sinais de alerta no neurodesenvolvimento da criança podem ser percebidos desde os primeiros meses de vida, com o diagnóstico geralmente sendo feito entre 2 e 3 anos de idade. A prevalência é maior no sexo masculino. A identificação precoce de atrasos no desenvolvimento, o diagnóstico oportuno de TEA e o encaminhamento para intervenções comportamentais e apoio educacional podem resultar em melhores resultados a longo prazo. É importante enfatizar que a estimulação precoce deve ser iniciada em qualquer caso de suspeita de TEA ou desenvolvimento atípico, independentemente da confirmação diagnóstica.
 
Considerando o contexto apresentado, avalie as seguintes asserções e a relação proposta entre elas.
 
I. O diagnóstico precoce do transtorno do espectro autista (TEA) é fundamental para a implementação de intervenções comportamentais e apoio educacional, resultando em melhores resultados a longo prazo.
 
PORQUE
 
II. A identificação de atrasos no desenvolvimento e sinais de alerta no neurodesenvolvimento da criança pode ser percebida desde os primeiros meses de vida, sendo o diagnóstico estabelecido por volta dos 2 a 3 anos de idade.
A respeito dessas asserções, assinale a alternativa correta:
Alternativas:
· a)
As asserções I e II são proposições verdadeiras, mas a II não justifica a I.
· b)
As asserções I e II são proposições verdadeiras e a II justifica a I.
· c)
A asserção I é uma proposição verdadeira e a II, falsa.
· d)
A asserção I é uma proposição falsa e a II, verdadeira.
· e)
As asserções I e II são proposições falsas.
13)
A Filosofia da Educação tem como objetivo entender os fundamentos, metas e métodos do processo educacional, examinando as práticas pedagógicas à luz de teorias filosóficas que exploram o significado e a finalidade da educação na vida humana.
Essa disciplina promove uma reflexão crítica sobre os valores, a ética e os princípios que orientam a educação, buscando a formação completa do indivíduo para o exercício consciente da cidadania e a construção de uma sociedade mais equitativa.
É importante reconhecer que a Filosofia da Educação não se restringe a uma abordagem teórica, mas também envolve a prática pedagógica, influenciando currículos, métodos de ensino e políticas educacionais.
Ao incorporar a reflexão filosófica no ambiente escolar, a Filosofia da Educação propõe uma prática educativa que seja reflexiva, crítica e transformadora. Ela desafia tanto alunos quanto professores a refletirem sobre o que significa ensinar e aprender, sobre o papel da educação na sociedade e sobre como as práticas educacionais podem contribuir para a criação de um mundo mais justo e humano.
 
Com base no texto, analise as afirmativas a seguir:
I. A Filosofia da Educação propõe uma reflexão crítica sobre os valores, a ética e os princípios que norteiam a educação, visando a formação integral do ser humano para o exercício consciente da cidadania.
II. A prática pedagógica influenciada pela Filosofia da Educação não se preocupa com a reflexão crítica sobre o papel da educação na sociedade.
III. A Filosofia da Educação desafia alunos e professores a pensar sobre o que é ensinar e aprender, promovendo uma prática educativa reflexiva, crítica e transformadora.
IV. A integração da reflexão filosófica no cotidiano escolar é fundamental para a construção de uma sociedade mais igualitária e justa.
Considerando o contexto apresentado, é correto o que se afirma em:
Alternativas:
· a)
I e III, apenas.
· b)
I e II, apenas.
· c)
I, II e III, apenas.
· d)
I, II e VI, apenas.
· e)
I, III e IV, apenas.
14)
Seegundo Gatti (2017), muito se tem refletido sobre a necessidade de novas posturas no campo da formação de professores. Por um lado, contribuições inovadoras têm sido encontradas, resultantes da iniciativa particular de alguns docentes em determinado contexto institucional. Essas contribuições evidenciam a existência de incômodos e buscas para alterar condutas em situações específicas de atuação. Por outro lado, verificamos a dificuldade de ancoragem nas práticas das diferentes licenciaturas, nas instituições que se propõem a formar professores e de um valor para as questões pedagógicas propriamente ditas. Nas discussões e preocupações dos estudiosos e gestores da educação escolar, pairam inquietações quanto à aprendizagem da profissão nos cursos de licenciatura e quanto ao papel atribuído à didática, às metodologias e às práticas de ensino nessa formação, bem como aos estágios curriculares.
Assinale a alternativa que explica corretamente uma das inquietações mencionadas no texto base sobre a formação de professores.
Alternativas:
· a)
A falta de interesse dos alunos em participar dos cursos de licenciatura.
· b)
A dificuldade de integrar práticas pedagógicas inovadoras nas licenciaturas.
· c)
A ausência de estágios curriculares nos cursos de licenciatura.
· d)
A falta de recursosfinanceiros para a formação de professores.
· e)
A inexistência de metodologias de ensino nos cursos de licenciatura.
15)
De acordo com Nóvoa (2006), a necessidade de cuidar dos professores iniciantes é essencial. Ao começarem na docência, esses novatos enfrentam dificuldades para conduzir as turmas e desenvolver seu trabalho. Eles frequentemente não têm a mesma liberdade para fazer escolhas e opinar como os professores mais experientes. Dessa forma, acabam à mercê das decisões alheias, subordinados ao que é estabelecido por seus colegas, sem qualquer tipo de apoio. É crucial construir formas de integração mais harmoniosas e coerentes, garantindo que os primeiros anos de profissão sejam marcados por um acolhimento favorável a experiências significativas, em vez de uma sobrevivência individual traumática que leve ao isolamento. A diversidade e a complexidade das situações que a dinâmica escolar oferece podem dificultar o percurso profissional dos ingressantes, gerando sentimentos de insegurança e desejo de desistência da profissão.
A respeito dessas asserções, assinale a alternativa correta:
 
I. A integração harmoniosa e coerente dos professores iniciantes é essencial para garantir que suas primeiras experiências na profissão sejam significativas.
 
PORQUE
 
II. A falta de liberdade para fazer escolhas e opinar pode levar os professores iniciantes a se sentirem subordinados e sem apoio, aumentando o risco de desistência da profissão.
Considerando o contexto apresentado, avalie as seguintes asserções e a relação proposta entre elas:
Alternativas:
· a)
As asserções I e II são proposições verdadeiras e a II justifica a I.
· b)
As asserções I e II são proposições verdadeiras, mas a II não justifica a I.
· c)
A asserção I é uma proposição verdadeira e a II, falsa.
· d)
A asserção I é uma proposição falsa e a II, verdadeira.
· e)
As asserções I e II são proposições falsas.
16)
 Seja V um espaço vetorial sobre . Um subconjunto  é chamado subespaço vetorial se
i) ;
ii) 
iii) 
 
Agora, sejam  n vetores de V. Dizemos que  é combinação linear de  se existem escalares  tais que
.
 
(FRANCO, Neide Maria Bertoldi. Álgebra linear. São Paulo: Pearson, 2016.)
 
 
Considere  um espaço vetorial munido das operações de adição e multiplicação por escalar usual, e sejam os seguintes vetores . 
Dentro desse contexto, analise as asserções a seguir e a relação proposta entre elas.
 
I. O vetor  é uma combinação linear dos vetores  e .
 
PORQUE
 
II. O subconjunto W gerado pelos vetores  e  é um subespaço vetorial de V.
A respeito dessas asserções, assinale a alternativa correta.
Alternativas:
· a)
As asserções I e II são proposições verdadeiras, mas a II não justifica a I.
· b)
As asserções I e II são proposições verdadeiras e a II justifica a I.
· c)
A asserção I é uma proposição verdadeira e a II, falsa.
· d)
A asserção I é uma proposição falsa e a II, verdadeira.
· e)
As asserções I e II são proposições falsas.
17)
A Sociologia da Educação, como um ramo da sociologia, investiga as formas pelas quais a educação e os processos educativos estão imbricados nas estruturas sociais, econômicas e políticas da sociedade. Este campo analisa como a educação contribui para a reprodução das desigualdades sociais e explora as potencialidades transformadoras da educação na promoção da igualdade e justiça social. A partir da perspectiva sociológica, a educação é vista não apenas como um meio de transmissão de conhecimento, mas também como um mecanismo através do qual as normas, valores e hierarquias sociais são perpetuadas ou contestadas. Autores como Pierre Bourdieu, com sua teoria sobre o capital cultural, e Basil Bernstein, com suas ideias sobre códigos linguísticos, têm oferecido contribuições fundamentais para entender a relação entre capital cultural, poder e educação. Eles argumentam que o sistema educacional tende a favorecer os grupos sociais dominantes através da legitimação de seus códigos culturais. Nesse contexto, políticas educacionais que visam à inclusão e equidade, como as promovidas pela UNESCO e pelo Ministério da Educação de diversos países, procuram mitigar os efeitos da desigualdade social no acesso e na qualidade da educação. Essas políticas propõem modelos educacionais que reconhecem e valorizam a diversidade cultural e socioeconômica dos estudantes.
 
A respeito dessas asserções, assinale a alternativa correta.
 
I. A educação pode ser vista como um mecanismo de perpetuação das normas e valores sociais.
 
PORQUE
 
II. A teoria do capital cultural de Pierre Bourdieu sugere que o sistema educacional tende a favorecer os grupos sociais dominantes.
Considerando o contexto apresentado, avalie as seguintes asserções e a relação proposta entre elas:
Alternativas:
· a)
As asserções I e II são proposições verdadeiras e a II não justifica a I.
· b)
A asserção I é uma proposição verdadeira e a II, falsa.
· c)
As asserções I e II são proposições verdadeiras e a II justifica a I.
· d)
A asserção I é uma proposição falsa e a II, verdadeira.
· e)
As asserções I e II são proposições falsas.
18)
Estudos científicos indicam que a avaliação deve ultrapassar a simples medição de resultados acadêmicos, englobando uma análise crítica das práticas pedagógicas e dos contextos educacionais.
Conceder notas mais altas a alunos "bonzinhos" não deve fazer parte das responsabilidades do professor-avaliador. Avaliações baseadas em comportamento, raça ou outros fatores não relacionados ao desempenho cognitivo não se qualificam como avaliação educacional.
O foco da avaliação deve ser a capacidade de leitura, ou qualquer outra habilidade específica, servindo como guia para o processo avaliativo. Nesse sentido, a avaliação deve ser utilizada como um processo contínuo de reflexão e ajuste, capaz de informar políticas e práticas pedagógicas, garantindo que todos os estudantes tenham as mesmas oportunidades de aprendizagem, independentemente de suas condições socioeconômicas, culturais ou individuais.
Assim, a discussão sobre avaliação educacional revela que ela deve ser vista como um componente estratégico para o desenvolvimento de um sistema educacional mais democrático e inclusivo. Esse sistema deve ser fundamentado em critérios e instrumentos que permitam observar variações no desempenho dos estudantes em relação às habilidades e competências desenvolvidas em cada etapa do Ensino Básico.
 
Com base no contexto apresentado, analise as afirmativas a seguir:
I. A avaliação educacional deve ir além da simples mensuração de resultados acadêmicos, incluindo uma análise crítica das práticas pedagógicas e dos contextos educacionais.
II. A prática de dar melhores notas aos alunos que apresentam bom comportamento é uma abordagem válida dentro do escopo de trabalho do professor-avaliador.
III. Avaliações que consideram fatores como comportamento e raça são adequadas para medir o desempenho cognitivo dos alunos.
IV. A avaliação deve ser um processo contínuo de reflexão e reajuste, informando políticas e práticas pedagógicas para garantir oportunidades de aprendizagem equitativas para todos os estudantes.
Considerando o contexto apresentado, é correto o que se afirma em:
Alternativas:
· a)
I e III, apenas.
· b)
II e IV, apenas.
· c)
I, II e IV, apenas.
· d)
I e IV, apenas.
· e)
I, II, III e IV.
19)
A avaliação educacional é um tema de grande relevância e complexidade no cenário pedagógico contemporâneo. Segundo estudiosos como Bauer (2019), a avaliação não deve ser vista apenas como um momento para verificar o cumprimento de metas educacionais, mas sim como um processo contínuo e integrador que contribui de maneira significativa para o desenvolvimento do aluno e a melhoria da qualidade do ensino. Ela se distancia da simples mensuração de conteúdos memorizados, adotando um papel formativo e orientador. Nesse contexto, a avaliação deve ser vista como uma ferramenta diagnóstica que permite ao educador identificar não apenas as dificuldades e lacunas na aprendizagem dos alunos, mas também suas potencialidades e progressos. Esse processo avaliativo deveser fundamentado em critérios claros e objetivos, estabelecidos de forma colaborativa entre professores e alunos, garantindo assim maior transparência ao longo do processo.
Analise as características do processo de avaliação educacional descrito por Bauer (2019) e diferencie a avaliação formativa da avaliação tradicional, considerando os seguintes aspectos:
Alternativas:
· a)
A avaliação formativa é centrada na memorização de conteúdos, enquanto a avaliação tradicional foca no desenvolvimento contínuo do aluno.
· b)
A avaliação formativa é centrada na reprodução de conteúdos, enquanto a avaliação tradicional foca no desenvolvimento corporal contínuo do aluno.
· c)
A avaliação formativa é um processo pontual e isolado, enquanto a avaliação tradicional é contínua e integradora.
· d)
A avaliação formativa busca apenas identificar dificuldades e lacunas, enquanto a avaliação tradicional considera também as potencialidades e progressos dos alunos.
· e)
A avaliação formativa é um processo contínuo e integrador que contribui para o desenvolvimento do aluno, enquanto a avaliação tradicional é vista como um momento de verificação do cumprimento de objetivos educacionais.
20)
Os debates sobre os objetivos e o funcionamento da escola são frequentes na história da educação, pois estão profundamente conectados aos interesses de diferentes grupos e às relações de poder, tanto em nível nacional quanto internacional. Essas práticas educativas também refletem disputas teóricas nas ciências humanas e da educação, abrangendo objetivos, organização, gestão e condução do processo de ensino-aprendizagem. A falta de consenso sobre os propósitos e funções da escola é ampliada pela ausência de um acordo em torno do conceito de "qualidade de ensino", resultando em diversas perspectivas no campo progressista.
Nas políticas oficiais, há uma clara influência de diretrizes de organismos internacionais nas últimas décadas, impactando concepções de escola, conhecimento e formulação de currículos. Estudos recentes apontam que as políticas educacionais frequentemente refletem orientações de entidades como o Banco Mundial, que promovem a institucionalização de políticas de alívio da pobreza, vendo a escola como um local de acolhimento e proteção social. Isso muitas vezes resulta na implementação de um currículo focado em metas mensuráveis e específicas. No entanto, tais abordagens podem distorcer o propósito da escola como um espaço de formação cultural e científica, levando à desvalorização do conhecimento escolar significativo.
 
Considerando o contexto apresentado, avalie as seguintes asserções e a relação proposta entre elas.
 
I. A influência de organismos internacionais nas políticas educacionais tem promovido a institucionalização de políticas de alívio da pobreza, com a escola sendo vista como um local de acolhimento e proteção social.
 
PORQUE
 
II. A implementação de currículos voltados para metas mensuráveis e específicas pode desvirtuar o propósito da escola como um espaço de formação cultural e científica.
A respeito dessas asserções, assinale a alternativa correta:
Alternativas:
· a)
As asserções I e II são proposições falsas e a II justifica a I.
· b)
As asserções I e II são proposições verdadeiras, mas a II não justifica a I.
· c)
As asserções I e II são proposições verdadeiras e a II justifica a I.
· d)
A asserção I é uma proposição verdadeira e a II, falsa.
· e)
A asserção I é uma proposição falsa e a II, verdadeira.
21)
As questões centrais no estudo da relação entre movimentos sociais e educação envolvem três aspectos principais: participação, cidadania e o sentido político da educação. Esses movimentos abrangem uma vasta gama de temas, incluindo conteúdo escolar, gênero, etnia, nacionalidade, religião, deficiência, meio ambiente, qualidade de vida, paz, direitos humanos e direitos culturais.
Os movimentos sociais são fontes e agências de produção de conhecimento. Geralmente, surgem da iniciativa de grupos que compartilham valores comuns e possuem preocupações e demandas semelhantes. Ao identificarem essas similaridades e a necessidade de lutar por mudanças, esses grupos se unem e formam movimentos sociais.
Podemos identificar diversas fontes de demanda na área da educação, como setor formal (instituições escolares em geral) e o setor não formal (que engloba práticas cotidianas ou atividades estruturadas com o objetivo de formar indivíduos em determinadas habilidades, alheias às grades curriculares e certificações tradicionais de níveis de ensino).
Historicamente, as lutas pela educação formal/escolar nem sempre foram amplamente visíveis. Geralmente, ocorriam entre os profissionais da educação através de associações de classe e sindicatos, utilizando métodos tradicionais como greves, manifestações e extensas negociações. O foco dessas lutas tem sido principalmente o acesso à educação, desde o ensino infantil até o superior. Todavia, atualmente, uma nova dinâmica emergiu: manifestações de jovens, muitas vezes não ligadas a organizações tradicionais da sociedade civil. Esses jovens demandam não apenas acesso à educação, mas também qualidade, indo além dos discursos políticos e promessas dos dirigentes.
Ao analisar a dinâmica dos movimentos sociais na educação contemporânea, é possível afirmar que a principal diferença entre as lutas históricas e as atuais é:
Alternativas:
· a)
a luta por reconhecimento de todas as etinias te sido realizada durante séculos e, como característica, tem se mostrado através de práticas culturais exclusivas dos movimentos sociais do século XX.
· b)
a demanda por qualidade na educação, além do simples acesso, é uma característica marcante das manifestações de jovens no século atual.
· c)
a utilização de métodos tradicionais como greves e manifestações é uma inovação das lutas contemporâneas.
· d)
a luta por acesso à educação é uma novidade trazida pelos movimentos sociais contemporâneos
· e)
a luta por acesso à educação é uma novidade trazida pelos movimentos sociais contemporâneos.
22)
Dados do Censo Escolar, coletados pelo Instituto Nacional de Estudos e Pesquisas Educacionais (Inep) entre 1998 e 2012, revelam um aumento significativo na quantidade de estudantes com deficiência ingressando nas redes educacionais. Em 1998, Censo da Educação Básica registrou 337,3 mil matrículas de estudantes com deficiência. Deste total, cerca de 13% estavam em classes comuns do ensino regular. Já em 2012, o número de matrículas subiu para 820,4 mil, com mais de 75% dos estudantes em classes comuns do ensino regular, representando um crescimento de 143%. Na educação superior, notou-se, em 2003, que matrículas de estudantes com deficiência eram 5.078. Em 2012, esse número aumentou para 27.323, representando um crescimento de 438%. Em 2010, o Ministério da Educação concluiu a implantação de salas de recursos multifuncionais em 24.301 escolas públicas de ensino regular. Esse conjunto de escolas representa 41% dos estabelecimentos de educação pública básica com matrícula de estudantes que são alvo da educação especial.
A inclusão de estudantes com deficiência nas classes comuns do ensino regular, considerando o crescimento significativo das matrículas entre 1998 e 2012, pois
Alternativas:
· a)
é fundamental para promover a igualdade de oportunidades e a integração social, pois permite que esses estudantes participem ativamente da sociedade desde a infância.
· b)
esses estudantes se beneficiariam mais em ambientes segregados, onde suas necessidades específicas podem ser melhor atendidas.
· c)
pode prejudicar o desempenho acadêmico dos demais estudantes.
· d)
o foco deve ser apenas na melhoria das infraestruturas das escolas.
· e)
pode sobrecarregar os professores e dificultar o processo de ensino-aprendizagem.
23)
A interseção entre teoria e prática educacional se destaca como um aspecto fundamental na Pedagogia, estabelecendo um modelo para o desenvolvimento de metodologias de ensino que são tanto reflexivas quanto adaptáveis. Esse modelo sublinha a importância de um diálogo contínuo entre os princípiosteóricos e as experiências práticas. Tal abordagem é vital para a formação de profissionais da educação que possam responder de maneira dinâmica às demandas e especificidades de cada contexto educativo.
A prática pedagógica, sustentada por uma base teórica sólida, facilita a aplicação de estratégias didáticas e promove um ambiente de aprendizagem que valoriza a investigação, a experimentação e o pensamento crítico. Esse enfoque não só aprimora o processo de ensino-aprendizagem, mas também contribui para a construção de um conhecimento profundamente enraizado nas experiências dos alunos, permitindo uma maior personalização e relevância educacional.
Além disso, é reconhecida a importância de uma prática reflexiva entre os educadores. Essa prática permite uma constante reavaliação e ajuste das abordagens pedagógicas com base nos resultados observados, alinhando-se às diretrizes de uma educação progressista que busca atender às necessidades individuais e coletivas dos estudantes.
Assinale a alternativa que aplica corretamente os princípios de uma prática pedagógica reflexiva e adaptativa no processo de aprendizagem de crianças, jovens e adultos.
Alternativas:
· a)
Um professor de matemática utiliza uma abordagem tradicional, focada em aulas expositivas e exercícios repetitivos, para garantir que todos os alunos memorizem as fórmulas.
· b)
Um instrutor de educação física repete as mesmas atividades físicas em todas as aulas, sem variar os exercícios, para garantir que todos os alunos desenvolvam as mesmas habilidades.
· c)
Um educador de história segue rigorosamente o livro didático, sem considerar as experiências e conhecimentos prévios dos alunos, para manter a uniformidade do conteúdo.
· d)
Uma professora de língua portuguesa aplica testes padronizados regularmente, sem ajustar suas estratégias de ensino, para avaliar o desempenho dos alunos de forma objetiva.
· e)
Uma professora de ciências adapta suas aulas conforme as dúvidas e dificuldades apresentadas pelos alunos, promovendo atividades práticas e discussões em grupo para facilitar a compreensão dos conceitos.
24)
No dilema entre inovar ou continuar com propostas que trazem segurança ao professor, buscar novas perspectivas de atuação ou utilizar materiais e atividades já existentes, conhecer novas possibilidades por meio de estudos recentes ou investir tempo em outras atividades, as escolhas feitas por muitos docentes frequentemente tendem a ser as segundas opções. Muitos desses profissionais nem possuem escolha, dadas as condições de trabalho que enfrentam. Essa tendência resulta, além da perpetuação de práticas pedagógicas tradicionais, em uma resistência à mudança dos paradigmas escolares. Observa-se, de forma quase generalizada, a reprodução de atividades impressas ou desenvolvidas com os estudantes da mesma maneira que eram feitas anos atrás, na esperança de que sejam aceitas e alcancem hoje os mesmos objetivos necessários àquele tempo. O que causa estranheza é que, apesar de ter se passado muito tempo desde a instituição da escola até o presente momento, essas práticas ainda são muito comuns. Familiarizar-se com a descrição anterior não seria surpreendente, pois é a maneira como muitas pessoas foram e ainda são "ensinadas". (Bittencourt; Scatolin, p. 1)
Assinale a alternativa que analisa corretamente as implicações da escolha de práticas pedagógicas tradicionais pelos docentes, conforme discutido no texto.
Alternativas:
· a)
A escolha por práticas pedagógicas tradicionais pelos docentes demonstra uma adaptação eficiente às novas demandas educacionais, garantindo a atualização constante dos métodos de ensino.
· b)
A perpetuação de práticas pedagógicas tradicionais pelos docentes, apesar das condições de trabalho, indica uma resistência à inovação e uma dificuldade em adotar novas perspectivas de atuação.
· c)
A utilização de materiais e atividades já existentes pelos docentes é uma estratégia que promove a inovação e a renovação dos paradigmas escolares, atendendo às necessidades contemporâneas dos estudantes.
· d)
A reprodução de atividades impressas e desenvolvidas da mesma maneira que eram feitas anos atrás pelos docentes é uma evidência de que as práticas pedagógicas tradicionais são as mais eficazes para o processo de aprendizagem.
· e)
A escolha por práticas pedagógicas tradicionais pelos docentes reflete uma adaptação às condições de trabalho, sem impacto significativo na resistência à mudança dos paradigmas escolares.
25)
A Psicologia da Educação é uma área que se dedica a estudar os processos de aprendizagem e ensino, com o intuito de compreender como os indivíduos se desenvolvem e aprendem em contextos educacionais. Essa disciplina abrange uma variedade de temas, como desenvolvimento cognitivo e emocional, estratégias de ensino e métodos de avaliação. A aplicação dos princípios psicológicos à educação pode auxiliar na criação de práticas pedagógicas mais eficazes, promovendo um ambiente de aprendizagem que atenda às necessidades dos alunos.
Essa abordagem enfatiza que a motivação e o engajamento dos estudantes são fatores fundamentais que impactam diretamente o sucesso do processo educativo. Ao combinar teorias psicológicas com práticas pedagógicas, a Psicologia da Educação contribui de maneira significativa para a melhoria dos ambientes de aprendizagem. Essa combinação envolve a criação de condições que não apenas facilitam a transmissão de conhecimento, mas também promovem o desenvolvimento integral dos alunos.
 
Considerando o contexto apresentado, avalie as seguintes asserções e a relação proposta entre elas.
 
I. A aplicação dos princípios psicológicos na educação pode resultar em práticas pedagógicas mais eficazes, promovendo um ambiente de aprendizagem que atenda às necessidades dos alunos.
 
PORQUE
 
II. A motivação e o engajamento dos estudantes são fatores cruciais que influenciam diretamente o sucesso do processo educativo.
A respeito dessas asserções, assinale a alternativa correta:
Alternativas:
· a)
As asserções I e II são proposições verdadeiras, mas a II não justifica a I.
· b)
As asserções I e II são proposições falsas.
· c)
A asserção I é uma proposição verdadeira e a II, falsa.
· d)
A asserção I é uma proposição falsa e a II, verdadeira.
· e)
As asserções I e II são proposições verdadeiras e a II justifica a I.
26)
A avaliação de currículos e programas educacionais é fundamental para garantir a qualidade e a relevância da educação oferecida pelas instituições de ensino. Essa prática, com raízes históricas em iniciativas como a de Boston em 1845, demonstra a preocupação contínua em alinhar os currículos às exigências sociais e às necessidades dos alunos. Desde os primeiros estudos de Joseph Rice no final do século XIX, as técnicas de avaliação têm sido aprimoradas para não apenas medir o desempenho dos estudantes, mas também fornecer dados essenciais sobre a eficácia dos currículos aplicados.
Ao longo do tempo, o processo de avaliação evoluiu, incorporando métodos mais complexos e detalhados que combinam análises qualitativas e quantitativas para uma compreensão completa do impacto educacional. Essas avaliações permitem identificar deficiências, fortalecer aspectos positivos e orientar reformas educacionais que respondam adequadamente às mudanças sociais e aos novos modelos de ensino. Dessa forma, assegura-se um ensino de alta qualidade que está em constante adaptação e em conformidade com as demandas atuais.
 
A partir do contexto apresentado, analise as afirmativas a seguir:
I. A avaliação de currículos e programas educacionais é fundamental para assegurar que a oferta educacional esteja alinhada com as necessidades sociais e dos alunos.
II. As técnicas de avaliação desenvolvidas desde o final do século XIX não visam exclusivamente quantificar o desempenho dos estudantes, sem considerar a efetividade dos currículos.
III. A evolução das técnicas de avaliação incorporou métodos qualitativos e quantitativos, permitindo uma compreensão mais completa do impacto educacional.
IV. As avaliações educacionais sãoferramentas importantes para identificar deficiências e orientar reformas que respondam às mudanças sociais e novos modelos de ensino.
Considerando as alternativas apresentadas, é correto o que se afirma em:
Alternativas:
· a)
I e III, apenas.
· b)
II e IV, apenas.
· c)
I, II e III, apenas.
· d)
I, II e IV, apenas.
· e)
I, II, III e IV.
27)
A história do currículo inicia-se com a tentativa de organizar o aprendizado de maneira lógica. No entanto, essa abordagem frequentemente gera contradições, destacando a necessidade de repensar como os currículos são elaborados. Curiosamente, esse esforço de organização muitas vezes resulta em um conhecimento fragmentado, devido às características únicas dos temas estudados e às diferentes formas de abordá-los e compreendê-los. Esse paradigma forma a base de um currículo orientado pelo prisma positivista, que, por vezes, não prioriza uma compreensão mais integradora e fenomenológica do conhecimento.
Nesse contexto, é essencial refletir sobre como o ambiente educacional contemporâneo pode superar essa visão. O objetivo é desenvolver um currículo que promova a integração dos saberes, atenda às demandas sociais da instituição escolar e capacite os alunos com competências e habilidades fundamentais para sua formação.
 
Analise as afirmativas a seguir:
 
I. A tentativa de organizar o currículo de maneira lógica frequentemente resulta em contradições, evidenciando a necessidade de repensar sua elaboração.
II. A fragmentação do conhecimento no currículo é causada pelas características únicas dos temas estudados e pelas diferentes formas de abordá-los.
III. Um currículo orientado pelo prisma positivista prioriza uma compreensão integradora e fenomenológica do conhecimento.
IV. O ambiente educacional contemporâneo deve transcender a visão positivista, promovendo a integração dos saberes e respondendo às demandas sociais da instituição escolar.
Considerando o contexto apresentado, é correto o que se afirma em:
Alternativas:
· a)
I e III, apenas.
· b)
II e IV, apenas.
· c)
I, II e III, apenas.
· d)
I, II e IV, apenas.
· e)
I, II, III e IV.
28)
A interação entre legislação, políticas educacionais e práticas pedagógicas no Brasil revela um processo complexo e multifacetado. A evolução do currículo é fortemente moldada por contextos sociais, políticos e econômicos. As teorias críticas e pós-críticas de currículo enfatizam a importância de entender o currículo como um campo de disputa, onde diferentes visões de mundo se confrontam e onde as desigualdades sociais são reproduzidas ou desafiadas. Esse cenário é ainda mais intrincado devido à legislação educacional que, em diversos momentos históricos, tem buscado responder às demandas da sociedade civil. O objetivo é alcançar uma educação que seja inclusiva, democrática e promotora da justiça social.
Ao examinar a evolução do currículo no Brasil, desde as primeiras legislações educacionais até as políticas atuais, fica evidente que alinhar as práticas pedagógicas com as demandas sociais e os marcos legais é um desafio contínuo.
Ao aplicar as teorias críticas e pós-críticas de currículo, é necessário entender o currículo como um espaço de luta, pois
Alternativas:
· a)
é necessário entender o currículo como um espaço de luta
· b)
se busca apenas a reprodução de conhecimentos técnicos e científicos.
· c)
a legislação educacional não tem influência sobre as práticas pedagógicas.
· d)
as desigualdades sociais são ignoradas em favor de uma abordagem neutra.
· e)
se confrontam visões de mundo e se reproduzem ou contestam desigualdades sociais.
29)
A relevância dos métodos de ensino empregados em sala de aula é um elemento central no vasto campo da pedagogia e da didática contemporâneas.
Conforme descrito no Dicionário de Filosofia e nas análises de diversos estudiosos, os métodos de ensino são entendidos como um conjunto de procedimentos cuidadosamente organizados, que podem ser repetidos e ajustados para garantir a obtenção de resultados pedagógicos válidos e eficazes. Esses métodos vão além da simples aplicação de técnicas isoladas; eles constituem estratégias teóricas que promovem uma interação rica e dinâmica entre alunos e professores, criando um ambiente favorável à construção ativa do conhecimento.
Na prática pedagógica, a escolha criteriosa dos métodos de ensino se apresenta como um desafio complexo. Isso exige do educador não apenas um profundo entendimento das teorias educacionais que fundamentam esses métodos, mas também uma sensibilidade apurada às necessidades e características específicas dos alunos. Portanto, a seleção metodológica deve ser guiada por uma série de considerações elementares.
Ao analisar os métodos de ensino descritos no texto, é possível afirmar que a seleção criteriosa desses métodos deve levar em consideração uma série de metodologias fundamentais, pois
Alternativas:
· a)
a aplicação de técnicas isoladas que garantam resultados imediatos.
· b)
a repetição de procedimentos sem a necessidade de ajustes.
· c)
a utilização de estratégias teóricas que não envolvam interação entre alunos e professores.
· d)
a sensibilidade às necessidades e características particulares dos alunos.
· e)
a escolha de métodos baseados apenas nas teorias educacionais, sem considerar o contexto prático.
30)
Em um laboratório, se está fazendo um estudo do movimento unidimensional de uma partícula em determinado meio. A distância d dessa partícula, em milímetros, relativo a certo ponto de referência, em função do tempo t, em segundos, é modelada por d(t) = –0,21t3 + 7t + 2, com t ? [0, 4].
 
Dentro desse contexto, analise as afirmações a seguir:
 
I. A distância da partícula no início da observação é de 2 mm do ponto de referência.
II. A taxa média de variação de distância dos primeiros 4 segundos de observação é 3,6 mm/s.
III. A taxa instantânea de variação no início do terceiro segundo é 1,9 mm/s.
IV. O número máximo que este deslocamento atinge durante esta observação é aproximadamente 17,6 mm.
V. O instante que o deslocamento da partícula atinge seu valor máximo é aproximadamente 2,5 segundos após o início da observação.
 
(Observação: para facilitar o cálculo, se necessário, fazer a aproximação para uma casa decimal).
Está correto o que se afirma em
Alternativas:
· a)
I, II, III e IV, apenas.
· b)
II, III, IV e V, apenas.
· c)
I, II e IV, apenas.
· d)
I, II e III, apenas.
· e)
II, IV e V, apenas.
31)
A lei de esfriamento de Newton diz que a taxa de variação temporal da temperatura de um corpo, denotado por T, é proporcional à diferença entre a temperatura T do corpo e a temperatura ambiente . Matematicamente, temos a seguinte equação diferencial:
onde k é constante de proporcionalidade.
 
(Oliveira, R. M. Equações diferenciais ordinárias: métodos de resolução e aplicações. 1. ed. Curitiba: Intersaberes, 2019.)
 
Em uma metalúrgica, uma barra de metal é aquecida em uma fornalha, e retirada após atingir a temperatura de 2 000 °C. Após a manipulação física da barra, que se torna maleável pelo calor, ela deve passar por um processo de endurecimento, e será mergulhada em um líquido especial. No entanto, isso só pode ocorrer quando a temperatura da barra resfriar-se naturalmente a 100 °C. Sabe-se que após 1 hora decorrida após ser retirada da fornalha, na temperatura ambiente de 20 °C, a temperatura da barra fica igual a 1 220 °C.
Utilize as aproximações log10(2) = 0,30, log10(3) = 0,48 e log10(11) = 1,04.
O tempo necessário para que a barra resfrie até a temperatura desejada é de aproximadamente
Alternativas:
· a)
1,54 h.
· b)
3,23 h.
· c)
6,36 h.
· d)
8,48 h.
· e)
12,33 h.
32)
A capitalização no regime de juros compostos é fundamental para quem deseja poupar dinheiro, pois permite que os juros ganhos em um período sejam reinvestidos e passem a gerar novos juros nos períodos subsequentes. Isso cria um efeito de "juros sobre juros" que pode acelerar significativamente o crescimento do montante poupado ao longo do tempo. Considerando P a quantia de dinheiro depositado acumulada durante certo tempo t, a uma taxa de juros j, eum depósito recorrente D, a equação diferencial que relaciona essas grandezas é dada por
 
Isso significa que a taxa de mudança da quantidade de dinheiro que você tem ao longo do tempo é proporcional à quantidade de dinheiro que você tem no momento.
Suponha que certa pessoa investiu inicialmente uma quantia de R$ 10.000,00 em uma aplicação de taxa de juro anual de 12%, e realiza todo ano depósitos de R$ 2.500,00.
Utilize as aproximações ln(3700) = 8,2 e ln(8500) = 9,0.
Assinale a alternativa que expressa o tempo necessário para que o montante total investido atinja R$ 50.000,00.
Alternativas:
· a)
3 anos e 3 meses.
· b)
4 anos e 6 meses.
· c)
4 anos e 9 meses.
· d)
6 anos e 6 meses.
· e)
6 anos e 8 meses.
33)
Na Matemática, e particularmente na Álgebra, o que pode parecer óbvio ou verdadeiro à primeira vista nem sempre é fácil de provar. Para confirmar a validade de uma afirmação, frequentemente é necessário identificar contra-exemplos que a desmintam, e essa tarefa pode ser bastante complexa. Essa competência é fundamental, pois, além de ser vital demonstrar uma teoria, é igualmente importante apresentar exemplos que a contradigam.
Encontrar contra-exemplos exige uma compreensão profunda do assunto e uma análise cuidadosa das condições e hipóteses envolvidas. Muitas vezes, o processo de busca por contra-exemplos revela nuances e detalhes que não são imediatamente aparentes, contribuindo para um entendimento mais completo e rigoroso da teoria em questão. Além disso, a habilidade de identificar contra-exemplos é uma ferramenta poderosa no desenvolvimento de novas teorias e na refutação de conjecturas errôneas, desempenhando um papel crucial no avanço do conhecimento matemático.
Considerando as informações apresentadas, analise as afirmativas a seguir:
I. Seja  o  anel comutativo dos números inteiros. As estruturas  e  são ideais, mas  não é ideal.
II. Todo subanel é ideal.
III. Se  é subanel e  é ideal, então  é ideal.
IV. O anel das matrizes reais de ordem 2, denotado  não é comutativo e não é domínio de integridade.
V. Sejam os anéis . Se R e A são anéis com unidade, então S é anel com unidade.
Considerando o contexto apresentado, é correto o que se afirma em:
Alternativas:
· a)
I, II, IV e V, apenas.
· b)
I, III e V, apenas.
· c)
I e IV, apenas.
· d)
I, IV e V, apenas.
· e)
I, II, III, IV e V.
34)
O estudo da Análise é vital para o avanço da Matemática Pura e suas aplicações. Ele não só fornece as bases teóricas necessárias para outros ramos da Matemática, mas também desenvolve ferramentas e métodos que são amplamente utilizados em diversas disciplinas científicas e tecnológicas, como a teoria dos conjuntos, teoria dos números, cálculo diferencial e integral, álgebra linear e probabilidade.
 
Considerando os diferentes campos de conhecimento relacionados à Análise, analise as afirmativas a seguir.
I. No âmbito da análise matemática, a teoria dos conjuntos estuda as coleções de objetos matemáticos e suas propriedades.
II.O cálculo diferencial é um ramo da análise matemática que explora como as funções variam e como essas variações podem ser aplicadas em situações práticas.
III. A álgebra linear é uma área da matemática que investiga espaços vetoriais e mapeamentos lineares, desempenhando um papel fundamental em diversas disciplinas da análise matemática.
IV. A teoria das probabilidades, um ramo da análise matemática, estuda fenômenos aleatórios e incertos, sendo amplamente aplicada na estatística e em várias outras disciplinas matemáticas e científicas.
V. A teoria dos números, uma área da análise matemática, foca no estudo das características dos números inteiros e suas generalizações, abrangendo tópicos como números primos e relações de congruência.
Considerando o contexto apresentado, é correto o que se afirma em:
Alternativas:
· a)
I e II, apenas.
· b)
II e III, apenas.
· c)
III e IV, apenas.
· d)
IV e V, apenas.
· e)
I, II, III, IV e V.
35)
A Geometria é uma área da matemática dedicada ao estudo das formas, dimensões e características do espaço. Seus princípios básicos incluem conceitos fundamentais como pontos, linhas e planos. Além disso, a Geometria também abrange o estudo de ângulos, que surgem quando duas linhas se cruzam em um ponto, e figuras, que são formadas pela combinação de pontos e linhas.
Um fabricante de vasos de plantas deseja criar um novo modelo de vaso em formato de tronco de cone reto. Para isso, ele precisa calcular a quantidade de material necessária para produzir um vaso com as seguintes dimensões:
Medida do raio da base maior (R): 10 cm;
Medida do raio da base menor (r): 5 cm;
Altura (h): 12 cm.
O fabricante quer saber qual é a área lateral do vaso para determinar a quantidade de material necessário.
Com base nas informações fornecidas, qual é a área lateral, em cm², desse vaso?
Alternativas:
· a)
150?
· b)
175?
· c)
195?
· d)
215?
· e)
225?
36)
Uma empresa está desenvolvendo novas bolas de tênis e precisa decidir a melhor embalagem para comercializá-las. O setor de embalagens considerou duas opções: uma em forma de cubo (acomodando as 6 bolas em um arranjo 2x3) e outra em forma de prisma hexagonal (acomodando as 6 bolas em um arranjo hexagonal). Essas embalagens têm comprimento, largura e altura conforme a disposição das bolas, sem sobrar nada. A empresa decidiu escolher a embalagem com melhor eficácia de empacotamento.
Utilize 3,14 como aproximação para  e 1,73 como aproximação para .
Então, a empresa escolheu a embalagem em forma de:
Alternativas:
· a)
cubo, que tem a eficácia de empacotamento de aproximadamente 52%.
· b)
cubo, que tem a eficácia de empacotamento de aproximadamente 74%.
· c)
prisma hexagonal, que tem a eficácia de empacotamento de aproximadamente 67%.
· d)
prisma hexagonal, que tem a eficácia de empacotamento de aproximadamente 80%.
· e)
cubo ou prisma hexagonal, pois a eficácia de empacotamento das duas embalagens é igual.
37)
A trigonometria é uma área da matemática que estuda as relações entre ângulos e lados dos triângulos. Ela desempenha um papel fundamental em várias disciplinas, como física, engenharia e astronomia. Utilizando a trigonometria, é possível medir e analisar distâncias inacessíveis diretamente, como a altura de montanhas ou a distância entre estrelas, por meio de métodos indiretos baseados em medidas angulares e relações trigonométricas. Além disso, funções trigonométricas, como seno, cosseno e tangente, são amplamente utilizadas na modelagem e análise de fenômenos periódicos, como ondas sonoras, oscilações de pêndulos e variações sazonais. Em resumo, a trigonometria é uma ferramenta essencial para entender e descrever fenômenos naturais e processos físicos, além de resolver diversos problemas práticos em diferentes áreas.
Considere uma circunferência unitária centrada na origem OOO de um plano cartesiano, com PP sendo um ponto dessa circunferência localizado no primeiro quadrante e QQ a projeção ortogonal de PP sobre o eixo das abscissas. Sabe-se que o ângulo PO^QPÔQ mede 45?45^\circ.
Com base nessas informações, assinale a alternativa que representa corretamente a ordenada de P.
Alternativas:
· a)
 
· b)
 
· c)
 
· d)
 
· e)
38)
Uma abordagem eficaz para ensinar probabilidade envolve o uso de materiais manipulativos, como jogos e experimentos, e a observação de aplicações práticas em eventos cotidianos, como previsões do clima e resultados esportivos. Essas estratégias tornam o aprendizado mais concreto e relevante para os alunos. No entanto, o ensino de probabilidade apresenta desafios significativos, especialmente para novos professores, devido à necessidade de adaptar métodos pedagógicos ao nível de desenvolvimento dos alunos. É crucial que esses professores recebam formação adequada e tenham acesso a recursos pedagógicos para ensinar probabilidade de maneira eficaz.
Os novos professores enfrentam desafios significativos ao ensinar probabilidade, especialmente porque
Alternativas:
· a)
a probabilidade é um conceito que só deve ser ensinado no ensino médio.
· b)
eles precisam adaptar métodos pedagógicos ao nívelde desenvolvimento dos alunos.
· c)
os alunos já têm um conhecimento avançado sobre o tema.
· d)
a probabilidade não é um tema relevante no currículo escolar.
· e)
eles não têm acesso a nenhum material didático.
39)
A matemática, embora frequentemente vista como uma disciplina puramente abstrata, é profundamente influenciada por fatores culturais. Diferentes culturas ao longo da história desenvolveram suas próprias formas de abordar problemas matemáticos, refletindo suas perspectivas e valores únicos. O estudo dessas abordagens culturais não só enriquece nossa compreensão da matemática, mas também nos permite apreciar a diversidade de métodos matemáticos ao redor do mundo.
Considerando o contexto apresentado, avalie as seguintes asserções e a relação proposta entre elas.
 
I. A evolução histórica da matemática em diversas culturas é um reflexo direto das particularidades socioculturais e filosóficas inerentes a cada sociedade, moldando a forma como problemas matemáticos são abordados e resolvidos.
 
PORQUE
 
II. A análise comparativa das tradições matemáticas culturais permite uma valorização mais profunda da pluralidade metodológica e epistemológica existente, promovendo uma compreensão mais abrangente e inclusiva da matemática global.
A respeito dessas asserções, assinale a alternativa correta:
Alternativas:
· a)
As asserções I e II são proposições verdadeiras, mas a II não justifica a I.
· b)
As asserções I e II são proposições verdadeiras e a II justifica a I.
· c)
A asserção I é uma proposição verdadeira e a II, falsa.
· d)
A asserção I é uma proposição falsa e a II, verdadeira.
· e)
As asserções I e II são proposições falsas.
40)
Mais Mulheres nas Ciências Exatas
Segundo a ONU Mulheres, 37% das mulheres ao redor do mundo não têm acesso à tecnologia. Essa realidade severa acentua as desigualdades econômicas e sociais, com consequências dramáticas para as próximas gerações. Além disso, a participação de meninas e mulheres em cursos das áreas STEM — sigla em inglês para ciência, tecnologia, engenharia e matemática — é notavelmente baixa.
Na Universidade de Brasília (UnB), por exemplo, as alunas em cursos de ciências exatas são uma minoria. Nas engenharias, elas representam menos de 25%, e em cursos como estatística e computação, cerca de 26%. No ensino superior brasileiro, a matrícula de mulheres em graduações STEM é aproximadamente 35%. Globalmente, dos 589 Prêmios Nobel nessas áreas, apenas 17 foram concedidos a mulheres.
A Organização das Nações Unidas para a Educação, a Ciência e a Cultura (Unesco) identificou quatro fatores que influenciam a participação, continuidade e desempenho de meninas e mulheres nas ciências exatas. O primeiro é individual, relacionado às decisões de estudo e carreira, fortemente influenciadas por estereótipos de gênero. O segundo fator é familiar, influenciado pelos valores e experiências proporcionados pela família. O terceiro é social, ligado às normas culturais e sociais, papéis sociais e percepções das meninas e mulheres sobre suas habilidades. Finalmente, o ambiente escolar contribui significativamente, com diferenças na participação de meninos e meninas em atividades relacionadas às ciências exatas desde a educação infantil, refletindo-se de maneira mais clara no ensino superior.
Os dados por si só já são alarmantes. No entanto, tornam-se ainda mais preocupantes ao considerarmos as profissões do futuro, que demandarão cada vez mais conhecimento nas áreas STEM. Até 2050, metade dos empregos atuais não existirá mais, e 75% das novas vagas exigirão conhecimentos em ciências, tecnologia e inovação. Portanto, é crucial implementar políticas públicas robustas que incentivem a presença de meninas e mulheres nas ciências exatas, bem como sua ocupação em cargos de liderança e gestão em áreas tecnológicas.
Considerando os desafios mencionados no texto que influenciam a participação de meninas e mulheres nas áreas STEM, assinale a alternativa correta a respeito da combinação de fatores que é apontada pela Unesco como determinante para essa questão.
Alternativas:
· a)
Decisões individuais influenciadas por estereótipos de gênero, apoio familiar, normas culturais e sociais, e diferenças na participação escolar desde a infância.
· b)
Influências econômicas, políticas de governo, apoio comunitário, e incentivos financeiros desde a educação infantil.
· c)
Pressões sociais, políticas educacionais, suporte tecnológico, e programas de mentoria específicos para meninas
· d)
Condições econômicas, acesso a recursos educacionais, suporte governamental, e programas de intercâmbio internacional
· e)
Influências midiáticas, políticas de igualdade de gênero, suporte psicológico, e programas de estágio em empresas de tecnologia
41)
Os docentes de uma escola, em conjunto com a direção, decidiram unir a matemática a outras disciplinas, como ciências e artes, para que o aprendizado fosse significativo e contextualizado. Essa iniciativa surgiu após discussões sobre as melhores práticas pedagógicas e como elas poderiam ser implementadas para beneficiar os alunos de maneira mais eficiente. A integração de disciplinas permite que os estudantes vejam a matemática não como uma matéria isolada, mas como uma ferramenta essencial aplicável em diferentes contextos do cotidiano.
A tecnologia tem desempenhado um papel crucial ao oferecer novas formas de ensinar e aprender. Ferramentas digitais, como softwares educativos e plataformas de aprendizagem online, permitem que os alunos aprendam no seu próprio ritmo e de maneiras que atendam às suas necessidades específicas.
Além disso, a diversidade nas salas de aula tem levado os educadores a adotarem abordagens mais personalizadas e inclusivas. Reconhecer que cada aluno é único e possui diferentes formas de aprender é essencial para criar um ambiente de aprendizagem acolhedor e eficaz para todos. Isso inclui a implementação de estratégias de ensino diversificadas, que podem variar desde o uso de recursos visuais e auditivos até a incorporação de atividades práticas e colaborativas.
Em resumo, a decisão de integrar a matemática com outras disciplinas é uma resposta às tendências modernas em educação, que buscam tornar o aprendizado mais relevante, inclusivo e adaptado às necessidades individuais dos alunos.
A decisão de integrar a matemática com outras disciplinas, como ciências e artes, é uma resposta às tendências modernas em educação, que buscam tornar o aprendizado mais relevante, inclusivo e adaptado às necessidades individuais dos alunos, e isso se reflete principalmente na
Alternativas:
· a)
implementação de currículos rígidos e padronizados que não consideram as necessidades individuais dos alunos.
· b)
exclusão de tecnologias digitais no processo de ensino-aprendizagem para manter métodos tradicionais.
· c)
adoção de abordagens pedagógicas que reconhecem a diversidade e as necessidades individuais dos alunos.
· d)
manutenção de disciplinas isoladas sem integração entre elas.
· e)
utilização exclusiva de métodos de ensino tradicionais, sem incorporar novas práticas pedagógicas.
42)
Em uma escola de ensino médio, os professores de matemática decidiram integrar aplicativos de aprendizagem em suas aulas. Esses aplicativos possibilitavam que os alunos explorassem conceitos matemáticos de forma interativa e no seu próprio ritmo. Para implementar essa inovação, foi necessário levar em conta as tendências em educação matemática e as novas direções emergentes que influenciam as práticas de ensino e aprendizagem na disciplina. Essas tendências frequentemente refletem mudanças nas necessidades dos alunos, avanços tecnológicos e novas compreensões sobre como os estudantes aprendem matemática de maneira eficaz.
A utilização de aplicativos de aprendizagem possibilita que os estudantes se envolvam de forma mais ativa e personalizada no processo educativo. Eles podem revisar os conteúdos, resolver problemas e realizar exercícios práticos de acordo com seu próprio ritmo, o que facilita a assimilação dos conceitos. Além disso, os aplicativos oferecem feedback

Mais conteúdos dessa disciplina